技术分享 | 回顾 MySQL 的 MTS
编程并不是一个机械性的工作,而是需要有思考,有创新的工作,语法是固定的,但解决问题的思路则是依靠人的思维,这就需要我们坚持学习和更新自己的知识。今天golang学习网就整理分享《技术分享 | 回顾 MySQL 的 MTS》,文章讲解的知识点主要包括MySQL、数据库,如果你对数据库方面的知识点感兴趣,就不要错过golang学习网,在这可以对大家的知识积累有所帮助,助力开发能力的提升。
作者:洪斌
爱可生南区负责人兼技术服务总监,MySQL ACE,擅长数据库架构规划、故障诊断、性能优化分析,实践经验丰富,帮助各行业客户解决 MySQL 技术问题,为金融、运营商、互联网等行业客户提供 MySQL 整体解决方案。
本文来源:转载自公众号-玩转MySQL
*爱可生开源社区出品,原创内容未经授权不得随意使用,转载请联系小编并注明来源。
MySQL 并行回放在一路改进,从 5.6 的 schema 并行,到 5.7 的 group commit,再到 8.0 的 write set。
MTS based on schema
这种方式不用多说,涉及不同 schema 的 DML 操作,在 slave 端可以按 schema 粒度并行回放,弱点也很明显,如果实例中的 schema 较少,并行回放效果并不理想。
其优化方式也比较简单 slave_parallel_workers 小于等于 master 的 schema 数量。
LOGICAL_CLOCK
MySQL 5.7 增加了基于 group commit 的并行回放策略,使得 slave 可以接近 master 同样并发回放事务,master 并发越高,slave 并行回放效果越明显。
在 binlog 中每个事务会有多出两个标签
sequence_number:随每个事务递增的自增 ID,每次新的 binlog 会从 1 开始
last_committed:当前事务所依赖的上次事务的 sequence_number,每次新的 binlog 会从 0 开始
last_committed 相同值的事务代表同时提交的,可以并行回放。
#180105 20:08:33 ... last_committed=7201 sequence_number=7203 #180105 20:08:33 ... last_committed=7203 sequence_number=7204 #180105 20:08:33 ... last_committed=7203 sequence_number=7205 #180105 20:08:33 ... last_committed=7203 sequence_number=7206 #180105 20:08:33 ... last_committed=7205 sequence_number=7207
- 7203 事务依赖 7201
- 7204、7205、7206 事务依赖 7203,可以并行提交
- 7207 事务依赖 7205,由于 7205 依赖 7203,那么在 7205 执行完后,7207 可以和 7206 并行执行
优化方式通过调整 master group commit size 和 slave 的并行 work 线程数,提升并行效率。
master group commit size 和并发压力,以及下面两个参数相关
binlog_group_commit_sync_delay 表示 binlog 提交事务前等待多少微秒
binlog_group_commit_sync_no_delay_count 表示同步队列最大允许的事务数,当等待提交的线程达到多少时, 就不在等待
在 master 低并发的负载下,并行回放效果就不好了,如果想要提高并行度,需要增加 binlog_group_commit_sync_delay,积累较多的分组大小,副作用是拉低 master 吞吐量。
Write set
MySQL 8.0.1 & 5.7.22 在 group commit 基础上进一步改善了并行复制效率,增加了新的跟踪事务依赖关系的机制。相对于基于事务 commit timestamp,即使 master 低并发场景下也能使 slave 根据事务依赖关系并行重放,充分利用硬件资源,不需要像 MySQL 5.7 增加 binlog_group_commit_sync_delay 延迟的方式,增加可并行的事务,降低复制延迟。
在 master 上满足以下条件:
- binlog_format=row
- 开启 transaction_write_set_extraction=XXHASH64
- 更新表必须有主键,如果更新事务包含外键,则退回 commit_order 方式
- binlog_transaction_dependency_tracking = [COMMIT_ORDER | WRITESET | WRITESET_SESSION]
slave 上开启 slave_parallel_workers
COMMIT_ORDER 基于 commit timestamp
不同会话在相同时间执行可以并行回放
WRITESET 变更不同行的操作都可以并行
- 无主键 退回 commit_order 模式
hongbin@MBP ~/w/s/msb_8_0_3> mysqlbinlog data/MBP-bin.000013 |grep last_ |sed -e 's/server id.*last/[...] last/' -e 's/.rbr_only.*/ [...]/' #180105 21:19:31 [...] last_committed=0 sequence_number=1 [...] create table t1 (id); #180105 21:19:50 [...] last_committed=1 sequence_number=2 [...] insert t1 value(1); #180105 21:19:52 [...] last_committed=2 sequence_number=3 [...] insert t1 value(2); #180105 21:19:54 [...] last_committed=3 sequence_number=4 [...] insert t1 value(3);
- 有主键 单个会话也可以并行
#180105 21:23:58 [...] last_committed=4 sequence_number=5 [...] create table t2 (id INT UNSIGNED NOT NULL AUTO_INCREMENT PRIMARY KEY, str VARCHAR(80) NOT NULL UNIQUE);
#180105 21:24:19 [...] last_committed=5 sequence_number=6 [...] session1: insert t2(str) value('a');
#180105 21:24:21 [...] last_committed=5 sequence_number=7 [...] session1: insert t2(str) value('b');
#180105 21:24:25 [...] last_committed=5 sequence_number=8 [...] session1: insert t2(str) value('c');
WRITESET_SESSION 相同会话不会被重新排序,不同会话可并行
在相同会话中执行
#180106 13:15:26 [...] last_committed=0 sequence_number=1 [...] session1:insert t2(str) value('h');
#180106 13:15:31 [...] last_committed=1 sequence_number=2 [...] session1:insert t2(str) value('l');
在不同会话中执行
#180106 13:17:08 [...] last_committed=1 sequence_number=3 [...] session1: insert t2(str) value('q');
#180106 13:17:09 [...] last_committed=1 sequence_number=4 [...] session2: insert t2(str) value('w');
如何观测并行回放
如何评估 slave_parallel_workers 设置多少合适?如果设置小了,任务会有积压,如果设置大了,多余的线程是空闲的。
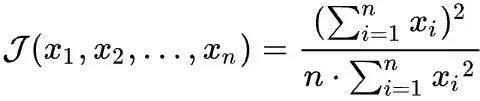
计算机领域有这么个公式专门来研究系统资源分配公平性。

出自论文《A Quantitative Measure Of Fairness And Discrimination For Resource Allocation In Shared Computer Systems》引用数 4000+
这个公式称为 jain's index 计算一系统共享资源分配公平性的指数,指数值在 0 借用此公式是不是可以来计算回放线程任务分配的公平性,如果 slave_parallel_workers 设置过大,反应任务分配公平性较差。找到合适的 slave_parallel_workers。 这里需要启用 performance_schema 的 transaction 级的 instrument,搜集线程事务提交信息。 将公式转换为 SQL 语句如下 在 slave 上观测,如果该指数值越接近 0 说明当前 applier 线程越空闲率高,如果该指数值越接近 1 说明当前 applier 线程空闲率越低。动手试试吧! 本篇关于《技术分享 | 回顾 MySQL 的 MTS》的介绍就到此结束啦,但是学无止境,想要了解学习更多关于数据库的相关知识,请关注golang学习网公众号!call sys.ps_setup_enable_consumer('events_transactions%');
call sys.ps_setup_enable_instrument('transaction');
select ROUND(POWER(SUM(trx_summary.COUNT_STAR), 2) /
(@@GLOBAL.slave_parallel_workers * SUM(POWER(trx_summary.COUNT_STAR, 2))), 2) AS replica_jain_index
from performance_schema.events_transactions_summary_by_thread_by_event_name as trx_summary join performance_schema.replication_applier_status_by_worker as applier
on trx_summary.THREAD_ID = applier.THREAD_ID
参考:
https://www.percona.com/blog/...
https://www.slideshare.net/Je...
https://jfg-mysql.blogspot.hk...
https://jfg-mysql.blogspot.co...
http://mysqlhighavailability....
Quartz-任务进度管理器
- 上一篇
- Quartz-任务进度管理器
- 下一篇
- JPA多数据源分布式事务处理-两种事务方案
-
- 数据库 · MySQL | 1小时前 |
- MySQL创建带约束表的实例详解
- 110浏览 收藏
-
- 数据库 · MySQL | 1星期前 |
- MySQL常用存储引擎及InnoDB与MyISAM对比分析
- 184浏览 收藏
-
- 数据库 · MySQL | 2星期前 |
- MySQL连接池配置与优化方法
- 147浏览 收藏
-
- 数据库 · MySQL | 2星期前 |
- MySQL内存优化技巧与参数设置解析
- 295浏览 收藏
-
- 数据库 · MySQL | 2星期前 |
- 主键外键关系解析与作用详解
- 413浏览 收藏
-
- 数据库 · MySQL | 2星期前 |
- MySQL数据库备份与安全方案详解
- 175浏览 收藏
-
- 数据库 · MySQL | 3星期前 |
- MySQL增删改查语法速查表大全
- 174浏览 收藏
-
- 数据库 · MySQL | 1个月前 |
- MySQLupdate语句使用详解
- 120浏览 收藏
-
- 数据库 · MySQL | 1个月前 |
- MySQL数据库创建与字符集设置教程
- 404浏览 收藏
-
- 数据库 · MySQL | 1个月前 |
- MySQL基础命令速查:增删改查全攻略
- 427浏览 收藏
-
- 数据库 · MySQL | 1个月前 |
- MySQL优化Join查询的技巧与策略解析
- 351浏览 收藏
-
- 数据库 · MySQL | 1个月前 |
- MySQL常用数据类型有哪些及如何选择
- 156浏览 收藏
-
- 前端进阶之JavaScript设计模式
- 设计模式是开发人员在软件开发过程中面临一般问题时的解决方案,代表了最佳的实践。本课程的主打内容包括JS常见设计模式以及具体应用场景,打造一站式知识长龙服务,适合有JS基础的同学学习。
- 543次学习
-
- GO语言核心编程课程
- 本课程采用真实案例,全面具体可落地,从理论到实践,一步一步将GO核心编程技术、编程思想、底层实现融会贯通,使学习者贴近时代脉搏,做IT互联网时代的弄潮儿。
- 516次学习
-
- 简单聊聊mysql8与网络通信
- 如有问题加微信:Le-studyg;在课程中,我们将首先介绍MySQL8的新特性,包括性能优化、安全增强、新数据类型等,帮助学生快速熟悉MySQL8的最新功能。接着,我们将深入解析MySQL的网络通信机制,包括协议、连接管理、数据传输等,让
- 500次学习
-
- JavaScript正则表达式基础与实战
- 在任何一门编程语言中,正则表达式,都是一项重要的知识,它提供了高效的字符串匹配与捕获机制,可以极大的简化程序设计。
- 487次学习
-
- 从零制作响应式网站—Grid布局
- 本系列教程将展示从零制作一个假想的网络科技公司官网,分为导航,轮播,关于我们,成功案例,服务流程,团队介绍,数据部分,公司动态,底部信息等内容区块。网站整体采用CSSGrid布局,支持响应式,有流畅过渡和展现动画。
- 485次学习
-
- ChatExcel酷表
- ChatExcel酷表是由北京大学团队打造的Excel聊天机器人,用自然语言操控表格,简化数据处理,告别繁琐操作,提升工作效率!适用于学生、上班族及政府人员。
- 4217次使用
-
- Any绘本
- 探索Any绘本(anypicturebook.com/zh),一款开源免费的AI绘本创作工具,基于Google Gemini与Flux AI模型,让您轻松创作个性化绘本。适用于家庭、教育、创作等多种场景,零门槛,高自由度,技术透明,本地可控。
- 4574次使用
-
- 可赞AI
- 可赞AI,AI驱动的办公可视化智能工具,助您轻松实现文本与可视化元素高效转化。无论是智能文档生成、多格式文本解析,还是一键生成专业图表、脑图、知识卡片,可赞AI都能让信息处理更清晰高效。覆盖数据汇报、会议纪要、内容营销等全场景,大幅提升办公效率,降低专业门槛,是您提升工作效率的得力助手。
- 4457次使用
-
- 星月写作
- 星月写作是国内首款聚焦中文网络小说创作的AI辅助工具,解决网文作者从构思到变现的全流程痛点。AI扫榜、专属模板、全链路适配,助力新人快速上手,资深作者效率倍增。
- 6105次使用
-
- MagicLight
- MagicLight.ai是全球首款叙事驱动型AI动画视频创作平台,专注于解决从故事想法到完整动画的全流程痛点。它通过自研AI模型,保障角色、风格、场景高度一致性,让零动画经验者也能高效产出专业级叙事内容。广泛适用于独立创作者、动画工作室、教育机构及企业营销,助您轻松实现创意落地与商业化。
- 4824次使用
-
- golang MySQL实现对数据库表存储获取操作示例
- 2022-12-22 499浏览
-
- 搞一个自娱自乐的博客(二) 架构搭建
- 2023-02-16 244浏览
-
- B-Tree、B+Tree以及B-link Tree
- 2023-01-19 235浏览
-
- mysql面试题
- 2023-01-17 157浏览
-
- MySQL数据表简单查询
- 2023-01-10 101浏览

