西安电子科大石理平教授团队:飞秒脉冲串研究重大突破!
西安电子科技大学石理平教授团队在飞秒激光微纳加工领域取得突破性进展,利用飞秒激光脉冲串诱导非晶硅薄膜氧化,成功制备出可调谐纳米光栅。该团队创新性地采用飞秒激光脉冲串技术,通过控制脉冲数量精确调控纳米光栅的周期和深度,解决了传统飞秒激光烧蚀法存在的碎屑和热量残留等问题,实现了高效率、高品质、可控的微纳加工。相关研究成果已发表在国际知名期刊《Ultrafast Science》上,为高精度光电元器件的微型化、精密化制造提供了重要技术支撑,具有广阔的应用前景。
西安电子科技大学杭州研究院先进视觉研究所石理平教授团队取得重大突破!他们利用飞秒激光脉冲串诱导非晶硅薄膜氧化,成功制备出可调谐纳米光栅,为高效率、高品质、可控的飞秒激光诱导自组织微纳加工提供了重要参考。
这项研究成果已发表在国际知名期刊《Ultrafast Science》上,西安电子科技大学杭州研究院为论文第一完成单位,德国洪堡大学和德国Max Born研究所参与合作。

随着光电元器件朝着微型化、精密化方向发展,对精密微纳制造技术的需求日益增长。传统微纳加工技术(如电子束/离子束刻蚀、光刻、纳米压印等)设备复杂、成本高昂。

激光诱导周期性表面结构示意图
激光诱导周期性表面结构(LIPSS)技术作为一种自组装加工方法,备受关注。然而,飞秒激光烧蚀法存在碎屑和热量残留等问题,影响加工的可控性和可调谐性。

单脉冲加工模式(上)与脉冲串加工模式(下)示意图
为解决上述问题,该研究团队创新性地采用飞秒激光脉冲串技术制备周期性纳米光栅。通过控制单脉冲串中的脉冲数量,实现了对LIPSS周期和深度的精确调控,获得了更规则的纳米结构。

不同参数下制备的样品
与传统单脉冲加工相比,飞秒脉冲串中高重复频率的子脉冲增加了材料表面的热累积,改变了材料的折射率和吸收特性,进而影响表面等离激元(SPP)的激发和传播,最终改变LIPSS结构。实验结果表明,适当的脉冲数量可以促进LIPSS的生成并保持其规则性,但过多的脉冲会导致过度氧化甚至烧蚀。

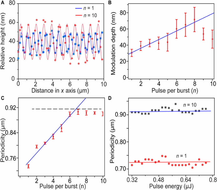
(A)LIPSS沿x方向的相对高度;(B)LIPSS的调制深度;(C)周期与单脉冲串脉冲数的关系;(D)LIPSS的周期与激光脉冲能量的关系
研究发现,LIPSS的周期和调制深度随脉冲数量的增加而线性增长,但当脉冲数量过大时,增长趋势会停止甚至下降,这可能是由于热量累积造成的。而单脉冲加工模式下,几乎无法通过改变脉冲能量来调制LIPSS周期。

(A,C和D)LIPSS的SEM图;(B)氧、铜和硅的二维EDX图
扫描电镜(SEM)和能量色散谱仪(EDX)分析表明,制备的LIPSS由大量被氧化的纳米颗粒组成,且颗粒尺寸随脉冲数量增加而增大。

大面积加工制备的LIPSS
该团队利用柱透镜聚焦技术,成功在大面积上制备了规则性良好的纳米光栅,证明了该方法在大规模纳米制造中的可行性。
这项研究为高品质、可控的纳米制造工艺奠定了基础,具有巨大的应用潜力,将对光电子产业产生深远影响。
到这里,我们也就讲完了《西安电子科大石理平教授团队:飞秒脉冲串研究重大突破!》的内容了。个人认为,基础知识的学习和巩固,是为了更好的将其运用到项目中,欢迎关注golang学习网公众号,带你了解更多关于西安电子科技大学的知识点!
SpringBoot一个方法搞定多个URL路由?
- 上一篇
- SpringBoot一个方法搞定多个URL路由?
- 下一篇
- SFTP服务状态检查指南及常见问题解决
-
- 科技周边 · 人工智能 | 13分钟前 |
- 批改网AI检测PPT支持内容解析与语法检查
- 209浏览 收藏
-
- 科技周边 · 人工智能 | 17分钟前 | DeepSeek
- DeepSeek模型使用指南与HuggingFace部署教程
- 414浏览 收藏
-
- 科技周边 · 人工智能 | 20分钟前 |
- WorkBuddy内存泄漏检测与优化技巧
- 326浏览 收藏
-
- 科技周边 · 人工智能 | 23分钟前 |
- PerplexityAI怎么查期刊论文?
- 410浏览 收藏
-
- 科技周边 · 人工智能 | 25分钟前 |
- AI渲染建筑草图工具推荐
- 394浏览 收藏
-
- 科技周边 · 人工智能 | 53分钟前 |
- WorkBuddy解决哪些办公痛点?
- 143浏览 收藏
-
- 科技周边 · 人工智能 | 1小时前 | openclaw
- OpenClawAI接入Claude3教程详解
- 325浏览 收藏
-
- 科技周边 · 人工智能 | 1小时前 | Hermes Agent HermesAgent
- Docker部署HermesAgent实战教程
- 460浏览 收藏
-
- 科技周边 · 人工智能 | 1小时前 |
- 使用CursorAI不会降低编程能力,反而能提升效率与学习效果。
- 209浏览 收藏
-
- 科技周边 · 人工智能 | 1小时前 |
- 龙虾机器人Function调用技巧
- 267浏览 收藏
-
- 科技周边 · 人工智能 | 1小时前 |
- Minimax提示词案例与作品复现解析
- 223浏览 收藏
-
- 科技周边 · 人工智能 | 2小时前 |
- WorkBuddyAI怎么用VLOOKUP公式详解
- 296浏览 收藏
-
- 前端进阶之JavaScript设计模式
- 设计模式是开发人员在软件开发过程中面临一般问题时的解决方案,代表了最佳的实践。本课程的主打内容包括JS常见设计模式以及具体应用场景,打造一站式知识长龙服务,适合有JS基础的同学学习。
- 543次学习
-
- GO语言核心编程课程
- 本课程采用真实案例,全面具体可落地,从理论到实践,一步一步将GO核心编程技术、编程思想、底层实现融会贯通,使学习者贴近时代脉搏,做IT互联网时代的弄潮儿。
- 516次学习
-
- 简单聊聊mysql8与网络通信
- 如有问题加微信:Le-studyg;在课程中,我们将首先介绍MySQL8的新特性,包括性能优化、安全增强、新数据类型等,帮助学生快速熟悉MySQL8的最新功能。接着,我们将深入解析MySQL的网络通信机制,包括协议、连接管理、数据传输等,让
- 500次学习
-
- JavaScript正则表达式基础与实战
- 在任何一门编程语言中,正则表达式,都是一项重要的知识,它提供了高效的字符串匹配与捕获机制,可以极大的简化程序设计。
- 487次学习
-
- 从零制作响应式网站—Grid布局
- 本系列教程将展示从零制作一个假想的网络科技公司官网,分为导航,轮播,关于我们,成功案例,服务流程,团队介绍,数据部分,公司动态,底部信息等内容区块。网站整体采用CSSGrid布局,支持响应式,有流畅过渡和展现动画。
- 485次学习
-
- ChatExcel酷表
- ChatExcel酷表是由北京大学团队打造的Excel聊天机器人,用自然语言操控表格,简化数据处理,告别繁琐操作,提升工作效率!适用于学生、上班族及政府人员。
- 4381次使用
-
- Any绘本
- 探索Any绘本(anypicturebook.com/zh),一款开源免费的AI绘本创作工具,基于Google Gemini与Flux AI模型,让您轻松创作个性化绘本。适用于家庭、教育、创作等多种场景,零门槛,高自由度,技术透明,本地可控。
- 4731次使用
-
- 可赞AI
- 可赞AI,AI驱动的办公可视化智能工具,助您轻松实现文本与可视化元素高效转化。无论是智能文档生成、多格式文本解析,还是一键生成专业图表、脑图、知识卡片,可赞AI都能让信息处理更清晰高效。覆盖数据汇报、会议纪要、内容营销等全场景,大幅提升办公效率,降低专业门槛,是您提升工作效率的得力助手。
- 4610次使用
-
- 星月写作
- 星月写作是国内首款聚焦中文网络小说创作的AI辅助工具,解决网文作者从构思到变现的全流程痛点。AI扫榜、专属模板、全链路适配,助力新人快速上手,资深作者效率倍增。
- 6379次使用
-
- MagicLight
- MagicLight.ai是全球首款叙事驱动型AI动画视频创作平台,专注于解决从故事想法到完整动画的全流程痛点。它通过自研AI模型,保障角色、风格、场景高度一致性,让零动画经验者也能高效产出专业级叙事内容。广泛适用于独立创作者、动画工作室、教育机构及企业营销,助您轻松实现创意落地与商业化。
- 4987次使用
-
- GPT-4王者加冕!读图做题性能炸天,凭自己就能考上斯坦福
- 2023-04-25 501浏览
-
- 单块V100训练模型提速72倍!尤洋团队新成果获AAAI 2023杰出论文奖
- 2023-04-24 501浏览
-
- ChatGPT 真的会接管世界吗?
- 2023-04-13 501浏览
-
- VR的终极形态是「假眼」?Neuralink前联合创始人掏出新产品:科学之眼!
- 2023-04-30 501浏览
-
- 实现实时制造可视性优势有哪些?
- 2023-04-15 501浏览

