Video Depth Anything来了!字节开源首款10分钟级长视频深度估计模型,性能SOTA
哈喽!今天心血来潮给大家带来了《Video Depth Anything来了!字节开源首款10分钟级长视频深度估计模型,性能SOTA》,想必大家应该对科技周边都不陌生吧,那么阅读本文就都不会很困难,以下内容主要涉及到,若是你正在学习科技周边,千万别错过这篇文章~希望能帮助到你!
字节跳动联合团队开源Video Depth Anything (VDA),实现高效稳定的长视频深度估计

AIxiv专栏持续报道全球顶尖AI实验室的最新研究成果。 字节跳动智能创作AR团队和豆包大模型团队近日联合发布了Video Depth Anything (VDA) 项目,该项目有效解决了单目深度估计模型在视频领域面临的时间一致性难题。VDA基于Depth Anything V2,通过融合高效时空注意力机制、精简时域一致性损失函数以及创新的关键帧长视频推理策略,实现了对长达10分钟视频的精准、稳定、高效的深度估计。
VDA的优势:速度与精度兼顾
单目深度估计模型广泛应用于增强现实、3D重建和自动驾驶等领域。Depth Anything系列模型因其泛化能力强、细节丰富、计算效率高而备受关注。然而,其在视频应用中容易受画面剧烈变化和运动模糊影响,导致精度和稳定性下降。
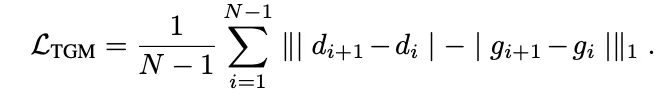
VDA巧妙地解决了这一问题。它沿用Depth Anything V2作为编码器,并新增轻量级时空头,在不牺牲原有模型特征的前提下,有效融合时间维度信息。同时,VDA提出了一种新颖的时序梯度匹配损失函数,无需依赖光流信息,即可实现时序一致性约束。 此外,VDA的关键帧推理策略,能够高效处理超长视频,并最大限度地减少计算负担和累积误差。

实验结果:SOTA表现
在六个基准数据集上的实验结果表明,VDA在精度、稳定性和速度方面均超越了现有SOTA模型,精度提升超过10个百分点,速度更是此前最高精度模型的10倍以上。在V100显卡上,小型VDA模型的推理速度甚至可达30FPS。



项目信息:
- 论文链接:https://arxiv.org/abs/2501.12375
- 项目主页:https://videodepthanything.github.io/
- 代码仓库:https://github.com/DepthAnything/Video-Depth-Anything
Prompt Depth Anything:另一项开源成果
除了VDA,豆包大模型团队还与浙江大学合作开源了Prompt Depth Anything,实现了4K分辨率下的高精度绝对深度估计。该技术通过引入提示机制,利用LiDAR数据等作为提示信息,显著提升了深度估计的精度。 这项技术也具有广泛的下游应用潜力,例如3D重建、自动驾驶和机器人抓取等。






本篇关于《Video Depth Anything来了!字节开源首款10分钟级长视频深度估计模型,性能SOTA》的介绍就到此结束啦,但是学无止境,想要了解学习更多关于科技周边的相关知识,请关注golang学习网公众号!
React令人兴奋的更新您需要知道
- 上一篇
- React令人兴奋的更新您需要知道
- 下一篇
- 从Java文件到JAR文件的旅程
-
- 科技周边 · 人工智能 | 1小时前 |
- 本地大模型微调入门_LoRA低显存训练指南
- 117浏览 收藏
-
- 科技周边 · 人工智能 | 1小时前 | Hermes Agent HermesAgent
- Hermes Agent是开源的吗_Hermes Agent开源协议与代码说明【开源】
- 498浏览 收藏
-
- 科技周边 · 人工智能 | 1小时前 |
- 如何在Perplexity中切换GPT-4o模型_进入Settings页面手动选择AI模型
- 438浏览 收藏
-
- 科技周边 · 人工智能 | 1小时前 | openclaw
- OpenClawAI运行慢怎么优化_OpenClawAI提升大模型响应速度技巧【技巧】
- 425浏览 收藏
-
- 科技周边 · 人工智能 | 1小时前 |
- 如何提升代码运行效率并降低功耗 利用DeepSeek Coder优化算法时间复杂度
- 254浏览 收藏
-
- 科技周边 · 人工智能 | 2小时前 | CodeGeeX CodeGeeX生成Go代码保姆级教程
- CodeGeeX怎么写Go日志_CodeGeeX生成Zap日志代码【Go日志】
- 155浏览 收藏
-
- 科技周边 · 人工智能 | 2小时前 | AI工具 民间故事ai工具
- DALL-E怎么设计AI民间故事插图_DALL-E设计AI民间故事插图详细流程说明
- 122浏览 收藏
-
- 科技周边 · 人工智能 | 2小时前 |
- 文心一言怎么分析用户评论_文心一言情感分析与洞察方法
- 223浏览 收藏
-
- 科技周边 · 人工智能 | 2小时前 |
- Minimax如何利用提示词控制颜色 Minimax配色方案写法
- 310浏览 收藏
-
- 科技周边 · 人工智能 | 2小时前 |
- 豆包AI怎样用数据增强年终总结说服力_豆包AI增说服力法【策略】
- 493浏览 收藏
-
- 科技周边 · 人工智能 | 2小时前 | ChatGPT
- 搭建高可用AI服务_Nginx反向代理与负载均衡配置
- 491浏览 收藏
-
- 科技周边 · 人工智能 | 2小时前 |
- 豆包AI如何做Plog图文排版_豆包AI制作Plog排版技巧全解析
- 200浏览 收藏
-
- 前端进阶之JavaScript设计模式
- 设计模式是开发人员在软件开发过程中面临一般问题时的解决方案,代表了最佳的实践。本课程的主打内容包括JS常见设计模式以及具体应用场景,打造一站式知识长龙服务,适合有JS基础的同学学习。
- 543次学习
-
- GO语言核心编程课程
- 本课程采用真实案例,全面具体可落地,从理论到实践,一步一步将GO核心编程技术、编程思想、底层实现融会贯通,使学习者贴近时代脉搏,做IT互联网时代的弄潮儿。
- 516次学习
-
- 简单聊聊mysql8与网络通信
- 如有问题加微信:Le-studyg;在课程中,我们将首先介绍MySQL8的新特性,包括性能优化、安全增强、新数据类型等,帮助学生快速熟悉MySQL8的最新功能。接着,我们将深入解析MySQL的网络通信机制,包括协议、连接管理、数据传输等,让
- 500次学习
-
- JavaScript正则表达式基础与实战
- 在任何一门编程语言中,正则表达式,都是一项重要的知识,它提供了高效的字符串匹配与捕获机制,可以极大的简化程序设计。
- 487次学习
-
- 从零制作响应式网站—Grid布局
- 本系列教程将展示从零制作一个假想的网络科技公司官网,分为导航,轮播,关于我们,成功案例,服务流程,团队介绍,数据部分,公司动态,底部信息等内容区块。网站整体采用CSSGrid布局,支持响应式,有流畅过渡和展现动画。
- 485次学习
-
- ChatExcel酷表
- ChatExcel酷表是由北京大学团队打造的Excel聊天机器人,用自然语言操控表格,简化数据处理,告别繁琐操作,提升工作效率!适用于学生、上班族及政府人员。
- 4467次使用
-
- Any绘本
- 探索Any绘本(anypicturebook.com/zh),一款开源免费的AI绘本创作工具,基于Google Gemini与Flux AI模型,让您轻松创作个性化绘本。适用于家庭、教育、创作等多种场景,零门槛,高自由度,技术透明,本地可控。
- 4812次使用
-
- 可赞AI
- 可赞AI,AI驱动的办公可视化智能工具,助您轻松实现文本与可视化元素高效转化。无论是智能文档生成、多格式文本解析,还是一键生成专业图表、脑图、知识卡片,可赞AI都能让信息处理更清晰高效。覆盖数据汇报、会议纪要、内容营销等全场景,大幅提升办公效率,降低专业门槛,是您提升工作效率的得力助手。
- 4696次使用
-
- 星月写作
- 星月写作是国内首款聚焦中文网络小说创作的AI辅助工具,解决网文作者从构思到变现的全流程痛点。AI扫榜、专属模板、全链路适配,助力新人快速上手,资深作者效率倍增。
- 6486次使用
-
- MagicLight
- MagicLight.ai是全球首款叙事驱动型AI动画视频创作平台,专注于解决从故事想法到完整动画的全流程痛点。它通过自研AI模型,保障角色、风格、场景高度一致性,让零动画经验者也能高效产出专业级叙事内容。广泛适用于独立创作者、动画工作室、教育机构及企业营销,助您轻松实现创意落地与商业化。
- 5063次使用
-
- GPT-4王者加冕!读图做题性能炸天,凭自己就能考上斯坦福
- 2023-04-25 501浏览
-
- 单块V100训练模型提速72倍!尤洋团队新成果获AAAI 2023杰出论文奖
- 2023-04-24 501浏览
-
- ChatGPT 真的会接管世界吗?
- 2023-04-13 501浏览
-
- VR的终极形态是「假眼」?Neuralink前联合创始人掏出新产品:科学之眼!
- 2023-04-30 501浏览
-
- 实现实时制造可视性优势有哪些?
- 2023-04-15 501浏览

