统计学之一元线性回归分析
知识点掌握了,还需要不断练习才能熟练运用。下面golang学习网给大家带来一个数据库开发实战,手把手教大家学习《统计学之一元线性回归分析》,在实现功能的过程中也带大家重新温习相关知识点,温故而知新,回头看看说不定又有不一样的感悟!
1.回归模型简介
我们先来看一下什么是回归模型,以下解释来源于百度百科:
回归模型是一种预测性的建模技术,它研究的是因变量(目标)和自变量(预测器)之间的关系。这种技术通常用于预测分析,时间序列模型以及发现变量之间的因果关系。
回归模型最重要的两个应用场景就是预测分析和因果关系分析,比如我们上学的时候学过的一元一次方程组
y = kx + b就是一个最简单的回归模型,当我们知道一个x时,比如此时的x是月份,就可以通过方程求出这个这个x对应的y,这里的y可以是销量,这个通过x求取y的过程就是一个预测的过程。
回归模型主要分为一元线性回归和多元线性回归,这一节先给大家讲一下一元线性回归。
2.参数估计
参数估计是做什么的呢?是估计什么参数呢?就是用来估计方程
y = kx + b中的k和b的。可能有的人会有这样的疑问,为什么要估计呢?而不是直接去算。我们在上学的时候是可以直接去算的,那是因为只有两个点,通过这两个点的直线是确定的,所以对应的参数也是固定的。
而在实际应用中,我们的数据点往往都是多个,这多个点往往不在一条直线上,但是呢,我们又希望这些点尽可能的都在一条直线上,所以我们需要找到这么一条直线,这条直线到每个数据点的距离都很近(接近于0),这样我们就可以用这条距离每个点都尽可能近的直线来近似表示这些点的一个趋势。这条线对应的 k 和 b 就是我们估计出来的参数。
我们在找这一条直线的有一个原则,就是每个点到这条线的距离尽可能的小,最后让所有点到直线的距离最小,我们把这种方法称为最小二乘法,最小二乘法是参数估计的一种方法。
关于最小二乘法的更多内容,大家可以自行学习。
3.拟合程度判断
通过上面的参数估计,我们已经得到了一条可以反映数据点趋势的线,可是这条线到底准确度如何,也就是和实际数据点走势的拟合程度是怎么样的,我们需要来判断一下。
这里介绍几个关于判断拟合程度的概念。
总平方和(SST):实际值与其平均值之间距离的平方和,可以理解为方差(而非实际方差),用来反映实际值y波动大小的。
回归平方和(SSR):回归值(即预测出来的y值)与实际值均值之间距离的平方和。这一部分变化是由于自变量的变化引起的,是可以由回归直线来解释的。
残差平方和(SSE):回归值与实际值之间距离的平方和。这一部分是除了自变量影响之外的其他影响因素造成的,属于不可解释部分。
SST = SSR + SSE,
上述公式表面实际值y的波动情况由两部分因素决定,一部分是由于自变量x不一样导致的y的变动(回归平方和),另一部分是由于除自变量以外的因素决定(残差平方和)。
我们理想情况下,实际值y的波动尽可能都可能都是因为自变量x变化引起的,而且这个占比越高越可以说明我们的回归直线拟合的好。我们把这个指标称为 R^2 = SSR/SST。
R^2越大,说明拟合度越好,介于[0,1]之间。
4.显著性检验
通过前面的步骤参数也求出来了,也就是y = kx + b中的 k 和 b 求出来了,那我们是不是就可以直接拿来用了呢?很显然不太能,为什么呢?因为你参数估计是根据你现有样本数据估计出来的,所以直线反映的也是现有数据情况下的趋势,这些数据的趋势能否代表全量数据的趋势呢?我们需要检验一下,这就是显著性检验。
回归直线其实是用来反映 x 和 y 之间的线性关系的,所以我们首先要检验的就是线性关系是否显著,那怎么来检验,还是用我们之前讲过的假设检验的方法。
我们先假设 x 和 y 之间是没有线性关系的,如果没有线性关系是不是k就等于0,那既然这样总平方和的的波动是不是就完全由残差平方和决定了,那是不是意味着 SSR/SSE 基本为0,这是我们通过如果没有线性关系这个假设得出来的结论。
还是前面方差分析中提到的,平方和会随着样本数据的增加而增加,所以我们就需要把平方和转换成均方,即平方和/自由度。
在一元线性回归中,回归平方和的自由度为1(即自变量的个数),残差平方和的自由度为n-2。
统计量F
=(SSR/1)/(SSE/(n-2))
=MSR/MSE。
根据样本数据计算得出F值,确定显著性水平,查显著性水平对应的F边界值,如果F>F边界值,则拒绝原假设,否则不拒绝原假设。
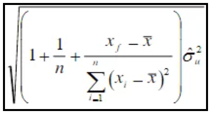
5.回归方程应用
一元回归方差主要用来做预测,分为点预测与区间预测,点预测就是通过回归方程预测今年12月份的具体销量是多少;区间预测是通过回归方程得到今年12月份销量的范围大概是在哪一区间内。
点预测比较简单,直接把x代入到方程中就可以得出结果。区间预测稍微比较复杂一些,但是区间预测的本质还是我们之前讲过的置信区间[聊聊置信度与置信区间]的求取,关键点就两个,一个是样本均值,一个是标准差。样本均值也比较简单,标准差的公式如下:

到这里,我们也就讲完了《统计学之一元线性回归分析》的内容了。个人认为,基础知识的学习和巩固,是为了更好的将其运用到项目中,欢迎关注golang学习网公众号,带你了解更多关于mysql的知识点!
统计科学之多元回归分析
- 上一篇
- 统计科学之多元回归分析
- 下一篇
- 统计科学之讲讲什么是异方差
-
- 数据库 · MySQL | 1星期前 |
- MySQL常用存储引擎及InnoDB与MyISAM对比分析
- 184浏览 收藏
-
- 数据库 · MySQL | 2星期前 |
- MySQL连接池配置与优化方法
- 147浏览 收藏
-
- 数据库 · MySQL | 2星期前 |
- MySQL内存优化技巧与参数设置解析
- 295浏览 收藏
-
- 数据库 · MySQL | 2星期前 |
- 主键外键关系解析与作用详解
- 413浏览 收藏
-
- 数据库 · MySQL | 2星期前 |
- MySQL数据库备份与安全方案详解
- 175浏览 收藏
-
- 数据库 · MySQL | 3星期前 |
- MySQL增删改查语法速查表大全
- 174浏览 收藏
-
- 数据库 · MySQL | 4星期前 |
- MySQLupdate语句使用详解
- 120浏览 收藏
-
- 数据库 · MySQL | 1个月前 |
- MySQL数据库创建与字符集设置教程
- 404浏览 收藏
-
- 数据库 · MySQL | 1个月前 |
- MySQL基础命令速查:增删改查全攻略
- 427浏览 收藏
-
- 数据库 · MySQL | 1个月前 |
- MySQL优化Join查询的技巧与策略解析
- 351浏览 收藏
-
- 数据库 · MySQL | 1个月前 |
- MySQL常用数据类型有哪些及如何选择
- 156浏览 收藏
-
- 数据库 · MySQL | 1个月前 |
- MySQL增删改查语法速查手册
- 405浏览 收藏
-
- 前端进阶之JavaScript设计模式
- 设计模式是开发人员在软件开发过程中面临一般问题时的解决方案,代表了最佳的实践。本课程的主打内容包括JS常见设计模式以及具体应用场景,打造一站式知识长龙服务,适合有JS基础的同学学习。
- 543次学习
-
- GO语言核心编程课程
- 本课程采用真实案例,全面具体可落地,从理论到实践,一步一步将GO核心编程技术、编程思想、底层实现融会贯通,使学习者贴近时代脉搏,做IT互联网时代的弄潮儿。
- 516次学习
-
- 简单聊聊mysql8与网络通信
- 如有问题加微信:Le-studyg;在课程中,我们将首先介绍MySQL8的新特性,包括性能优化、安全增强、新数据类型等,帮助学生快速熟悉MySQL8的最新功能。接着,我们将深入解析MySQL的网络通信机制,包括协议、连接管理、数据传输等,让
- 500次学习
-
- JavaScript正则表达式基础与实战
- 在任何一门编程语言中,正则表达式,都是一项重要的知识,它提供了高效的字符串匹配与捕获机制,可以极大的简化程序设计。
- 487次学习
-
- 从零制作响应式网站—Grid布局
- 本系列教程将展示从零制作一个假想的网络科技公司官网,分为导航,轮播,关于我们,成功案例,服务流程,团队介绍,数据部分,公司动态,底部信息等内容区块。网站整体采用CSSGrid布局,支持响应式,有流畅过渡和展现动画。
- 485次学习
-
- ChatExcel酷表
- ChatExcel酷表是由北京大学团队打造的Excel聊天机器人,用自然语言操控表格,简化数据处理,告别繁琐操作,提升工作效率!适用于学生、上班族及政府人员。
- 4216次使用
-
- Any绘本
- 探索Any绘本(anypicturebook.com/zh),一款开源免费的AI绘本创作工具,基于Google Gemini与Flux AI模型,让您轻松创作个性化绘本。适用于家庭、教育、创作等多种场景,零门槛,高自由度,技术透明,本地可控。
- 4574次使用
-
- 可赞AI
- 可赞AI,AI驱动的办公可视化智能工具,助您轻松实现文本与可视化元素高效转化。无论是智能文档生成、多格式文本解析,还是一键生成专业图表、脑图、知识卡片,可赞AI都能让信息处理更清晰高效。覆盖数据汇报、会议纪要、内容营销等全场景,大幅提升办公效率,降低专业门槛,是您提升工作效率的得力助手。
- 4455次使用
-
- 星月写作
- 星月写作是国内首款聚焦中文网络小说创作的AI辅助工具,解决网文作者从构思到变现的全流程痛点。AI扫榜、专属模板、全链路适配,助力新人快速上手,资深作者效率倍增。
- 6104次使用
-
- MagicLight
- MagicLight.ai是全球首款叙事驱动型AI动画视频创作平台,专注于解决从故事想法到完整动画的全流程痛点。它通过自研AI模型,保障角色、风格、场景高度一致性,让零动画经验者也能高效产出专业级叙事内容。广泛适用于独立创作者、动画工作室、教育机构及企业营销,助您轻松实现创意落地与商业化。
- 4821次使用
-
- golang MySQL实现对数据库表存储获取操作示例
- 2022-12-22 499浏览
-
- 搞一个自娱自乐的博客(二) 架构搭建
- 2023-02-16 244浏览
-
- B-Tree、B+Tree以及B-link Tree
- 2023-01-19 235浏览
-
- mysql面试题
- 2023-01-17 157浏览
-
- MySQL数据表简单查询
- 2023-01-10 101浏览

