Mysql索引的数据结构及底层存储
来源:SegmentFault
2023-01-24 17:32:08
0浏览
收藏
本篇文章给大家分享《Mysql索引的数据结构及底层存储》,覆盖了数据库的常见基础知识,其实一个语言的全部知识点一篇文章是不可能说完的,但希望通过这些问题,让读者对自己的掌握程度有一定的认识(B 数),从而弥补自己的不足,更好的掌握它。
索引是帮助数据库高效获取数据的数据结构
索引的数据结构
1.hash表

a.利用hash存储的话需要将所有的数据文件添加到内存,比较耗费内存空间
b.hash表存储的是无序数据,范围查找的时候需要挨个进行遍历,比较耗费时间。
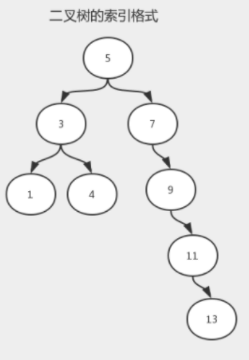
2.二叉树

二叉树规定左子树必须小于根节点,右子树必须大于根节点,可能会导致右子树变成一条链表,对提升查询效率没有帮助。
3.平衡树(AVL树)

AVL树是一颗严格意义上的平衡树,它要求最高子树和最低子树的高度之差不超过1,因此在进行元素插入的时候,会进行1到n次的旋转,严重影响插入的效率。
4.红黑树

红黑树是基于AVL树的一个升级,损失了部分查询的性能,来提升插入的性能,在红黑树中,最高子树不能超过最低子树的2倍,在插入的时候,不需要进行N多次的旋转操作,而且加入了变色的特性,来满足插入和查询性能的平衡。
ps:二叉树及其变种的其他树都不能支撑索引的需求,原因是其插入数据的性能比较低,并且树的深度无法控制,都会因为树的深度过深而造成io的次数变多,影响读取数据的效率。
5.B-Tree

B树的特点:
1.所有键值分布在整颗树上
2.搜索可能在非叶子节点上结束,在关键字全集内做一次查找,性能逼近二分查找
3.节点中的数据索引从左到右递增排列
缺点:每个节点同时包含了key和data,而每个页存储空间是有限的,
如果data比较大的话会导致每个节点存储的元素数量变小。
当存储量变大时,会导致深度变大,增大磁盘io次数,进而影响查询性能。
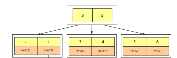
6.B+Tree

B+Tree是在B-Tree的基础之上做的一种优化:
1.B+Tree的非叶子节点只存储索引,不存储data,使非叶子节点可以包含更多的节点,这样有两个好处,一是大大降低了树的高度,二是将数据范围变成多个区间,增加了检索的效率。
2.叶子节点存储所有的索引和data,而且所有的叶子节点相互连接,形成了一种链式结构,范围查询性能更高。
ps:索引的从磁盘到内存的load过程中会产生磁盘I/O消耗,相对于内存读取,I/O存取的消耗要高好几个数量级,所以评价一个数据结构作为索引的优劣最重要的指标就是在查找过程中磁盘I/O操作次数。换句话说,索引的结构组织要尽量减少查找过程中磁盘I/O的存取次数。B+Tree这种数据结构利用了磁盘预读原理,将每个节点的大小设为等于一个页,每个节点只需要一次I/O就可以载入,并且节点中的数据和索引从左到右递增排列,符合局部性原理,所以B+Tree拥有更好的性能。
InnoDB索引实现
聚簇索引
在InnoDB这种存储引擎下,数据和索引是放在一起的
.frm存放的是表结构
.ibd存放表数据和索引
ps:innoDB存储引擎默认情况下会把所有的数据文件放到表空间中,不会单独为每一张表保存一份数据文件,如果需要将每一张表单独使用文件保存,设置如下属性:set gobal innodb_file_per_table=on
InnoDB--B+Tree

1.叶子节点直接存放索引和数据
2.InnoDB中至少有一个聚簇索引,一般会通过B+Tree对主键创建索引,如果没有主键,会选择唯一键,如果没有唯一键,会自动生成一个6位rowid来作为主键
3.在非聚簇索引中,叶子节点上存储的是该行数据的主键,然后通过聚簇索引找到对应的数据,也就是要走两次B+Tree,叫做回表
MyISAM索引实现
非聚簇索引
在MyISAM这种存储引擎下,数据和索引文件是单独的文件
.frm存放的是表结构
.MYI存放索引
.MYD存放表数据
MyISAM--B+Tree

1.叶子节点存放索引和对应数据的磁盘文件地址
2.MyISAM不存在回表的问题
本篇关于《Mysql索引的数据结构及底层存储》的介绍就到此结束啦,但是学无止境,想要了解学习更多关于数据库的相关知识,请关注golang学习网公众号!
版本声明
本文转载于:SegmentFault 如有侵犯,请联系study_golang@163.com删除
【MySQL—SQL编程】联接
- 上一篇
- 【MySQL—SQL编程】联接
- 下一篇
- 阿里9年老开发终于总结出微服务架构设计模式PDF了
查看更多
最新文章
-
- 数据库 · MySQL | 2小时前 |
- MySQL创建带约束表的实例详解
- 110浏览 收藏
-
- 数据库 · MySQL | 1星期前 |
- MySQL常用存储引擎及InnoDB与MyISAM对比分析
- 184浏览 收藏
-
- 数据库 · MySQL | 2星期前 |
- MySQL连接池配置与优化方法
- 147浏览 收藏
-
- 数据库 · MySQL | 2星期前 |
- MySQL内存优化技巧与参数设置解析
- 295浏览 收藏
-
- 数据库 · MySQL | 2星期前 |
- 主键外键关系解析与作用详解
- 413浏览 收藏
-
- 数据库 · MySQL | 2星期前 |
- MySQL数据库备份与安全方案详解
- 175浏览 收藏
-
- 数据库 · MySQL | 3星期前 |
- MySQL增删改查语法速查表大全
- 174浏览 收藏
-
- 数据库 · MySQL | 1个月前 |
- MySQLupdate语句使用详解
- 120浏览 收藏
-
- 数据库 · MySQL | 1个月前 |
- MySQL数据库创建与字符集设置教程
- 404浏览 收藏
-
- 数据库 · MySQL | 1个月前 |
- MySQL基础命令速查:增删改查全攻略
- 427浏览 收藏
-
- 数据库 · MySQL | 1个月前 |
- MySQL优化Join查询的技巧与策略解析
- 351浏览 收藏
-
- 数据库 · MySQL | 1个月前 |
- MySQL常用数据类型有哪些及如何选择
- 156浏览 收藏
查看更多
课程推荐
-
- 前端进阶之JavaScript设计模式
- 设计模式是开发人员在软件开发过程中面临一般问题时的解决方案,代表了最佳的实践。本课程的主打内容包括JS常见设计模式以及具体应用场景,打造一站式知识长龙服务,适合有JS基础的同学学习。
- 543次学习
-
- GO语言核心编程课程
- 本课程采用真实案例,全面具体可落地,从理论到实践,一步一步将GO核心编程技术、编程思想、底层实现融会贯通,使学习者贴近时代脉搏,做IT互联网时代的弄潮儿。
- 516次学习
-
- 简单聊聊mysql8与网络通信
- 如有问题加微信:Le-studyg;在课程中,我们将首先介绍MySQL8的新特性,包括性能优化、安全增强、新数据类型等,帮助学生快速熟悉MySQL8的最新功能。接着,我们将深入解析MySQL的网络通信机制,包括协议、连接管理、数据传输等,让
- 500次学习
-
- JavaScript正则表达式基础与实战
- 在任何一门编程语言中,正则表达式,都是一项重要的知识,它提供了高效的字符串匹配与捕获机制,可以极大的简化程序设计。
- 487次学习
-
- 从零制作响应式网站—Grid布局
- 本系列教程将展示从零制作一个假想的网络科技公司官网,分为导航,轮播,关于我们,成功案例,服务流程,团队介绍,数据部分,公司动态,底部信息等内容区块。网站整体采用CSSGrid布局,支持响应式,有流畅过渡和展现动画。
- 485次学习
查看更多
AI推荐
-
- ChatExcel酷表
- ChatExcel酷表是由北京大学团队打造的Excel聊天机器人,用自然语言操控表格,简化数据处理,告别繁琐操作,提升工作效率!适用于学生、上班族及政府人员。
- 4217次使用
-
- Any绘本
- 探索Any绘本(anypicturebook.com/zh),一款开源免费的AI绘本创作工具,基于Google Gemini与Flux AI模型,让您轻松创作个性化绘本。适用于家庭、教育、创作等多种场景,零门槛,高自由度,技术透明,本地可控。
- 4574次使用
-
- 可赞AI
- 可赞AI,AI驱动的办公可视化智能工具,助您轻松实现文本与可视化元素高效转化。无论是智能文档生成、多格式文本解析,还是一键生成专业图表、脑图、知识卡片,可赞AI都能让信息处理更清晰高效。覆盖数据汇报、会议纪要、内容营销等全场景,大幅提升办公效率,降低专业门槛,是您提升工作效率的得力助手。
- 4457次使用
-
- 星月写作
- 星月写作是国内首款聚焦中文网络小说创作的AI辅助工具,解决网文作者从构思到变现的全流程痛点。AI扫榜、专属模板、全链路适配,助力新人快速上手,资深作者效率倍增。
- 6105次使用
-
- MagicLight
- MagicLight.ai是全球首款叙事驱动型AI动画视频创作平台,专注于解决从故事想法到完整动画的全流程痛点。它通过自研AI模型,保障角色、风格、场景高度一致性,让零动画经验者也能高效产出专业级叙事内容。广泛适用于独立创作者、动画工作室、教育机构及企业营销,助您轻松实现创意落地与商业化。
- 4824次使用
查看更多
相关文章
-
- golang MySQL实现对数据库表存储获取操作示例
- 2022-12-22 499浏览
-
- 搞一个自娱自乐的博客(二) 架构搭建
- 2023-02-16 244浏览
-
- B-Tree、B+Tree以及B-link Tree
- 2023-01-19 235浏览
-
- mysql面试题
- 2023-01-17 157浏览
-
- MySQL数据表简单查询
- 2023-01-10 101浏览

