李飞飞团队提出ReKep,让机器人具备空间智能,还能整合GPT-4o
“纵有疾风来,人生不言弃”,这句话送给正在学习科技周边的朋友们,也希望在阅读本文《李飞飞团队提出ReKep,让机器人具备空间智能,还能整合GPT-4o》后,能够真的帮助到大家。我也会在后续的文章中,陆续更新科技周边相关的技术文章,有好的建议欢迎大家在评论留言,非常感谢!
视觉与机器人学习的深度融合。
当两只机器手丝滑地互相合作叠衣服、倒茶、将鞋子打包时,加上最近老上头条的 1X 人形机器人 NEO,你可能会产生一种感觉:我们似乎开始进入机器人时代了。

事实上,这些丝滑动作正是先进机器人技术 + 精妙框架设计 + 多模态大模型的产物。
我们知道,有用的机器人往往需要与环境进行复杂精妙的交互,而环境则可被表示成空间域和时间域上的约束。
举个例子,如果要让机器人倒茶,那么机器人首先需要抓住茶壶手柄并使之保持直立,不泼洒出茶水,然后平稳移动,一直到让壶口与杯口对齐,之后以一定角度倾斜茶壶。这里,约束条件不仅包含中间目标(如对齐壶口与杯口),还包括过渡状态(如保持茶壶直立);它们共同决定了机器人相对于环境的动作的空间、时间和其它组合要求。
然而,现实世界纷繁复杂,如何构建这些约束是一个极具挑战性的问题。
近日,李飞飞团队在这一研究方向取得了一个突破,提出了关系关键点约束(ReKep/Relational Keypoint Constraints)。简单来说,该方法就是将任务表示成一个关系关键点序列。并且,这套框架还能很好地与 GPT-4o 等多模态大模型很好地整合。从演示视频来看,这种方法的表现相当不错。该团队也已发布相关代码。本文一作为 Wenlong Huang。

论文标题:ReKep: Spatio-Temporal Reasoning of Relational Keypoint Constraints for Robotic Manipulation
论文地址:https://rekep-robot.github.io/rekep.pdf
项目网站:https://rekep-robot.github.io
代码地址:https://github.com/huangwl18/ReKep
李飞飞表示,该工作展示了视觉与机器人学习的更深层次融合!虽然论文中没有提及李飞飞在今年 5 年初创立的专注空间智能的 AI 公司 World Labs,但 ReKep 显然在空间智能方面大有潜力。

方法

关系关键点约束(ReKep)
首先,我们先看一个 ReKep 实例。这里先假设已经指定了一组 K 个关键点。具体来说,每个关键点 k_i ∈ ℝ^3 都是在具有笛卡尔坐标的场景表面上的一个 3D 点。
一个 ReKep 实例便是一个这样的函数:?: ℝ^{K×3}→ℝ;其可将一组关键点(记为 ?)映射成一个无界成本(unbounded cost),当 ?(?) ≤ 0 时即表示满足约束。至于具体实现,该团队将函数 ? 实现为了一个无状态 Python 函数,其中包含对关键点的 NumPy 操作,这些操作可能是非线性的和非凸的。本质上讲,一个 ReKep 实例编码了关键点之间的一个所需空间关系。
但是,一个操作任务通常涉及多个空间关系,并且可能具有多个与时间有关的阶段,其中每个阶段都需要不同的空间关系。为此,该团队的做法是将一个任务分解成 N 个阶段并使用 ReKep 为每个阶段 i ∈ {1, ..., N } 指定两类约束:

一组子目标约束

一组路径约束
其中
编码了阶段 i 结束时要实现的一个关键点关系,而
编码了阶段 i 内每个状态要满足的一个关键点关系。以图 2 的倒茶任务为例,其包含三个阶段:抓拿、对齐、倒茶。
阶段 1 子目标约束是将末端执行器伸向茶壶把手。阶段 2 子目标约束是让茶壶口位于杯口上方。此外,阶段 2 路径约束是保持茶壶直立,避免茶水洒出。最后的阶段 3 子目标约束是到达指定的倒茶角度。
使用 ReKep 将操作任务定义成一个约束优化问题
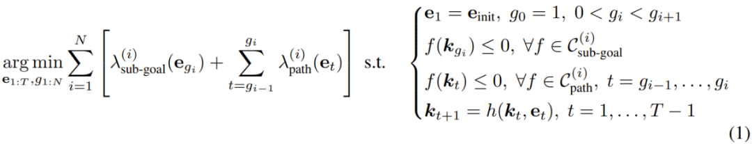
使用 ReKep,可将机器人操作任务转换成一个涉及子目标和路径的约束优化问题。这里将末端执行器姿势记为 ? ∈ SE (3)。为了执行操作任务,这里的目标是获取整体的离散时间轨迹 ?_{1:T}:

也就是说,对于每个阶段 i,该优化问题的目标是:基于给定的 ReKep 约束集和辅助成本,找到一个末端执行器姿势作为下一个子目标(及其相关时间),以及实现该子目标的姿势序列。该公式可被视为轨迹优化中的 direct shooting。
分解和算法实例化
为了能实时地求解上述公式 1,该团队选择对整体问题进行分解,仅针对下一个子目标和达成该子目标的相应路径进行优化。算法 1 给出了该过程的伪代码。

其中子目标问题的求解公式为:

路径问题的求解公式为:

回溯
现实环境复杂多变,有时候在任务进行过程中,上一阶段的子目标约束可能不再成立(比如倒茶时茶杯被拿走了),这时候需要重新规划。该团队的做法是检查路径是否出现问题。如果发现问题,就迭代式地回溯到前一阶段。

关键点的前向模型
为了求解 2 和 3 式,该团队使用了一个前向模型 h,其可在优化过程中根据 ∆? 估计 ∆?。具体来说,给定末端执行器姿势 ∆? 的变化,通过应用相同的相对刚性变换 ?′[grasped] = T_{∆?}・?[grasped] 来计算关键点位置的变化,同时假设其它关键点保持静止。
关键点提议和 ReKep 生成
为了让该系统能在实际情况下自由地执行各种任务,该团队还用上了大模型!具体来说,他们使用大型视觉模型和视觉 - 语言模型设计了一套管道流程来实现关键点提议和 ReKep 生成。
关键点提议
给定一张 RGB 图像,首先用 DINOv2 提取图块层面的特征 F_patch。然后执行双线性插值以将特征上采样到原始图像大小,F_interp。为了确保提议涵盖场景中的所有相关物体,他们使用了 Segment Anything(SAM)来提取场景中的所有掩码 M = {m_1, m_2, ... , m_n}。
对于每个掩码 j,使用 k 均值(k = 5)和余弦相似度度量对掩码特征 F_interp [m_j] 进行聚类。聚类的质心用作候选关键点,再使用经过校准的 RGB-D 相机将其投影到世界坐标 ℝ^3。距离候选关键点 8cm 以内的其它候选将被过滤掉。总体而言,该团队发现此过程可以识别大量细粒度且语义上有意义的对象区域。
ReKep 生成
获得候选关键点后,再将它们叠加在原始 RGB 图像上,并标注数字。结合具体任务的语言指令,再查询 GPT-4o 以生成所需阶段的数量以及每个阶段 i 对应的子目标约束和路径约束。
实验
该团队通过实验对这套约束设计进行了验证,并尝试解答了以下三个问题:
1. 该框架自动构建和合成操作行为的表现如何?
2. 该系统泛化到新物体和操作策略的效果如何?
3. 各个组件可能如何导致系统故障?
使用 ReKep 操作两台机器臂
他们通过一系列任务检查了该系统的多阶段(m)、野外 / 实用场景(w)、双手(b)和反应(r)行为。这些任务包括倒茶 (m, w, r)、摆放书本 (w)、回收罐子 (w)、给盒子贴胶带 (w, r)、叠衣服 (b)、装鞋子 (b) 和协作折叠 (b, r)。
结果见表 1,这里报告的是成功率数据。

整体而言,就算没有提供特定于任务的数据或环境模型,新提出的系统也能够构建出正确的约束并在非结构化环境中执行它们。值得注意的是,ReKep 可以有效地处理每个任务的核心难题。
下面是一些实际执行过程的动画:


操作策略的泛化
该团队基于叠衣服任务探索了新策略的泛化性能。简而言之,就是看这套系统能不能叠不一样的衣服 —— 这需要几何和常识推理。

这里使用了 GPT-4o,提词仅包含通用指令,没有上下文示例。「策略成功」是指生成的 ReKep 可行,「执行成功」则衡量的是每种衣服的给定可行策略的系统成功率。
结果很有趣。可以看到该系统为不同衣服采用了不同的策略,其中一些叠衣服方法与人类常用的方法一样。


分析系统错误
该框架的设计是模块化的,因此很方便分析系统错误。该团队以人工方式检查了表 1 实验中遇到的故障案例,然后基于此计算了模块导致错误的可能性,同时考虑了它们在管道流程中的时间依赖关系。结果见图 5。

可以看到,在不同模块中,关键点跟踪器产生的错误最多,因为频繁和间或出现的遮挡让系统很难进行准确跟踪。
今天关于《李飞飞团队提出ReKep,让机器人具备空间智能,还能整合GPT-4o》的内容就介绍到这里了,是不是学起来一目了然!想要了解更多关于李飞飞,产业,ReKep的内容请关注golang学习网公众号!
wifi密码忘记了怎么办
- 上一篇
- wifi密码忘记了怎么办
- 下一篇
- 如何调节电脑桌面亮度以保护视力和提升工作效率
-
- 科技周边 · 人工智能 | 8分钟前 |
- 配置Recraft API密钥,轻松调用矢量生成能力
- 146浏览 收藏
-
- 科技周边 · 人工智能 | 11分钟前 |
- AI文案怎么写\_爆款标题生成与营销技巧
- 117浏览 收藏
-
- 科技周边 · 人工智能 | 16分钟前 |
- 利用Perplexity学外语:中英对照翻译技巧
- 178浏览 收藏
-
- 科技周边 · 人工智能 | 8小时前 |
- WorkBuddyAI做数据报表教程
- 205浏览 收藏
-
- 科技周边 · 人工智能 | 8小时前 | 人工智能工具
- NotionAI数据库字段分类技巧
- 315浏览 收藏
-
- 科技周边 · 人工智能 | 9小时前 |
- Perplexity快速上手Playwright测试教程
- 422浏览 收藏
-
- 科技周边 · 人工智能 | 9小时前 |
- ClaudeMythos市场分析与应用教程
- 110浏览 收藏
-
- 科技周边 · 人工智能 | 9小时前 |
- 龙虾机器人AI工具评测推荐
- 167浏览 收藏
-
- 科技周边 · 人工智能 | 9小时前 |
- 千问AI解析Swift闭包语法详解
- 223浏览 收藏
-
- 科技周边 · 人工智能 | 9小时前 |
- DeepSeekR1量化精度测试解析
- 115浏览 收藏
-
- 科技周边 · 人工智能 | 9小时前 | CanvaAI Canva可画
- CanvaPPT使用记录查询与开票指南
- 484浏览 收藏
-
- 科技周边 · 人工智能 | 9小时前 |
- PerplexityRSS订阅配置教程
- 163浏览 收藏
-
- 前端进阶之JavaScript设计模式
- 设计模式是开发人员在软件开发过程中面临一般问题时的解决方案,代表了最佳的实践。本课程的主打内容包括JS常见设计模式以及具体应用场景,打造一站式知识长龙服务,适合有JS基础的同学学习。
- 543次学习
-
- GO语言核心编程课程
- 本课程采用真实案例,全面具体可落地,从理论到实践,一步一步将GO核心编程技术、编程思想、底层实现融会贯通,使学习者贴近时代脉搏,做IT互联网时代的弄潮儿。
- 516次学习
-
- 简单聊聊mysql8与网络通信
- 如有问题加微信:Le-studyg;在课程中,我们将首先介绍MySQL8的新特性,包括性能优化、安全增强、新数据类型等,帮助学生快速熟悉MySQL8的最新功能。接着,我们将深入解析MySQL的网络通信机制,包括协议、连接管理、数据传输等,让
- 500次学习
-
- JavaScript正则表达式基础与实战
- 在任何一门编程语言中,正则表达式,都是一项重要的知识,它提供了高效的字符串匹配与捕获机制,可以极大的简化程序设计。
- 487次学习
-
- 从零制作响应式网站—Grid布局
- 本系列教程将展示从零制作一个假想的网络科技公司官网,分为导航,轮播,关于我们,成功案例,服务流程,团队介绍,数据部分,公司动态,底部信息等内容区块。网站整体采用CSSGrid布局,支持响应式,有流畅过渡和展现动画。
- 485次学习
-
- ChatExcel酷表
- ChatExcel酷表是由北京大学团队打造的Excel聊天机器人,用自然语言操控表格,简化数据处理,告别繁琐操作,提升工作效率!适用于学生、上班族及政府人员。
- 4503次使用
-
- Any绘本
- 探索Any绘本(anypicturebook.com/zh),一款开源免费的AI绘本创作工具,基于Google Gemini与Flux AI模型,让您轻松创作个性化绘本。适用于家庭、教育、创作等多种场景,零门槛,高自由度,技术透明,本地可控。
- 4856次使用
-
- 可赞AI
- 可赞AI,AI驱动的办公可视化智能工具,助您轻松实现文本与可视化元素高效转化。无论是智能文档生成、多格式文本解析,还是一键生成专业图表、脑图、知识卡片,可赞AI都能让信息处理更清晰高效。覆盖数据汇报、会议纪要、内容营销等全场景,大幅提升办公效率,降低专业门槛,是您提升工作效率的得力助手。
- 4730次使用
-
- 星月写作
- 星月写作是国内首款聚焦中文网络小说创作的AI辅助工具,解决网文作者从构思到变现的全流程痛点。AI扫榜、专属模板、全链路适配,助力新人快速上手,资深作者效率倍增。
- 6573次使用
-
- MagicLight
- MagicLight.ai是全球首款叙事驱动型AI动画视频创作平台,专注于解决从故事想法到完整动画的全流程痛点。它通过自研AI模型,保障角色、风格、场景高度一致性,让零动画经验者也能高效产出专业级叙事内容。广泛适用于独立创作者、动画工作室、教育机构及企业营销,助您轻松实现创意落地与商业化。
- 5095次使用
-
- GPT-4王者加冕!读图做题性能炸天,凭自己就能考上斯坦福
- 2023-04-25 501浏览
-
- 单块V100训练模型提速72倍!尤洋团队新成果获AAAI 2023杰出论文奖
- 2023-04-24 501浏览
-
- ChatGPT 真的会接管世界吗?
- 2023-04-13 501浏览
-
- VR的终极形态是「假眼」?Neuralink前联合创始人掏出新产品:科学之眼!
- 2023-04-30 501浏览
-
- 实现实时制造可视性优势有哪些?
- 2023-04-15 501浏览

