为什么mysql索引要使用B+树,而不是B树,红黑树
本篇文章主要是结合我之前面试的各种经历和实战开发中遇到的问题解决经验整理的,希望这篇《为什么mysql索引要使用B+树,而不是B树,红黑树》对你有很大帮助!欢迎收藏,分享给更多的需要的朋友学习~
我们在MySQL中的数据一般是放在磁盘中的,读取数据的时候肯定会有访问磁盘的操作,磁盘中有两个机械运动的部分,分别是盘片旋转和磁臂移动。盘片旋转就是我们市面上所提到的多少转每分钟,而磁盘移动则是在盘片旋转到指定位置以后,移动磁臂后开始进行数据的读写。那么这就存在一个定位到磁盘中的块的过程,而定位是磁盘的存取中花费时间比较大的一块,毕竟机械运动花费的时候要远远大于电子运动的时间。当大规模数据存储到磁盘中的时候,显然定位是一个非常花费时间的过程,但是我们可以通过B树进行优化,提高磁盘读取时定位的效率。
为什么B类树可以进行优化呢?我们可以根据B类树的特点,构造一个多阶的B类树,然后在尽量多的在结点上存储相关的信息,保证层数(树的高度)尽量的少,以便后面我们可以更快的找到信息,磁盘的I/O操作也少一些,而且B类树是平衡树,每个结点到叶子结点的高度都是相同,这也保证了每个查询是稳定的。
特别地:只有B-树和B+树,这里的B-树是叫B树,不是B减树。没有B减树的。
以下摘自【程序员小灰】
什么是B树
一个m阶的B树具有如下几个特征:
1、根结点至少有两个子女。 2、每个中间节点都包含k-1个元素和k个孩子,其中 m/2下面以3阶B树开始学习
这棵树中,重点看(2,6)节点。该节点有两个元素2和6,又有三个孩子1,(3,5),8。其中1小于元素2,(3,5)在(2,6)之间,8大于(3,5),正好符合上面所列的特征。
B树查询的流程:
比如上面的3阶B树查询数值5。
第1次IO:
第2次IO:
第3次IO:
第3次内存比较:
总结:每次深度加1就会进行一次磁盘IO的查询,将当前高度的数据加到内存中,再进行数值比较。从中可以看出相比大部分的查询时间是花费在磁盘IO的速度上,所以要想提高性能就是将树的高度足够低,IO次数足够少,这就是B树的优势。
B树添加的流程:
比如树里添加数值4 自顶向下查找4的节点位置,发现4应当插入到节点元素3,5之间
节点3,5已经是两元素节点,无法再增加。父亲节点 2, 6 也是两元素节点,也无法再增加。根节点9是单元素节点,可以升级为两元素节点。于是拆分节点3,5与节点2,6,让根节点9升级为两元素节点4,9。节点6独立为根节点的第二个孩子。
从图中可以看到,为了插入一个元素,几乎全部的位置都变化了,这就是B树的自平衡(始终维持多路平衡)。
B树删除的流程:
自顶向下查找元素11的节点位置。
删除11后,节点12只有一个孩子,不符合B树规范。因此找出12,13,15三个节点的中位数13,取代节点12,而节点12自身下移成为第一个孩子。(这个过程称为左旋)
B树应用
主要用于文件系统以及部分数据库索引(MongoDB) 而Mysql是用B+树的。
什么是B+树
一个m阶的B+树具有如下几个特征:
1、有k个子树的中间节点包含有k个元素(B树中是k-1个元素),每个元素不保存数据,只用来索引,所有数据都保存在叶子节点。 2、所有的叶子结点中包含了全部元素的信息,及指向含这些元素记录的指针,且叶子结点本身依关键字的大小自小而大顺序链接。 3、所有的中间节点元素都同时存在于子节点,在子节点元素中是最大(或最小)元素。从上图可以发现每一个父节点的元素都出现在子节点中,并且是子节点的最大(或最小)
从图中可以看到根节点元素8是字节点2,5,8的最大元素,也是叶子节点6,8的最大元素。根节点15是子节点11,15的最大元素,也是叶子节点13,15的最大元素。
B+树的最大元素始终位于根节点当中。所有叶子节点包含了全量元素信息,并且每一个叶子节点都带有指向 下一个节点指针,形成了一个有序链表。
B+树查询流程
单个查询:查询某个元素3
第一次磁盘IO:
第二次磁盘IO:
第三次磁盘IO:
这样看起来跟B树没有什么区别。但其实有两点是需要注意的:
1、B+树的中间节点没有卫星数据的。所以同样大小的磁盘页可以容纳更多的节点元素。(这就意味着B+会更加矮胖,查询的IO次数会更少)
B树的卫星数据
B+树的卫星数据
2、B树查找性能是不稳定的(如果要查找的数据分别在根节点和叶子节点,他们的性能就会不同)。但B+树的每一次都是稳定的,为啥呢,看下面的范围查询。
范围查询:查找到范围的下限(3)
B树的范围查询:
自顶向下,查找到范围的下限(3),最多6条:
中序遍历到元素6:
中序遍历到元素8:
中序遍历到元素9:
中序遍历到元素11,遍历结束:
B+树的范围查询:
自顶向下,查找到范围的下限(3),最多6条:
通过链表指针,遍历到元素6, 8:
通过链表指针,遍历到元素9, 11,遍历结束:
从上面的流程比较,可以得出以下B+树的优势:
1.单一节点存储更多的元素,使得查询的IO次数更少。
2.所有查询都要查找到叶子节点,查询性能稳定。
3.所有叶子节点形成有序链表,便于范围查询。
面试题
问题1:MySQL中存储索引用到的数据结构是B+树,B+树的查询时间跟树的高度有关,是log(n),如果用hash存储,那么查询时间是O(1)。既然hash比B+树更快,为什么mysql用B+树来存储索引呢?
答:一、从内存角度上说,数据库中的索引一般时在磁盘上,数据量大的情况可能无法一次性装入内存,B+树的设计可以允许数据分批加载。
二、从业务场景上说,如果只选择一个数据那确实是hash更快,但是数据库中经常会选中多条这时候由于B+树索引有序,并且又有链表相连,它的查询效率比hash就快很多了。
问题2:为什么不用红黑树或者二叉排序树?
答:树的查询时间跟树的高度有关,B+树是一棵多路搜索树可以降低树的高度,提高查找效率
问题3:既然增加树的路数可以降低树的高度,那么无限增加树的路数是不是可以有最优的查找效率?
答:这样会形成一个有序数组,文件系统和数据库的索引都是存在硬盘上的,并且如果数据量大的话,不一定能一次性加载到内存中。有序数组没法一次性加载进内存,这时候B+树的多路存储威力就出来了,可以每次加载B+树的一个结点,然后一步步往下找,
问题4:在内存中,红黑树比B树更优,但是涉及到磁盘操作B树就更优了,那么你能讲讲B+树吗?
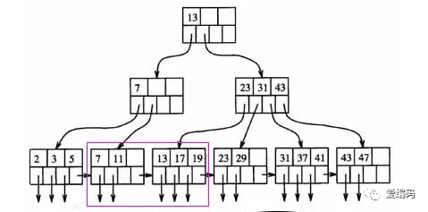
B+树是在B树的基础上进行改造,它的数据都在叶子结点,同时叶子结点之间还加了指针形成链表。
下面是一个4路B+树,它的数据都在叶子结点,并且有链表相连。
问题5:为什么B+树要这样设计?
答:这个跟它的使用场景有关,B+树在数据库的索引中用得比较多,数据库中select数据,不一定只选一条,很多时候会选中多条,比如按照id进行排序后选100条。如果是多条的话,B树需要做局部的中序遍历,可能要跨层访问。而B+树由于所有数据都在叶子结点不用跨层,同时由于有链表结构,只需要找到首尾,通过链表就能把所有数据取出来了。
比如选出7到19只需要在叶子结点中就能找到。
理论要掌握,实操不能落!以上关于《为什么mysql索引要使用B+树,而不是B树,红黑树》的详细介绍,大家都掌握了吧!如果想要继续提升自己的能力,那么就来关注golang学习网公众号吧!
慢查询分析调优工具~mysqldumpslow
- 上一篇
- 慢查询分析调优工具~mysqldumpslow
- 下一篇
- Python进阶-编解码问题全解
-
- 数据库 · MySQL | 3小时前 |
- MySQL事务是什么?如何保证数据一致性?
- 276浏览 收藏
-
- 数据库 · MySQL | 17小时前 |
- MySQL创建带约束表的实例详解
- 110浏览 收藏
-
- 数据库 · MySQL | 1星期前 |
- MySQL常用存储引擎及InnoDB与MyISAM对比分析
- 184浏览 收藏
-
- 数据库 · MySQL | 2星期前 |
- MySQL连接池配置与优化方法
- 147浏览 收藏
-
- 数据库 · MySQL | 2星期前 |
- MySQL内存优化技巧与参数设置解析
- 295浏览 收藏
-
- 数据库 · MySQL | 2星期前 |
- 主键外键关系解析与作用详解
- 413浏览 收藏
-
- 数据库 · MySQL | 2星期前 |
- MySQL数据库备份与安全方案详解
- 175浏览 收藏
-
- 数据库 · MySQL | 3星期前 |
- MySQL增删改查语法速查表大全
- 174浏览 收藏
-
- 数据库 · MySQL | 1个月前 |
- MySQLupdate语句使用详解
- 120浏览 收藏
-
- 数据库 · MySQL | 1个月前 |
- MySQL数据库创建与字符集设置教程
- 404浏览 收藏
-
- 数据库 · MySQL | 1个月前 |
- MySQL基础命令速查:增删改查全攻略
- 427浏览 收藏
-
- 数据库 · MySQL | 1个月前 |
- MySQL优化Join查询的技巧与策略解析
- 351浏览 收藏
-
- 前端进阶之JavaScript设计模式
- 设计模式是开发人员在软件开发过程中面临一般问题时的解决方案,代表了最佳的实践。本课程的主打内容包括JS常见设计模式以及具体应用场景,打造一站式知识长龙服务,适合有JS基础的同学学习。
- 543次学习
-
- GO语言核心编程课程
- 本课程采用真实案例,全面具体可落地,从理论到实践,一步一步将GO核心编程技术、编程思想、底层实现融会贯通,使学习者贴近时代脉搏,做IT互联网时代的弄潮儿。
- 516次学习
-
- 简单聊聊mysql8与网络通信
- 如有问题加微信:Le-studyg;在课程中,我们将首先介绍MySQL8的新特性,包括性能优化、安全增强、新数据类型等,帮助学生快速熟悉MySQL8的最新功能。接着,我们将深入解析MySQL的网络通信机制,包括协议、连接管理、数据传输等,让
- 500次学习
-
- JavaScript正则表达式基础与实战
- 在任何一门编程语言中,正则表达式,都是一项重要的知识,它提供了高效的字符串匹配与捕获机制,可以极大的简化程序设计。
- 487次学习
-
- 从零制作响应式网站—Grid布局
- 本系列教程将展示从零制作一个假想的网络科技公司官网,分为导航,轮播,关于我们,成功案例,服务流程,团队介绍,数据部分,公司动态,底部信息等内容区块。网站整体采用CSSGrid布局,支持响应式,有流畅过渡和展现动画。
- 485次学习
-
- ChatExcel酷表
- ChatExcel酷表是由北京大学团队打造的Excel聊天机器人,用自然语言操控表格,简化数据处理,告别繁琐操作,提升工作效率!适用于学生、上班族及政府人员。
- 4217次使用
-
- Any绘本
- 探索Any绘本(anypicturebook.com/zh),一款开源免费的AI绘本创作工具,基于Google Gemini与Flux AI模型,让您轻松创作个性化绘本。适用于家庭、教育、创作等多种场景,零门槛,高自由度,技术透明,本地可控。
- 4576次使用
-
- 可赞AI
- 可赞AI,AI驱动的办公可视化智能工具,助您轻松实现文本与可视化元素高效转化。无论是智能文档生成、多格式文本解析,还是一键生成专业图表、脑图、知识卡片,可赞AI都能让信息处理更清晰高效。覆盖数据汇报、会议纪要、内容营销等全场景,大幅提升办公效率,降低专业门槛,是您提升工作效率的得力助手。
- 4459次使用
-
- 星月写作
- 星月写作是国内首款聚焦中文网络小说创作的AI辅助工具,解决网文作者从构思到变现的全流程痛点。AI扫榜、专属模板、全链路适配,助力新人快速上手,资深作者效率倍增。
- 6108次使用
-
- MagicLight
- MagicLight.ai是全球首款叙事驱动型AI动画视频创作平台,专注于解决从故事想法到完整动画的全流程痛点。它通过自研AI模型,保障角色、风格、场景高度一致性,让零动画经验者也能高效产出专业级叙事内容。广泛适用于独立创作者、动画工作室、教育机构及企业营销,助您轻松实现创意落地与商业化。
- 4826次使用
-
- golang MySQL实现对数据库表存储获取操作示例
- 2022-12-22 499浏览
-
- 搞一个自娱自乐的博客(二) 架构搭建
- 2023-02-16 244浏览
-
- B-Tree、B+Tree以及B-link Tree
- 2023-01-19 235浏览
-
- mysql面试题
- 2023-01-17 157浏览
-
- MySQL数据表简单查询
- 2023-01-10 101浏览





























