AbNovoICLR2025首发,多目标抗体设计新突破
上海交大医学院张海仓课题组在国际顶级机器学习会议ICLR 2025上发表论文,推出创新抗体设计工具AbNovo。AbNovo巧妙融合强化学习和深度扩散模型,突破传统抗体设计效率低下的瓶颈,实现多目标、多约束条件下的高效抗体从头设计。该工具通过“带约束偏好优化”技术,在满足生物物理约束的同时,最大化抗体结合亲和力等目标特性,性能优于现有方法,未来有望广泛应用于药物研发。
上海交大医学院张海仓课题组联合中原人工智能产业技术研究院及中科院计算所,研发出一款名为AbNovo的创新抗体设计工具。该工具巧妙地结合强化学习和深度扩散模型,能够在多重目标和约束条件下,高效完成抗体从头设计。这项研究成果已发表于国际顶级机器学习会议ICLR 2025,论文标题为“Multi-objective antibody design with constrained preference optimization”。

研究背景:突破传统抗体设计瓶颈
抗体在疾病治疗中扮演着关键角色,但传统抗体设计方法效率低,难以同时满足多种理想特性(如高亲和力、稳定性、特异性等)。AbNovo应运而生,旨在解决这一难题。
论文链接:https://openreview.net/forum?id=4ktJJBvvUd
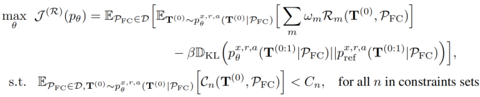
AbNovo的核心创新:约束偏好优化
AbNovo的核心在于首次将“带约束偏好优化”技术应用于基于扩散模型的抗体设计。它通过两阶段流程实现多目标、多约束的抗体设计:
- 阶段一:基础模型构建: 利用多模态扩散模型,联合设计抗体序列和结构,建立抗体-抗原条件生成模型。
- 阶段二:约束偏好优化: 对阶段一模型进行微调,在满足生物物理约束的同时,最大化目标特性(如结合亲和力)。此阶段迭代更新模型,提高效率和约束满足率。

图 1:AbNovo工作流程

此外,AbNovo训练了一个大规模结构感知蛋白质语言模型,缓解了抗体-抗原训练数据不足的问题。

图 2:约束偏好优化算法
性能评估:优于现有方法
AbNovo在多个指标上均优于现有抗体设计模型(如DiffAb、dyMEAN、GeoAb和AbX),有效性得到了验证。

图 3:独立指标评估

图 4:基于参考指标评估

图 5:案例研究
未来展望:广泛应用前景
AbNovo的框架具有良好的扩展性,未来可应用于多肽、小蛋白配体和小分子药物设计等领域,有望显著提升药物研发效率。 张海仓课题组也正在积极招募相关人才。 联系邮箱:zhanghaicang@sjtu.edu.cn
今天关于《AbNovoICLR2025首发,多目标抗体设计新突破》的内容就介绍到这里了,是不是学起来一目了然!想要了解更多关于强化学习,AbNovo,抗体设计,深度扩散模型,约束偏好优化的内容请关注golang学习网公众号!
在使用Python下载法兰克福证券交易所的BlobURL数据时,如果遇到文件大小异常和内容不可读的问题,可以尝试以下几种解决方法:检查URL和请求头:确保你使用的URL是正确的,并且请求头中包含了必要的参数。有些BlobURL可能需要特定的请求头才能正确访问。importrequestsurl="your_blob_url_here"headers={"User-Agent":"Mozilla/5
- 上一篇
- 在使用Python下载法兰克福证券交易所的BlobURL数据时,如果遇到文件大小异常和内容不可读的问题,可以尝试以下几种解决方法:检查URL和请求头:确保你使用的URL是正确的,并且请求头中包含了必要的参数。有些BlobURL可能需要特定的请求头才能正确访问。importrequestsurl="your_blob_url_here"headers={"User-Agent":"Mozilla/5
- 下一篇
- 1MB文本文件在磁盘和内存中占用空间详解
-
- 科技周边 · 人工智能 | 1小时前 |
- Figma快速实现BEM命名规范,AI脚本自动重命名
- 407浏览 收藏
-
- 科技周边 · 人工智能 | 1小时前 | Hermes Agent HermesAgent
- Hermes Agent如何调用搜索功能
- 422浏览 收藏
-
- 科技周边 · 人工智能 | 1小时前 | 雾象Fogsight
- 雾象Fogsight权限设置教程【配置】
- 205浏览 收藏
-
- 科技周边 · 人工智能 | 2小时前 |
- AI绘画软件推荐:Midjourney入门教程大全
- 258浏览 收藏
-
- 科技周边 · 人工智能 | 2小时前 | CodeGeeX
- CodeGeeX最新版官网入口链接
- 458浏览 收藏
-
- 科技周边 · 人工智能 | 2小时前 |
- Perplexity绑卡地址验证失败解决方法
- 365浏览 收藏
-
- 科技周边 · 人工智能 | 2小时前 |
- Capybara开发者文档详解与官方指南
- 462浏览 收藏
-
- 科技周边 · 人工智能 | 2小时前 | 豆包AI 豆包AI助手
- 豆包AI接口收费详解及价格指南
- 447浏览 收藏
-
- 科技周边 · 人工智能 | 2小时前 |
- 豆包API收费吗\_调用配额与计费详解
- 271浏览 收藏
-
- 科技周边 · 人工智能 | 2小时前 | CanvaAI Canva可画
- Canva可画手机设计秒开入口分享
- 316浏览 收藏
-
- 科技周边 · 人工智能 | 2小时前 |
- Capybara开源模型下载与使用教程
- 317浏览 收藏
-
- 科技周边 · 人工智能 | 3小时前 |
- Figma UI3对齐按钮在哪找?
- 300浏览 收藏
-
- 前端进阶之JavaScript设计模式
- 设计模式是开发人员在软件开发过程中面临一般问题时的解决方案,代表了最佳的实践。本课程的主打内容包括JS常见设计模式以及具体应用场景,打造一站式知识长龙服务,适合有JS基础的同学学习。
- 543次学习
-
- GO语言核心编程课程
- 本课程采用真实案例,全面具体可落地,从理论到实践,一步一步将GO核心编程技术、编程思想、底层实现融会贯通,使学习者贴近时代脉搏,做IT互联网时代的弄潮儿。
- 516次学习
-
- 简单聊聊mysql8与网络通信
- 如有问题加微信:Le-studyg;在课程中,我们将首先介绍MySQL8的新特性,包括性能优化、安全增强、新数据类型等,帮助学生快速熟悉MySQL8的最新功能。接着,我们将深入解析MySQL的网络通信机制,包括协议、连接管理、数据传输等,让
- 500次学习
-
- JavaScript正则表达式基础与实战
- 在任何一门编程语言中,正则表达式,都是一项重要的知识,它提供了高效的字符串匹配与捕获机制,可以极大的简化程序设计。
- 487次学习
-
- 从零制作响应式网站—Grid布局
- 本系列教程将展示从零制作一个假想的网络科技公司官网,分为导航,轮播,关于我们,成功案例,服务流程,团队介绍,数据部分,公司动态,底部信息等内容区块。网站整体采用CSSGrid布局,支持响应式,有流畅过渡和展现动画。
- 485次学习
-
- ChatExcel酷表
- ChatExcel酷表是由北京大学团队打造的Excel聊天机器人,用自然语言操控表格,简化数据处理,告别繁琐操作,提升工作效率!适用于学生、上班族及政府人员。
- 4520次使用
-
- Any绘本
- 探索Any绘本(anypicturebook.com/zh),一款开源免费的AI绘本创作工具,基于Google Gemini与Flux AI模型,让您轻松创作个性化绘本。适用于家庭、教育、创作等多种场景,零门槛,高自由度,技术透明,本地可控。
- 4874次使用
-
- 可赞AI
- 可赞AI,AI驱动的办公可视化智能工具,助您轻松实现文本与可视化元素高效转化。无论是智能文档生成、多格式文本解析,还是一键生成专业图表、脑图、知识卡片,可赞AI都能让信息处理更清晰高效。覆盖数据汇报、会议纪要、内容营销等全场景,大幅提升办公效率,降低专业门槛,是您提升工作效率的得力助手。
- 4746次使用
-
- 星月写作
- 星月写作是国内首款聚焦中文网络小说创作的AI辅助工具,解决网文作者从构思到变现的全流程痛点。AI扫榜、专属模板、全链路适配,助力新人快速上手,资深作者效率倍增。
- 6610次使用
-
- MagicLight
- MagicLight.ai是全球首款叙事驱动型AI动画视频创作平台,专注于解决从故事想法到完整动画的全流程痛点。它通过自研AI模型,保障角色、风格、场景高度一致性,让零动画经验者也能高效产出专业级叙事内容。广泛适用于独立创作者、动画工作室、教育机构及企业营销,助您轻松实现创意落地与商业化。
- 5110次使用
-
- GPT-4王者加冕!读图做题性能炸天,凭自己就能考上斯坦福
- 2023-04-25 501浏览
-
- 单块V100训练模型提速72倍!尤洋团队新成果获AAAI 2023杰出论文奖
- 2023-04-24 501浏览
-
- ChatGPT 真的会接管世界吗?
- 2023-04-13 501浏览
-
- VR的终极形态是「假眼」?Neuralink前联合创始人掏出新产品:科学之眼!
- 2023-04-30 501浏览
-
- 实现实时制造可视性优势有哪些?
- 2023-04-15 501浏览

