【转载】为什么Mysql的常用引擎都默认使用B+树作为索引?
知识点掌握了,还需要不断练习才能熟练运用。下面golang学习网给大家带来一个数据库开发实战,手把手教大家学习《【转载】为什么Mysql的常用引擎都默认使用B+树作为索引?》,在实现功能的过程中也带大家重新温习相关知识点,温故而知新,回头看看说不定又有不一样的感悟!
一、前言
为了讲清楚这个问题,阿粉先带大家了解一下什么是索引。

我记得刚刚学习数据库的时候,老师喜欢用书本的目录来类比数据库的索引,并告诉我们索引能够像目录一样,让我们更快地找到想要找到的数据。
如果是第一次接触索引,这个比喻能够让我们有一个直观的印象。但是当深入去学习索引的时候,我们不能继续持有索引即目录的思想,我们要跳出来去思考索引的本质是什么。

二、索引的本质
在没有索引的情况下,我们查找数据只能按照从头到尾的顺序逐行查找,每查找一行数据,意味着我们要到到磁盘相应的位置去读取一条数据。
如果把查询一条数据分为到磁盘中查询和比对查询条件两步的话,到磁盘中查询的时间会远远大于比对查询条件的时间,这意味着在一次查询中,磁盘io占用了大部分的时间。更进一步地说,一次查询的效率取绝于磁盘io的次数,如果我们能够在一次查询中尽可能地降低磁盘io的次数,那么我们就能加快查询的速度。

在知道了减少磁盘io能加快查询速度后,我们就要聚焦于如何减少磁盘io。如果按照原表逐行查询的话,n条数据就要查询n次,也就是O(N)的时间复杂度,为了减少磁盘io的次数,我们必须用一种查询时间复杂度更低的数据结构来保存数据。
这种查询时间复杂度低的数据结构,我们称之为索引。所以通俗来说,索引其实就是某种数据结构,能充当索引的数据结构是多种多样的。
三、索引的选择
既然索引是一种便于查询的数据结构,如果大家对数据结构有一定了解的话,大概率会首选树型结构。毕竟树型结构普遍有着O(logN)的查询时间复杂度,而且插入删除数据的性能也比较平均。(可能你会说数组,哈希表的查询速度也很高啊,这个后面也会分析)

虽然我们都已经知道Mysql中最常用的引擎像InnoDB和MyISAM,最终都选择了B+树作为索引,但是这里我还是打算从最常见的二叉树开始讲起,推导一下为什么最终选择了B+树作为索引,并比较一下几种树型结构在充当索引时的优劣。
二叉树
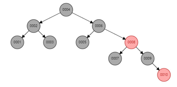
最普通的二叉树的问题在于他不能保证O(logN)的查询时间复杂度,我们看下面的图:

由于插入的元素逐渐增大,元素始终在右边进行插入,好好的一棵二叉树最终变成了一条“链表”。在这种极端的情况下,二叉树的查询时间复杂度不再是O(logN),而是退化为O(N),这样显然不符合索引的要求。
平衡二叉树(红黑树)
像红黑树这样的平衡二叉树,无论如何插入元素,他都可以通过一些旋转的方法调整树的高度,使得整棵树的查询效率维持在O(logN),如下图所示:

这么来说他已经符合了成为索引的必备条件,但是最终没有选择他作为索引说明还有不足的地方。仔细看看可以发现平衡二叉树的每个节点只有两个孩子节点,如果一张表的数据量特别大,整棵树的高度也会随之上升。一个千万级别的表如果用平衡二叉树作为索引的话,树高将会达到二十多层。这也就意味着做一次查询需要二十多次磁盘io,这是一个不小的开销。
那么有没有能在大数据量的情况下,还能保持一个较小树高的树型结构呢?
B树和B+树
答案就是B树。上面我们说到了平衡二叉树的瓶颈在于一个节点只有两个孩子节点,而B树一个节点可以存放N个孩子节点,这就完美解决了树高的问题,我们可以把B树称为平衡多叉树,B树作为索引如下图所示:

图片来源网络
但是以B树的结构作为索引仍有可以优化的地方,我们先看看最终的B+树,再仔细分析B+树在B树的基础上作了哪些改进,为什么B+树最终能够胜任索引的工作:

图片来源网络
从图片中可以看到B+树同样是一棵多叉平衡树,和B树一样很好地解决了树高的问题。
改进点一:
但仔细看可以发现,B树的节点中既存储索引,也存储表对应的数据;而B+树的非叶子节点是不存储数据的,只存储索引,数据全部存储在叶子节点上。
为什么要做这样的改进?我们做一次算术就知道了。
假设树高为2,主键ID为bigint类型,长度为8字节,节点指针为6字节,一行数据记录的大小为1k,一次io操作能获得一页16k的数据。
在索引为B+树的情况下,根节点能存储:16k / (6 + 8) = 1170 条索引指针;到了第一层,一共能指向 1170 * 1170 = 1368900 条索引指针;到了最底一层叶子节点,一个节点能存储16k / 1k = 16 条记录,一共能存储 1170 * 1170 * 16 = 21902400 条记录
在B树的情况下,由于非叶子节点使用了大量空间存储数据,存放的索引指针肯定就少,最终整棵树如果想要存储和B+树一样多的数据就必须要增加树高,这样一来就增加了磁盘io,所以说B+树作为索引的性能比B树高。
改进点二:
叶子节点之间使用指针连接,提高区间访问效率。如果我们要进行范围查询,可以轻松通过B+树叶子节点之间的指针进行遍历,减少了不必要的磁盘io。
总结
看到这里,相信大家对为什么Mysql的常用引擎都默认使用B+树作为索引已经有了初步的认知。我们只要牢记一点:索引是为了减少磁盘io提高查询性能而存在的。

最后回应一下为什么不常用哈希表和数组作为索引
哈希表虽然单一个值的查询效率很高,但是撑不住范围查询,哪个公司的业务还没个范围查询呢?
而数组虽然查询的效率高,但是增加和删除的效率低,由于记录在增加和删除的时候索引也得跟着维护,这会导致大数据量的情况下,增加或删除一条记录效率较低。
文中关于mysql的知识介绍,希望对你的学习有所帮助!若是受益匪浅,那就动动鼠标收藏这篇《【转载】为什么Mysql的常用引擎都默认使用B+树作为索引?》文章吧,也可关注golang学习网公众号了解相关技术文章。
经验分享:非常详细的 Linux C/C++ 学习路线总结!大厂面试指南
- 上一篇
- 经验分享:非常详细的 Linux C/C++ 学习路线总结!大厂面试指南
- 下一篇
- 产品级搜索技术-全文本索引
-
- 数据库 · MySQL | 1星期前 |
- MySQL常用存储引擎及InnoDB与MyISAM对比分析
- 184浏览 收藏
-
- 数据库 · MySQL | 2星期前 |
- MySQL连接池配置与优化方法
- 147浏览 收藏
-
- 数据库 · MySQL | 2星期前 |
- MySQL内存优化技巧与参数设置解析
- 295浏览 收藏
-
- 数据库 · MySQL | 2星期前 |
- 主键外键关系解析与作用详解
- 413浏览 收藏
-
- 数据库 · MySQL | 2星期前 |
- MySQL数据库备份与安全方案详解
- 175浏览 收藏
-
- 数据库 · MySQL | 3星期前 |
- MySQL增删改查语法速查表大全
- 174浏览 收藏
-
- 数据库 · MySQL | 4星期前 |
- MySQLupdate语句使用详解
- 120浏览 收藏
-
- 数据库 · MySQL | 1个月前 |
- MySQL数据库创建与字符集设置教程
- 404浏览 收藏
-
- 数据库 · MySQL | 1个月前 |
- MySQL基础命令速查:增删改查全攻略
- 427浏览 收藏
-
- 数据库 · MySQL | 1个月前 |
- MySQL优化Join查询的技巧与策略解析
- 351浏览 收藏
-
- 数据库 · MySQL | 1个月前 |
- MySQL常用数据类型有哪些及如何选择
- 156浏览 收藏
-
- 数据库 · MySQL | 1个月前 |
- MySQL增删改查语法速查手册
- 405浏览 收藏
-
- 前端进阶之JavaScript设计模式
- 设计模式是开发人员在软件开发过程中面临一般问题时的解决方案,代表了最佳的实践。本课程的主打内容包括JS常见设计模式以及具体应用场景,打造一站式知识长龙服务,适合有JS基础的同学学习。
- 543次学习
-
- GO语言核心编程课程
- 本课程采用真实案例,全面具体可落地,从理论到实践,一步一步将GO核心编程技术、编程思想、底层实现融会贯通,使学习者贴近时代脉搏,做IT互联网时代的弄潮儿。
- 516次学习
-
- 简单聊聊mysql8与网络通信
- 如有问题加微信:Le-studyg;在课程中,我们将首先介绍MySQL8的新特性,包括性能优化、安全增强、新数据类型等,帮助学生快速熟悉MySQL8的最新功能。接着,我们将深入解析MySQL的网络通信机制,包括协议、连接管理、数据传输等,让
- 500次学习
-
- JavaScript正则表达式基础与实战
- 在任何一门编程语言中,正则表达式,都是一项重要的知识,它提供了高效的字符串匹配与捕获机制,可以极大的简化程序设计。
- 487次学习
-
- 从零制作响应式网站—Grid布局
- 本系列教程将展示从零制作一个假想的网络科技公司官网,分为导航,轮播,关于我们,成功案例,服务流程,团队介绍,数据部分,公司动态,底部信息等内容区块。网站整体采用CSSGrid布局,支持响应式,有流畅过渡和展现动画。
- 485次学习
-
- ChatExcel酷表
- ChatExcel酷表是由北京大学团队打造的Excel聊天机器人,用自然语言操控表格,简化数据处理,告别繁琐操作,提升工作效率!适用于学生、上班族及政府人员。
- 4215次使用
-
- Any绘本
- 探索Any绘本(anypicturebook.com/zh),一款开源免费的AI绘本创作工具,基于Google Gemini与Flux AI模型,让您轻松创作个性化绘本。适用于家庭、教育、创作等多种场景,零门槛,高自由度,技术透明,本地可控。
- 4573次使用
-
- 可赞AI
- 可赞AI,AI驱动的办公可视化智能工具,助您轻松实现文本与可视化元素高效转化。无论是智能文档生成、多格式文本解析,还是一键生成专业图表、脑图、知识卡片,可赞AI都能让信息处理更清晰高效。覆盖数据汇报、会议纪要、内容营销等全场景,大幅提升办公效率,降低专业门槛,是您提升工作效率的得力助手。
- 4454次使用
-
- 星月写作
- 星月写作是国内首款聚焦中文网络小说创作的AI辅助工具,解决网文作者从构思到变现的全流程痛点。AI扫榜、专属模板、全链路适配,助力新人快速上手,资深作者效率倍增。
- 6103次使用
-
- MagicLight
- MagicLight.ai是全球首款叙事驱动型AI动画视频创作平台,专注于解决从故事想法到完整动画的全流程痛点。它通过自研AI模型,保障角色、风格、场景高度一致性,让零动画经验者也能高效产出专业级叙事内容。广泛适用于独立创作者、动画工作室、教育机构及企业营销,助您轻松实现创意落地与商业化。
- 4820次使用
-
- golang MySQL实现对数据库表存储获取操作示例
- 2022-12-22 499浏览
-
- Golang迭代如何在Go中循环数据结构使用详解
- 2022-12-22 148浏览
-
- 详解如何在Go语言中循环数据结构
- 2022-12-22 406浏览
-
- 搞一个自娱自乐的博客(二) 架构搭建
- 2023-02-16 244浏览
-
- B-Tree、B+Tree以及B-link Tree
- 2023-01-19 235浏览

