大模型承重墙,去掉了就开始摆烂!苹果给出了「超级权重」
来源:机器之心
2024-12-29 13:18:56
0浏览
收藏
“纵有疾风来,人生不言弃”,这句话送给正在学习科技周边的朋友们,也希望在阅读本文《大模型承重墙,去掉了就开始摆烂!苹果给出了「超级权重」》后,能够真的帮助到大家。我也会在后续的文章中,陆续更新科技周边相关的技术文章,有好的建议欢迎大家在评论留言,非常感谢!
去掉一个「超权重」的影响,比去掉其他 7000 个离群值权重加起来还要严重。
大模型的参数量越来越大,越来越聪明,但它们也越来越奇怪了。
两年前,有研究者发现了一些古怪之处:在大模型中,有一小部分特别重要的特征(称之为「超权重」),它们虽然数量不多,但对模型的表现非常重要。
如果去掉这些「超权重」,模型就完全摆烂了,开始胡言乱语,文本都不会生成了。但是如果去掉其他一些不那么重要的特征,模型的表现只会受到一点点影响。

层中。
论文链接:https://arxiv.org/pdf/2411.07191 论文标题:The Super Weight in Large Language Models

,其中 D 表示激活特征的维度,H 是中间隐藏层的维度。设
为输入矩阵,其中 L 表示序列长度。定义输出矩阵为
;「超激活」为
。如果 X_ik 和 W_jk 都是远大于其他值的异常值,那么 Y_ij 的值将主要由这两个异常值的乘积决定。「超权重」的影响
引发「超激活」; 抑制了停用词(stopword)的生成概率。

原始模型; 移除「超权重」,将其权重设置为 0; 移除「超权重」,但恢复神经网络层中的「超激活」。

「超权重」对输出 token 概率分布的影响

输入 prompt 为:「Summer is hot. Winter is 」 下一个 token 应为「cold」,这是一个具有强语义的词。
「超权重」的重要性


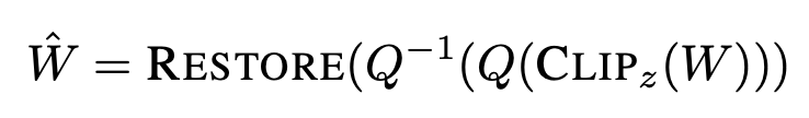
是量化步长,N 是比特数。请注意,计算 ∆ 时使用的是最大值,因此 X 中的超离群值会大大增加步长。步长越大,离群值平均会被舍入到更远的值,从而增加量化误差。随着超离群值的增加,离群值被舍入到更少的离散值中,更多的量化 bin 未被使用。这样,超离群值就会导致量化保真度降低。





今天带大家了解了的相关知识,希望对你有所帮助;关于科技周边的技术知识我们会一点点深入介绍,欢迎大家关注golang学习网公众号,一起学习编程~
版本声明
本文转载于:机器之心 如有侵犯,请联系study_golang@163.com删除
适合儿童的电脑推荐:为孩子选择最佳学习伙伴
- 上一篇
- 适合儿童的电脑推荐:为孩子选择最佳学习伙伴
- 下一篇
- win10怎么取消许可证即将过期提示 win10关闭许可证即将过期窗口的方法
查看更多
最新文章
-
- 科技周边 · 人工智能 | 29分钟前 |
- Claude官网地址怎么找?Claude官方网站定位说明
- 256浏览 收藏
-
- 科技周边 · 人工智能 | 41分钟前 |
- CodeGeeX怎么写Commit信息_CodeGeeX提交规范自动生成【Git】
- 338浏览 收藏
-
- 科技周边 · 人工智能 | 8小时前 |
- 本地大模型微调入门_LoRA低显存训练指南
- 117浏览 收藏
-
- 科技周边 · 人工智能 | 8小时前 | Hermes Agent HermesAgent
- Hermes Agent是开源的吗_Hermes Agent开源协议与代码说明【开源】
- 498浏览 收藏
-
- 科技周边 · 人工智能 | 9小时前 |
- 如何在Perplexity中切换GPT-4o模型_进入Settings页面手动选择AI模型
- 438浏览 收藏
-
- 科技周边 · 人工智能 | 9小时前 | openclaw
- OpenClawAI运行慢怎么优化_OpenClawAI提升大模型响应速度技巧【技巧】
- 425浏览 收藏
-
- 科技周边 · 人工智能 | 9小时前 |
- 如何提升代码运行效率并降低功耗 利用DeepSeek Coder优化算法时间复杂度
- 254浏览 收藏
-
- 科技周边 · 人工智能 | 9小时前 | CodeGeeX CodeGeeX生成Go代码保姆级教程
- CodeGeeX怎么写Go日志_CodeGeeX生成Zap日志代码【Go日志】
- 155浏览 收藏
-
- 科技周边 · 人工智能 | 10小时前 | AI工具 民间故事ai工具
- DALL-E怎么设计AI民间故事插图_DALL-E设计AI民间故事插图详细流程说明
- 122浏览 收藏
-
- 科技周边 · 人工智能 | 10小时前 |
- 文心一言怎么分析用户评论_文心一言情感分析与洞察方法
- 223浏览 收藏
-
- 科技周边 · 人工智能 | 10小时前 |
- Minimax如何利用提示词控制颜色 Minimax配色方案写法
- 310浏览 收藏
-
- 科技周边 · 人工智能 | 10小时前 |
- 豆包AI怎样用数据增强年终总结说服力_豆包AI增说服力法【策略】
- 493浏览 收藏
查看更多
课程推荐
-
- 前端进阶之JavaScript设计模式
- 设计模式是开发人员在软件开发过程中面临一般问题时的解决方案,代表了最佳的实践。本课程的主打内容包括JS常见设计模式以及具体应用场景,打造一站式知识长龙服务,适合有JS基础的同学学习。
- 543次学习
-
- GO语言核心编程课程
- 本课程采用真实案例,全面具体可落地,从理论到实践,一步一步将GO核心编程技术、编程思想、底层实现融会贯通,使学习者贴近时代脉搏,做IT互联网时代的弄潮儿。
- 516次学习
-
- 简单聊聊mysql8与网络通信
- 如有问题加微信:Le-studyg;在课程中,我们将首先介绍MySQL8的新特性,包括性能优化、安全增强、新数据类型等,帮助学生快速熟悉MySQL8的最新功能。接着,我们将深入解析MySQL的网络通信机制,包括协议、连接管理、数据传输等,让
- 500次学习
-
- JavaScript正则表达式基础与实战
- 在任何一门编程语言中,正则表达式,都是一项重要的知识,它提供了高效的字符串匹配与捕获机制,可以极大的简化程序设计。
- 487次学习
-
- 从零制作响应式网站—Grid布局
- 本系列教程将展示从零制作一个假想的网络科技公司官网,分为导航,轮播,关于我们,成功案例,服务流程,团队介绍,数据部分,公司动态,底部信息等内容区块。网站整体采用CSSGrid布局,支持响应式,有流畅过渡和展现动画。
- 485次学习
查看更多
AI推荐
-
- ChatExcel酷表
- ChatExcel酷表是由北京大学团队打造的Excel聊天机器人,用自然语言操控表格,简化数据处理,告别繁琐操作,提升工作效率!适用于学生、上班族及政府人员。
- 4472次使用
-
- Any绘本
- 探索Any绘本(anypicturebook.com/zh),一款开源免费的AI绘本创作工具,基于Google Gemini与Flux AI模型,让您轻松创作个性化绘本。适用于家庭、教育、创作等多种场景,零门槛,高自由度,技术透明,本地可控。
- 4818次使用
-
- 可赞AI
- 可赞AI,AI驱动的办公可视化智能工具,助您轻松实现文本与可视化元素高效转化。无论是智能文档生成、多格式文本解析,还是一键生成专业图表、脑图、知识卡片,可赞AI都能让信息处理更清晰高效。覆盖数据汇报、会议纪要、内容营销等全场景,大幅提升办公效率,降低专业门槛,是您提升工作效率的得力助手。
- 4702次使用
-
- 星月写作
- 星月写作是国内首款聚焦中文网络小说创作的AI辅助工具,解决网文作者从构思到变现的全流程痛点。AI扫榜、专属模板、全链路适配,助力新人快速上手,资深作者效率倍增。
- 6492次使用
-
- MagicLight
- MagicLight.ai是全球首款叙事驱动型AI动画视频创作平台,专注于解决从故事想法到完整动画的全流程痛点。它通过自研AI模型,保障角色、风格、场景高度一致性,让零动画经验者也能高效产出专业级叙事内容。广泛适用于独立创作者、动画工作室、教育机构及企业营销,助您轻松实现创意落地与商业化。
- 5067次使用
查看更多
相关文章
-
- GPT-4王者加冕!读图做题性能炸天,凭自己就能考上斯坦福
- 2023-04-25 501浏览
-
- 单块V100训练模型提速72倍!尤洋团队新成果获AAAI 2023杰出论文奖
- 2023-04-24 501浏览
-
- ChatGPT 真的会接管世界吗?
- 2023-04-13 501浏览
-
- VR的终极形态是「假眼」?Neuralink前联合创始人掏出新产品:科学之眼!
- 2023-04-30 501浏览
-
- 实现实时制造可视性优势有哪些?
- 2023-04-15 501浏览

