AAAI 2025 | 用于韦伯区位问题的去奇异性次梯度方法
从现在开始,努力学习吧!本文《AAAI 2025 | 用于韦伯区位问题的去奇异性次梯度方法》主要讲解了等等相关知识点,我会在golang学习网中持续更新相关的系列文章,欢迎大家关注并积极留言建议。下面就先一起来看一下本篇正文内容吧,希望能帮到你!
暨南大学通用机器学习团队取得突破性进展,提出解决经典韦伯区位问题奇异性难题的全新方法!该团队由网络空间安全学院和信息科学技术学院的教师、学生组成,研究方向涵盖通用逼近理论、分布外泛化、非凸优化等多个领域。自2024年4月至12月,团队已在ICML(2篇)、NeurIPS、IJCAI、AAAI等顶级人工智能会议上发表5篇论文,展现了强大的科研实力。本文第一作者为赖兆荣,通讯作者为李程博士。

韦伯区位问题的奇异性挑战
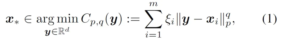
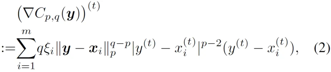
韦伯区位问题,源于费马点问题,广泛应用于机器学习、人工智能等多个领域。该问题旨在寻找一个中心点,最小化该点到多个给定点的加权距离之和。然而,该问题的求解过程容易遭遇奇异性问题,导致算法无法收敛。 这种奇异性可能出现在二维及更高维空间中,且难以通过简单的随机扰动等方法解决。






创新方案:去奇异性次梯度法
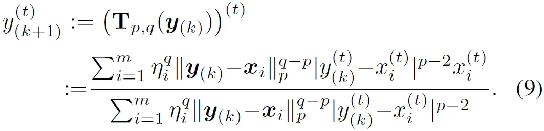
该团队提出了一种创新的“去奇异性次梯度法”,有效解决了这一难题。该方法通过识别并去除导致奇异性的数据点和维度,构建了“去奇异性次梯度”,并基于Weiszfeld算法,开发出一种名为qPpNWAWS的算法。








实验验证与应用
团队在CSI300数据集上进行了实验,结果表明qPpNWAWS算法具有高效性和高收敛速度。此外,在在线资产配置实验中,该算法也取得了优异的投资得分。




通用机器学习研究方向
该团队的研究属于通用机器学习领域的基础模块开发与优化器开发方向,致力于攻克通用人工智能中的基础科学与技术难题。
- 论文[a]:Invariant Risk Minimization Is A Total Variation Model (ICML 2024)
- 论文[b]:Autonomous Sparse Mean-CVaR Portfolio Optimization (ICML 2024)
- 论文[c]:A Globally Optimal Portfolio for m-Sparse Sharpe Ratio Maximization (NeurIPS 2024)
- 论文[d]:A De-singularity Subgradient Approach for the Extended Weber Location Problem (IJCAI 2024)
参考文献 (略,原文已列出)
- 论文标题:De-singularity Subgradient for the q-th-Powered L_p-Norm Weber Location Problem
- 论文链接:http://arxiv.org/abs/2412.15546
- 项目地址:https://github.com/laizhr/qPpNWAWS
文中关于理论,韦伯区位问题的知识介绍,希望对你的学习有所帮助!若是受益匪浅,那就动动鼠标收藏这篇《AAAI 2025 | 用于韦伯区位问题的去奇异性次梯度方法》文章吧,也可关注golang学习网公众号了解相关技术文章。
何小鹏恭喜向佐成为小鹏X9准车主 并邀其来广州体验
- 上一篇
- 何小鹏恭喜向佐成为小鹏X9准车主 并邀其来广州体验
- 下一篇
- 掌握软件测试生命周期 (STLC):阶段、重要性和最佳实践
-
- 科技周边 · 人工智能 | 11分钟前 | 爱奇艺纳豆pro
- 爱奇艺纳豆pro耗流量吗
- 390浏览 收藏
-
- 科技周边 · 人工智能 | 17分钟前 |
- DeepSeek V4怎么做邮件营销_EDM批量个性化邮件撰写【邮件】
- 220浏览 收藏
-
- 科技周边 · 人工智能 | 18分钟前 | 小可AI
- 小可AI图像处理入口_小可AI图像官网官方网址
- 456浏览 收藏
-
- 科技周边 · 人工智能 | 23分钟前 | openclaw
- OpenClawAI电脑版安装包下载_OpenClawAI电脑版Windows系统专用
- 243浏览 收藏
-
- 科技周边 · 人工智能 | 25分钟前 |
- Dify如何发布AI应用到网页_Dify应用发布方法【操作】
- 423浏览 收藏
-
- 科技周边 · 人工智能 | 32分钟前 |
- WorkBuddy 视觉模型识别网页截图的实操方法
- 278浏览 收藏
-
- 科技周边 · 人工智能 | 32分钟前 |
- WorkBuddy 无法连接网络?网络环境自检指南
- 179浏览 收藏
-
- 科技周边 · 人工智能 | 39分钟前 |
- 猫箱官网网页版入口 猫箱点击即玩最新版
- 353浏览 收藏
-
- 科技周边 · 人工智能 | 1小时前 |
- Midjourney如何生成海报设计_Midjourney海报制作步骤【操作】
- 382浏览 收藏
-
- 科技周边 · 人工智能 | 1小时前 |
- CodeGeeX如何生成Makefile_CodeGeeX编译规则文件生成【Makefile】
- 487浏览 收藏
-
- 科技周边 · 人工智能 | 1小时前 |
- 如何提升小红书种草笔记的互动率 利用豆包AI设计高频率互动的钩子
- 182浏览 收藏
-
- 前端进阶之JavaScript设计模式
- 设计模式是开发人员在软件开发过程中面临一般问题时的解决方案,代表了最佳的实践。本课程的主打内容包括JS常见设计模式以及具体应用场景,打造一站式知识长龙服务,适合有JS基础的同学学习。
- 543次学习
-
- GO语言核心编程课程
- 本课程采用真实案例,全面具体可落地,从理论到实践,一步一步将GO核心编程技术、编程思想、底层实现融会贯通,使学习者贴近时代脉搏,做IT互联网时代的弄潮儿。
- 516次学习
-
- 简单聊聊mysql8与网络通信
- 如有问题加微信:Le-studyg;在课程中,我们将首先介绍MySQL8的新特性,包括性能优化、安全增强、新数据类型等,帮助学生快速熟悉MySQL8的最新功能。接着,我们将深入解析MySQL的网络通信机制,包括协议、连接管理、数据传输等,让
- 500次学习
-
- JavaScript正则表达式基础与实战
- 在任何一门编程语言中,正则表达式,都是一项重要的知识,它提供了高效的字符串匹配与捕获机制,可以极大的简化程序设计。
- 487次学习
-
- 从零制作响应式网站—Grid布局
- 本系列教程将展示从零制作一个假想的网络科技公司官网,分为导航,轮播,关于我们,成功案例,服务流程,团队介绍,数据部分,公司动态,底部信息等内容区块。网站整体采用CSSGrid布局,支持响应式,有流畅过渡和展现动画。
- 485次学习
-
- ChatExcel酷表
- ChatExcel酷表是由北京大学团队打造的Excel聊天机器人,用自然语言操控表格,简化数据处理,告别繁琐操作,提升工作效率!适用于学生、上班族及政府人员。
- 4466次使用
-
- Any绘本
- 探索Any绘本(anypicturebook.com/zh),一款开源免费的AI绘本创作工具,基于Google Gemini与Flux AI模型,让您轻松创作个性化绘本。适用于家庭、教育、创作等多种场景,零门槛,高自由度,技术透明,本地可控。
- 4812次使用
-
- 可赞AI
- 可赞AI,AI驱动的办公可视化智能工具,助您轻松实现文本与可视化元素高效转化。无论是智能文档生成、多格式文本解析,还是一键生成专业图表、脑图、知识卡片,可赞AI都能让信息处理更清晰高效。覆盖数据汇报、会议纪要、内容营销等全场景,大幅提升办公效率,降低专业门槛,是您提升工作效率的得力助手。
- 4695次使用
-
- 星月写作
- 星月写作是国内首款聚焦中文网络小说创作的AI辅助工具,解决网文作者从构思到变现的全流程痛点。AI扫榜、专属模板、全链路适配,助力新人快速上手,资深作者效率倍增。
- 6486次使用
-
- MagicLight
- MagicLight.ai是全球首款叙事驱动型AI动画视频创作平台,专注于解决从故事想法到完整动画的全流程痛点。它通过自研AI模型,保障角色、风格、场景高度一致性,让零动画经验者也能高效产出专业级叙事内容。广泛适用于独立创作者、动画工作室、教育机构及企业营销,助您轻松实现创意落地与商业化。
- 5063次使用
-
- GPT-4王者加冕!读图做题性能炸天,凭自己就能考上斯坦福
- 2023-04-25 501浏览
-
- 单块V100训练模型提速72倍!尤洋团队新成果获AAAI 2023杰出论文奖
- 2023-04-24 501浏览
-
- ChatGPT 真的会接管世界吗?
- 2023-04-13 501浏览
-
- VR的终极形态是「假眼」?Neuralink前联合创始人掏出新产品:科学之眼!
- 2023-04-30 501浏览
-
- 实现实时制造可视性优势有哪些?
- 2023-04-15 501浏览

