更快、更强!地平线ViG,基于视觉Mamba的通用视觉主干网络
本篇文章给大家分享《更快、更强!地平线ViG,基于视觉Mamba的通用视觉主干网络》,覆盖了科技周边的常见基础知识,其实一个语言的全部知识点一篇文章是不可能说完的,但希望通过这些问题,让读者对自己的掌握程度有一定的认识(B 数),从而弥补自己的不足,更好的掌握它。
ViG:高效且可扩展的视觉骨干网络
论文链接: https://arxiv.org/abs/2405.18425
成果: 本工作已被AAAI 2025收录。
Vision Mamba的成功证明了将视觉表征学习转化为线性复杂度视觉序列建模的巨大潜力。然而,即使像Vision Mamba这样的线性视觉序列建模方法在高清图像上效率显著提升,但在更常见的分辨率下,其性能仍略逊于Transformer和CNN。
为了进一步提升线性复杂度视觉序列建模的效率,我们针对现代计算设备的硬件特性,设计了一种新型模型——ViG。ViG将自然语言处理中高效的门控线性注意力模块(Gated Linear Attention, GLA)引入视觉表征学习,并结合参数高效的双向建模、长短上下文动态门控机制以及硬件感知的双向算子设计。最终,ViG在各种视觉任务上,在精度、参数量和效率方面均超越了主流的Transformer和CNN模型。
技术背景
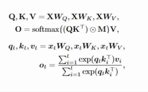
Transformer的自注意力(Self-Attention, SA)机制需要处理所有历史输入之间的交互,导致计算复杂度随输入序列长度呈二次方增长:

线性注意力(Linear Attention, LA)机制通过将softmax算子替换为简单的矩阵乘法,利用矩阵乘法的结合律,预先计算KV,从而将计算复杂度降低为线性:
线性门控注意力(Gated Linear Attention, GLA)机制进一步引入门控机制,控制对历史信息的遗忘和更新,提升了线性注意力机制的表达能力:

方法概述
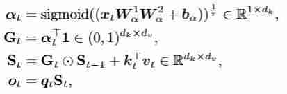
双向门控注意力机制 (BiGLA):


图片作为二维信号,在一维序列表示上具有多向特性。我们改进GLA,仅引入双向门控机制
,显著提升了对视觉信号的空间表达能力。BiGLA算子将前向和反向视觉序列压缩到固定大小的隐状态
和
。
硬件感知的双向算子设计:
为了进一步提升效率,我们设计了一个硬件感知的双向实现,将BiGLA的前向和反向扫描合并到一个Triton算子中。这种设计避免了反向序列的实例化,只需维护单向视觉序列即可进行多向扫描和融合,显著降低了显存占用并提升了硬件运行速度。

长短上下文动态门控机制:
BiGLA算子中的双向隐状态
和
进行长上下文全局压缩。为了增强对图像二维空间细节的感知,我们引入了短上下文卷积门控设计:

模型结构:
基于上述ViG模块,我们构建了两种结构变体:类似Vision Transformer的简单直筒结构ViG和类似CNN的层次化金字塔结构ViG-H。

实验结果
实验结果表明,ViG和ViG-H在参数量和精度的权衡上优于先进的Transformer和CNN模型。ViG基础模块同时具备全局感受野和线性复杂度,这是传统CNN、基于原始注意力机制的Transformer和基于窗口化注意力机制的Transformer无法实现的。


在高分辨率图像(1024x1024)上,ViG展现出显著的优势:计算量降低5.2倍,GPU显存节省90%,速度提升3.8倍,精度提升20.7%。


双向设计仅增加了2%的参数量,却带来了11.1%的精度提升;硬件感知实现减少了19%的推理代价和13%的显存占用。
总结与展望
ViG在高效视觉序列建模领域具有重要创新性和应用价值。通过BiGLA和二维门控局部注入机制,ViG有效结合了全局感知能力和局部细节捕获,实现了高效且准确的视觉表征学习。ViG在图像分类、目标检测和语义分割等任务中表现出色,尤其在高分辨率场景下,其性能和资源利用效率显著提升。 其硬件感知优化设计降低了内存占用和计算成本,为高清视觉信号处理和多模态序列建模提供了强有力的技术支撑。
以上就是本文的全部内容了,是否有顺利帮助你解决问题?若是能给你带来学习上的帮助,请大家多多支持golang学习网!更多关于科技周边的相关知识,也可关注golang学习网公众号。
零长度数组没有意义?那是你不懂!看Linux内核中怎么高级玩它?
- 上一篇
- 零长度数组没有意义?那是你不懂!看Linux内核中怎么高级玩它?
- 下一篇
- 四种禁用USB口的方法,学会保护数据安全
-
- 科技周边 · 人工智能 | 8分钟前 |
- 豆包AI启动页设计与开发实战
- 466浏览 收藏
-
- 科技周边 · 人工智能 | 18分钟前 |
- WorkBuddy AI拦截高危指令设置教程
- 339浏览 收藏
-
- 科技周边 · 人工智能 | 30分钟前 |
- AI自动剪辑教程,长视频切片神器推荐
- 220浏览 收藏
-
- 科技周边 · 人工智能 | 40分钟前 | Perplexity
- Perplexity个人知识库搭建教程
- 231浏览 收藏
-
- 科技周边 · 人工智能 | 1小时前 |
- DeepSeek在线登录入口及操作教程
- 242浏览 收藏
-
- 科技周边 · 人工智能 | 1小时前 |
- ChatGPT如何生成长文?实用扩展技巧指南
- 145浏览 收藏
-
- 科技周边 · 人工智能 | 1小时前 |
- Claude AI官网地址及功能介绍
- 461浏览 收藏
-
- 科技周边 · 人工智能 | 1小时前 |
- Minimax风景大片提示词组合推荐
- 490浏览 收藏
-
- 科技周边 · 人工智能 | 1小时前 |
- Minimax免费版与付费版区别解析
- 360浏览 收藏
-
- 科技周边 · 人工智能 | 1小时前 |
- Markdown 提示词是什么?提升文档可读性教程
- 443浏览 收藏
-
- 科技周边 · 人工智能 | 1小时前 |
- 小荷AI医生是字节跳动的吗?公司背景解析
- 418浏览 收藏
-
- 科技周边 · 人工智能 | 2小时前 |
- 打字慢?Gemini语音录入快速写文案技巧
- 114浏览 收藏
-
- 前端进阶之JavaScript设计模式
- 设计模式是开发人员在软件开发过程中面临一般问题时的解决方案,代表了最佳的实践。本课程的主打内容包括JS常见设计模式以及具体应用场景,打造一站式知识长龙服务,适合有JS基础的同学学习。
- 543次学习
-
- GO语言核心编程课程
- 本课程采用真实案例,全面具体可落地,从理论到实践,一步一步将GO核心编程技术、编程思想、底层实现融会贯通,使学习者贴近时代脉搏,做IT互联网时代的弄潮儿。
- 516次学习
-
- 简单聊聊mysql8与网络通信
- 如有问题加微信:Le-studyg;在课程中,我们将首先介绍MySQL8的新特性,包括性能优化、安全增强、新数据类型等,帮助学生快速熟悉MySQL8的最新功能。接着,我们将深入解析MySQL的网络通信机制,包括协议、连接管理、数据传输等,让
- 500次学习
-
- JavaScript正则表达式基础与实战
- 在任何一门编程语言中,正则表达式,都是一项重要的知识,它提供了高效的字符串匹配与捕获机制,可以极大的简化程序设计。
- 487次学习
-
- 从零制作响应式网站—Grid布局
- 本系列教程将展示从零制作一个假想的网络科技公司官网,分为导航,轮播,关于我们,成功案例,服务流程,团队介绍,数据部分,公司动态,底部信息等内容区块。网站整体采用CSSGrid布局,支持响应式,有流畅过渡和展现动画。
- 485次学习
-
- ChatExcel酷表
- ChatExcel酷表是由北京大学团队打造的Excel聊天机器人,用自然语言操控表格,简化数据处理,告别繁琐操作,提升工作效率!适用于学生、上班族及政府人员。
- 4224次使用
-
- Any绘本
- 探索Any绘本(anypicturebook.com/zh),一款开源免费的AI绘本创作工具,基于Google Gemini与Flux AI模型,让您轻松创作个性化绘本。适用于家庭、教育、创作等多种场景,零门槛,高自由度,技术透明,本地可控。
- 4581次使用
-
- 可赞AI
- 可赞AI,AI驱动的办公可视化智能工具,助您轻松实现文本与可视化元素高效转化。无论是智能文档生成、多格式文本解析,还是一键生成专业图表、脑图、知识卡片,可赞AI都能让信息处理更清晰高效。覆盖数据汇报、会议纪要、内容营销等全场景,大幅提升办公效率,降低专业门槛,是您提升工作效率的得力助手。
- 4463次使用
-
- 星月写作
- 星月写作是国内首款聚焦中文网络小说创作的AI辅助工具,解决网文作者从构思到变现的全流程痛点。AI扫榜、专属模板、全链路适配,助力新人快速上手,资深作者效率倍增。
- 6118次使用
-
- MagicLight
- MagicLight.ai是全球首款叙事驱动型AI动画视频创作平台,专注于解决从故事想法到完整动画的全流程痛点。它通过自研AI模型,保障角色、风格、场景高度一致性,让零动画经验者也能高效产出专业级叙事内容。广泛适用于独立创作者、动画工作室、教育机构及企业营销,助您轻松实现创意落地与商业化。
- 4832次使用
-
- GPT-4王者加冕!读图做题性能炸天,凭自己就能考上斯坦福
- 2023-04-25 501浏览
-
- 单块V100训练模型提速72倍!尤洋团队新成果获AAAI 2023杰出论文奖
- 2023-04-24 501浏览
-
- ChatGPT 真的会接管世界吗?
- 2023-04-13 501浏览
-
- VR的终极形态是「假眼」?Neuralink前联合创始人掏出新产品:科学之眼!
- 2023-04-30 501浏览
-
- 实现实时制造可视性优势有哪些?
- 2023-04-15 501浏览

