冗余连接
今天golang学习网给大家带来了《冗余连接》,其中涉及到的知识点包括等等,无论你是小白还是老手,都适合看一看哦~有好的建议也欢迎大家在评论留言,若是看完有所收获,也希望大家能多多点赞支持呀!一起加油学习~
684。冗余连接
难度:中等
>>主题:深度优先搜索,广度优先搜索,联合查找,图形
在这个问题中,一棵树是连接且没有循环的无向图。 >您获得了一个图形,该图是从1到n标记的n个节点开始的树,并增加了一个边缘。添加的边缘具有从1到n选择的两个不同的
的顶点,并且不是已经存在的边缘。该图表示为长度为n的数组边缘,其中边缘[i] = [ai ,bi]表明节点ai 返回可以删除的边缘,以便结果图是n节点的树。如果有多个答案,请返回在输入。
>>示例1:
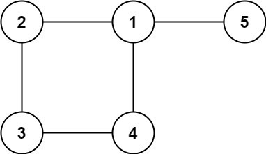
>输入: edges = [[1,2],[1,3],[2,3]]
>输出:
[2,3]
- >>示例2:
edges = [[1,2],[2,3],[3,4],[1,4],[1,5]]

- >约束:
- > n == edge.length
- 3 < = n < = 1000 edges [i] .length == 2
1 < = ai< b
i- i
- < = edges.length a
- i != b
- i
- > 没有重复的边缘。给定的图是连接的。
- 解决方案: 冗余连接
- 问题要求我们确定图形中的边缘,可以将图形转换为有效的树。树是连接和无环的无向图。给我们一个图形,该图是从树开始的,但通过添加一个额外的边缘进行了修改。我们的目标是找到并返回这个额外的优势。 >
- 关键点
该图是未取向
和删除冗余边缘后所得的图形必须没有周期。 答案应返回输入中出现的
最后一个的边缘,如果有多个有效的解决方案。
由于单个额外的边缘,该图最多可以具有一个周期。- 方法 该方法涉及使用>深度优先搜索(dfs)来检测周期:
- >邻接列表表示:
- >使用邻接列表来表示图形。该结构适合有效地执行df。
通过dfs
循环检测:
-
返回边缘:
- 如果检测到一个周期,请返回当前边缘作为冗余连接。
-
计划
解析输入边缘。
- 维护一个邻接列表以动态跟踪图形的连接。
- 对于每个边缘:
- 如果存在路径,请返回边缘作为冗余连接。
否则,将边缘添加到邻接列表中。
如果找不到冗余边缘,则返回空结果(尽管这不会按照问题的限制发生)。- >让我们在php中实现此解决方案:
684。冗余连接
<?php
/**
* @param Integer[][] $edges
* @return Integer[]
*/
function findRedundantConnection($edges) {
...
...
...
/**
* go to ./solution.php
*/
}
/**
* Helper function to perform DFS and check connectivity
*
* @param $src
* @param $target
* @param $visited
* @param $adjList
* @return bool
*/
private function isConnected($src, $target, &$visited, &$adjList) {
...
...
...
/**
* go to ./solution.php
*/
}
// Example usage:
$edges1 = [[1,2],[1,3],[2,3]];
$edges2 = [[1,2],[2,3],[3,4],[1,4],[1,5]];
print_r(findRedundantConnection($edges1)) . "\n"; // Output: [2,3]
print_r(findRedundantConnection($edges2)) . "\n"; // Output: [1,4]
?>
解释:
- dfs实现 :
-
- 从一个节点开始,然后递归访问其邻居。 使用访问的数组避免重新访问节点。
- 如果在遍历期间达到目标节点,则存在一条路径。
edge addad - :
如果在边缘的顶点之间不存在路径,请将边缘添加到邻接列表中,然后继续进行下一个边缘。
冗余边缘
:-
如果已经存在路径,请在形成周期时返回当前边缘。
-
示例演练
- 示例1:
- >输入 :edges = [[1,2],[1,3],[2,3]]
步骤 - :
>将邻接列表初始化为[]。
- 处理边缘:
- 添加[1,2]→图:{1:[2],2:[1]}
添加[1,3]→图:{1:[2,3],2:[1],3:[1]}
-
检查[2,3]:dfs找到路径→返回[2,3]。
- >输出 :[2,3]
> input
:edges = [[1,2],[2,3],[3,4],[1,4],[1,5]]:
>将邻接列表初始化为[]。处理边缘:
添加[1,2]→图:{1:[2],2:[1]}- 添加[2,3]→图:{1:[2],2:[1,3],3:[2]}
- 添加[3,4]→图:{1:[2],2:[1,3],3:[2,4],4:[3]}
- 检查[1,4]:dfs找到路径→返回[1,4]。
- 输出
时间复杂性
dfs traversal
:
对于每个边缘,我们执行一个dfs来检查连接。
,其中
v- 是顶点的数量,
- e
- 是边的数量。
:
由于我们为每个边缘执行dfs,因此总体复杂性为
o(e×(v e))。-
空间复杂度
:- >邻接列表:
- o(v e) 。。 访问阵列:o(v)。 总计: o(v e)
- 。
输出示例-
示例1:
> input :[[1,2],[1,3],[2,3]]
>输出 -
示例1:
> input :[[1,2],[1,3],[2,3]]
- :[2,3]
示例2:
- > input
- :[[[1,2],[2,3],[3,4],[1,4],[1,5]]
>输出:[1,4] 可以使用基于dfs的方法来有效解决该问题以检测周期。此方法动态构建图形并在每个步骤中检查冗余边缘。该解决方案通过遵守问题约束并输出形成周期并发生在输入中的边缘的边缘来确保正确性。 > - 联系链接
如果您发现此系列有帮助,请考虑在github上给出
reposority >在您喜欢的社交网络上分享帖子。您的支持对我来说意义重大! >
- 如果您想要这样的更多有用的内容,请随时关注我:> linkedin
- :[[[1,2],[2,3],[3,4],[1,4],[1,5]]
理论要掌握,实操不能落!以上关于《冗余连接》的详细介绍,大家都掌握了吧!如果想要继续提升自己的能力,那么就来关注golang学习网公众号吧!
特斯拉将迎史诗升级:推出全新FSD付费服务版本
- 上一篇
- 特斯拉将迎史诗升级:推出全新FSD付费服务版本
- 下一篇
- SpicyCamcast:轻巧的摄像头和JavaScript的屏幕截图集成
-
- 文章 · php教程 | 2分钟前 | php数据整理
- php数据整理怎么对数组进行倒序排列_php倒序排列array_reverse与键值保留技巧
- 339浏览 收藏
-
- 文章 · php教程 | 13分钟前 |
- PHPWord文档怎么生成_PHPWord创建编辑DOCX【方法】
- 464浏览 收藏
-
- 文章 · php教程 | 15分钟前 | PHP环境搭建
- PHP环境兼容性问题_PHP环境兼容性问题详细教程
- 268浏览 收藏
-
- 文章 · php教程 | 30分钟前 |
- PHP报错Notice级别怎么关闭_PHP错误提示设置说明【解答】
- 190浏览 收藏
-
- 文章 · php教程 | 35分钟前 | Xdebug
- Xdebug Profiler配合QCacheGrind分析PHP性能瓶颈教程
- 198浏览 收藏
-
- 文章 · php教程 | 44分钟前 | php
- PHP异常怎么日志记录_PHP异常日志记录方法及错误追踪。
- 204浏览 收藏
-
- 文章 · php教程 | 52分钟前 | XAMPP
- XAMPP环境下配置Memcached XAMPP缓存加速设置教程
- 404浏览 收藏
-
- 文章 · php教程 | 57分钟前 | PHP安全 防篡改
- PHP地址怎么防篡改_PHP地址防篡改的技术手段与实现方法
- 432浏览 收藏
-
- 文章 · php教程 | 58分钟前 |
- 如何通过自定义数据库 ID 安全下载服务器文件
- 462浏览 收藏
-
- 文章 · php教程 | 1小时前 |
- 宝塔面板如何集中管理微擎系统平台衍生的小程序站点_确保域名泛解析与伪静态规则正确并配置防盗链
- 287浏览 收藏
-
- 文章 · php教程 | 1小时前 | phpenv
- phpEnv安装Cassandra驱动 phpEnv PHP连接分布式DB
- 376浏览 收藏
-
- 文章 · php教程 | 1小时前 |
- 如何卸载宝塔面板?彻底清理服务器残留宝塔文件的方法
- 335浏览 收藏
-
- 前端进阶之JavaScript设计模式
- 设计模式是开发人员在软件开发过程中面临一般问题时的解决方案,代表了最佳的实践。本课程的主打内容包括JS常见设计模式以及具体应用场景,打造一站式知识长龙服务,适合有JS基础的同学学习。
- 543次学习
-
- GO语言核心编程课程
- 本课程采用真实案例,全面具体可落地,从理论到实践,一步一步将GO核心编程技术、编程思想、底层实现融会贯通,使学习者贴近时代脉搏,做IT互联网时代的弄潮儿。
- 516次学习
-
- 简单聊聊mysql8与网络通信
- 如有问题加微信:Le-studyg;在课程中,我们将首先介绍MySQL8的新特性,包括性能优化、安全增强、新数据类型等,帮助学生快速熟悉MySQL8的最新功能。接着,我们将深入解析MySQL的网络通信机制,包括协议、连接管理、数据传输等,让
- 500次学习
-
- JavaScript正则表达式基础与实战
- 在任何一门编程语言中,正则表达式,都是一项重要的知识,它提供了高效的字符串匹配与捕获机制,可以极大的简化程序设计。
- 487次学习
-
- 从零制作响应式网站—Grid布局
- 本系列教程将展示从零制作一个假想的网络科技公司官网,分为导航,轮播,关于我们,成功案例,服务流程,团队介绍,数据部分,公司动态,底部信息等内容区块。网站整体采用CSSGrid布局,支持响应式,有流畅过渡和展现动画。
- 485次学习
-
- ChatExcel酷表
- ChatExcel酷表是由北京大学团队打造的Excel聊天机器人,用自然语言操控表格,简化数据处理,告别繁琐操作,提升工作效率!适用于学生、上班族及政府人员。
- 4466次使用
-
- Any绘本
- 探索Any绘本(anypicturebook.com/zh),一款开源免费的AI绘本创作工具,基于Google Gemini与Flux AI模型,让您轻松创作个性化绘本。适用于家庭、教育、创作等多种场景,零门槛,高自由度,技术透明,本地可控。
- 4812次使用
-
- 可赞AI
- 可赞AI,AI驱动的办公可视化智能工具,助您轻松实现文本与可视化元素高效转化。无论是智能文档生成、多格式文本解析,还是一键生成专业图表、脑图、知识卡片,可赞AI都能让信息处理更清晰高效。覆盖数据汇报、会议纪要、内容营销等全场景,大幅提升办公效率,降低专业门槛,是您提升工作效率的得力助手。
- 4696次使用
-
- 星月写作
- 星月写作是国内首款聚焦中文网络小说创作的AI辅助工具,解决网文作者从构思到变现的全流程痛点。AI扫榜、专属模板、全链路适配,助力新人快速上手,资深作者效率倍增。
- 6486次使用
-
- MagicLight
- MagicLight.ai是全球首款叙事驱动型AI动画视频创作平台,专注于解决从故事想法到完整动画的全流程痛点。它通过自研AI模型,保障角色、风格、场景高度一致性,让零动画经验者也能高效产出专业级叙事内容。广泛适用于独立创作者、动画工作室、教育机构及企业营销,助您轻松实现创意落地与商业化。
- 5063次使用
-
- PHP技术的高薪回报与发展前景
- 2023-10-08 501浏览
-
- 基于 PHP 的商场优惠券系统开发中的常见问题解决方案
- 2023-10-05 501浏览
-
- 如何使用PHP开发简单的在线支付功能
- 2023-09-27 501浏览
-
- PHP消息队列开发指南:实现分布式缓存刷新器
- 2023-09-30 501浏览
-
- 如何在PHP微服务中实现分布式任务分配和调度
- 2023-10-04 501浏览

