大模型量化训练极限在哪?腾讯混元提出低比特浮点数训练Scaling Laws
今天golang学习网给大家带来了《大模型量化训练极限在哪?腾讯混元提出低比特浮点数训练Scaling Laws》,其中涉及到的知识点包括等等,无论你是小白还是老手,都适合看一看哦~有好的建议也欢迎大家在评论留言,若是看完有所收获,也希望大家能多多点赞支持呀!一起加油学习~
腾讯混元团队揭示大模型浮点量化训练规律,找到最佳性价比配置

大模型低精度训练和推理是降低成本的关键方向,而浮点量化因其损耗小而备受关注。然而,现有整数量化经验能否直接应用于浮点量化?浮点量化是否存在极限?这些问题亟待解答。腾讯混元团队近期发表的论文《Scaling Laws for Floating–Point Quantization Training》(https://huggingface.co/papers/2501.02423)对此进行了深入研究,并提出了浮点量化的Scaling Laws。
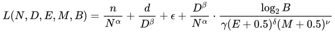
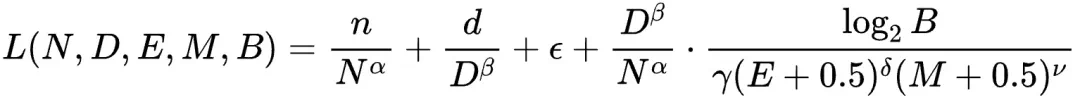
该研究通过366组不同参数规模和精度的浮点量化训练实验,综合考虑模型大小(N)、训练数据量(D)、指数位(E)、尾数位(M)以及量化放缩因子共享粒度(B),最终得出统一的Scaling Law公式:

基于此公式,研究团队得出以下重要结论:
- 存在模型效果极限及最佳数据量: 无论精度如何,每个模型都存在一个最佳数据量,超过此量反而会降低效果。
- 最佳性价比精度范围: 在大范围算力下,理论预测的最佳性价比精度位于4-8比特之间。
- 资源受限下的最优配置策略: 该Scaling Laws可指导在不同计算资源下,确定最佳性价比的浮点量化训练精度、模型参数量和训练数据量。
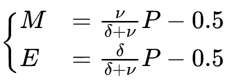
浮点数最佳配比及精细量化
研究团队还深入分析了指数位(E)和尾数位(M)对模型效果的影响,得出其最佳配比规律:

并定量研究了放缩因子共享粒度(B)的影响,发现验证损失与B的对数成正比:

效果屏障与资源受限下的最优解
该研究发现,由于效果屏障的存在,即使资源无限,训练数据量也不应超过Dcrit:

在资源受限的情况下,通过求解方程组,可以得到最佳性价比精度和参数量N与数据量D的配置策略,以及精度P与参数量N之间的“汇率”关系:












这项研究为大模型浮点量化训练提供了重要的理论指导,对降低训练成本和推动大模型应用具有重要意义。 它不仅为优化训练配置提供了依据,也为硬件厂商优化浮点运算能力和研究人员开展相关创新提供了新的方向。
文中关于工程的知识介绍,希望对你的学习有所帮助!若是受益匪浅,那就动动鼠标收藏这篇《大模型量化训练极限在哪?腾讯混元提出低比特浮点数训练Scaling Laws》文章吧,也可关注golang学习网公众号了解相关技术文章。
自适应分类器:通过智能查询路由降低 LLM 成本(已证明可以节省成本)
- 上一篇
- 自适应分类器:通过智能查询路由降低 LLM 成本(已证明可以节省成本)
- 下一篇
- 受钒氮业务线业绩亏损影响,阿石创2024年预亏1600万元-3200万元
-
- 科技周边 · 人工智能 | 9分钟前 | openclaw
- OpenClawAI运行慢怎么优化_OpenClawAI提升大模型响应速度技巧【技巧】
- 425浏览 收藏
-
- 科技周边 · 人工智能 | 19分钟前 |
- 如何提升代码运行效率并降低功耗 利用DeepSeek Coder优化算法时间复杂度
- 254浏览 收藏
-
- 科技周边 · 人工智能 | 45分钟前 | CodeGeeX CodeGeeX生成Go代码保姆级教程
- CodeGeeX怎么写Go日志_CodeGeeX生成Zap日志代码【Go日志】
- 155浏览 收藏
-
- 科技周边 · 人工智能 | 1小时前 | AI工具 民间故事ai工具
- DALL-E怎么设计AI民间故事插图_DALL-E设计AI民间故事插图详细流程说明
- 122浏览 收藏
-
- 科技周边 · 人工智能 | 1小时前 |
- 文心一言怎么分析用户评论_文心一言情感分析与洞察方法
- 223浏览 收藏
-
- 科技周边 · 人工智能 | 1小时前 |
- Minimax如何利用提示词控制颜色 Minimax配色方案写法
- 310浏览 收藏
-
- 科技周边 · 人工智能 | 1小时前 |
- 豆包AI怎样用数据增强年终总结说服力_豆包AI增说服力法【策略】
- 493浏览 收藏
-
- 科技周边 · 人工智能 | 1小时前 | ChatGPT
- 搭建高可用AI服务_Nginx反向代理与负载均衡配置
- 491浏览 收藏
-
- 科技周边 · 人工智能 | 1小时前 |
- 豆包AI如何做Plog图文排版_豆包AI制作Plog排版技巧全解析
- 200浏览 收藏
-
- 科技周边 · 人工智能 | 1小时前 |
- 如何解决简历投递后没有面试邀请 利用Claude进行全方位的竞争力分析
- 182浏览 收藏
-
- 科技周边 · 人工智能 | 1小时前 |
- 利用 DeepSeek 进行大规模 C++ 代码库审计
- 182浏览 收藏
-
- 科技周边 · 人工智能 | 1小时前 |
- 深度解析:WorkBuddy 如何提升个人办公效率?
- 273浏览 收藏
-
- 前端进阶之JavaScript设计模式
- 设计模式是开发人员在软件开发过程中面临一般问题时的解决方案,代表了最佳的实践。本课程的主打内容包括JS常见设计模式以及具体应用场景,打造一站式知识长龙服务,适合有JS基础的同学学习。
- 543次学习
-
- GO语言核心编程课程
- 本课程采用真实案例,全面具体可落地,从理论到实践,一步一步将GO核心编程技术、编程思想、底层实现融会贯通,使学习者贴近时代脉搏,做IT互联网时代的弄潮儿。
- 516次学习
-
- 简单聊聊mysql8与网络通信
- 如有问题加微信:Le-studyg;在课程中,我们将首先介绍MySQL8的新特性,包括性能优化、安全增强、新数据类型等,帮助学生快速熟悉MySQL8的最新功能。接着,我们将深入解析MySQL的网络通信机制,包括协议、连接管理、数据传输等,让
- 500次学习
-
- JavaScript正则表达式基础与实战
- 在任何一门编程语言中,正则表达式,都是一项重要的知识,它提供了高效的字符串匹配与捕获机制,可以极大的简化程序设计。
- 487次学习
-
- 从零制作响应式网站—Grid布局
- 本系列教程将展示从零制作一个假想的网络科技公司官网,分为导航,轮播,关于我们,成功案例,服务流程,团队介绍,数据部分,公司动态,底部信息等内容区块。网站整体采用CSSGrid布局,支持响应式,有流畅过渡和展现动画。
- 485次学习
-
- ChatExcel酷表
- ChatExcel酷表是由北京大学团队打造的Excel聊天机器人,用自然语言操控表格,简化数据处理,告别繁琐操作,提升工作效率!适用于学生、上班族及政府人员。
- 4466次使用
-
- Any绘本
- 探索Any绘本(anypicturebook.com/zh),一款开源免费的AI绘本创作工具,基于Google Gemini与Flux AI模型,让您轻松创作个性化绘本。适用于家庭、教育、创作等多种场景,零门槛,高自由度,技术透明,本地可控。
- 4812次使用
-
- 可赞AI
- 可赞AI,AI驱动的办公可视化智能工具,助您轻松实现文本与可视化元素高效转化。无论是智能文档生成、多格式文本解析,还是一键生成专业图表、脑图、知识卡片,可赞AI都能让信息处理更清晰高效。覆盖数据汇报、会议纪要、内容营销等全场景,大幅提升办公效率,降低专业门槛,是您提升工作效率的得力助手。
- 4696次使用
-
- 星月写作
- 星月写作是国内首款聚焦中文网络小说创作的AI辅助工具,解决网文作者从构思到变现的全流程痛点。AI扫榜、专属模板、全链路适配,助力新人快速上手,资深作者效率倍增。
- 6486次使用
-
- MagicLight
- MagicLight.ai是全球首款叙事驱动型AI动画视频创作平台,专注于解决从故事想法到完整动画的全流程痛点。它通过自研AI模型,保障角色、风格、场景高度一致性,让零动画经验者也能高效产出专业级叙事内容。广泛适用于独立创作者、动画工作室、教育机构及企业营销,助您轻松实现创意落地与商业化。
- 5063次使用
-
- GPT-4王者加冕!读图做题性能炸天,凭自己就能考上斯坦福
- 2023-04-25 501浏览
-
- 单块V100训练模型提速72倍!尤洋团队新成果获AAAI 2023杰出论文奖
- 2023-04-24 501浏览
-
- ChatGPT 真的会接管世界吗?
- 2023-04-13 501浏览
-
- VR的终极形态是「假眼」?Neuralink前联合创始人掏出新产品:科学之眼!
- 2023-04-30 501浏览
-
- 实现实时制造可视性优势有哪些?
- 2023-04-15 501浏览

