数据结构回顾:树与二叉树详解(上)
本文探讨了树与二叉树的基本结构和遍历算法。树是一种非线性结构,广泛应用于计算机中,如Windows资源管理器和应用程序菜单。文章详细介绍了树的基本概念和术语,包括根节点、内部节点、叶子节点以及节点的层次和深度。接着,文中通过猜数字游戏引出了二叉树的概念,并讨论了二叉树的顺序和链式存储结构。最后,文章提供了C#代码,展示了二叉树节点的定义、创建以及递归遍历方法的前、中、后序遍历实现。
前面所讨论的线性表元素之间都是一对一的关系,今天我们所看到的结构各元素之间却是一对多的关系。树在计算机中有着广泛的应用,甚至在计算机的日常使用中,也可以看到树形结构的身影,如下图所示的Windows资源管理器和应用程序的菜单都属于树形结构。树形结构是一种典型的非线性结构,除了用于表示相邻关系外,还可以表示层次关系。本文重点讨论树与二叉树的基本结构和遍历算法等内容。


(1)不同的节点:根节点、内部节点、叶子节点以及节点的度

(2)节点的关系:双亲与孩子,爸爸回来了,爸爸去哪儿?
(3)节点的层次:结点的层次(Level)从根开始定义起,根为第一层,根的孩子为第二层。树中结点的最大层次称为树的深度(Depth)或高度。

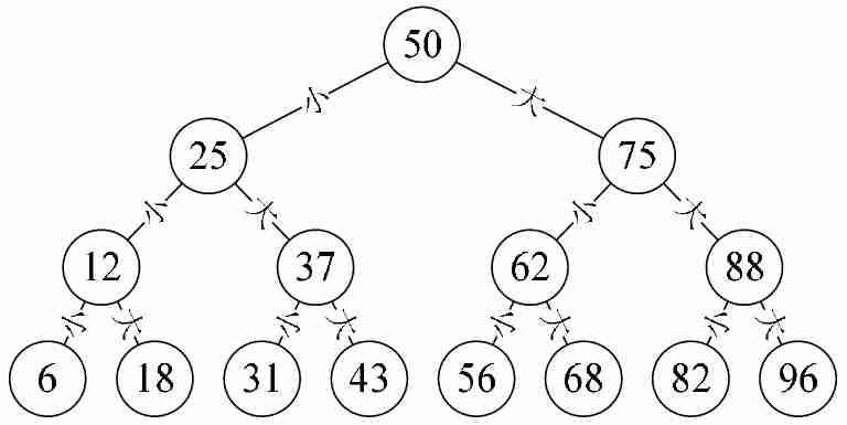
回忆一下,当年某电视节目中会让游戏参与者猜一个产品的价格,如果参与者在限定时间内猜对了,那么他就可以获得这个产品。很多人都是一点点的提高数值来猜,但是这样猜会很没有效率。因此,很多聪明人都知道需要利用折半查找的思想去猜测。假定某个产品在100元的范围内,那么可以在7次之内猜出结果来,如下图所示:(由于是100以内的正整数,所以我们先猜50(100的一半),被告之“大了”,于是再猜25(50的一半),被告之“小了”,再猜37(25与50的中间数),小了,于是猜43,大了,40,大了,38,小了,39,完全正确。)

如上图所示,对于这种在某个阶段都是两种结果的情形,比如开和关、0和1、真和假、上和下、对与错,正面与反面等,都适合用树状结构来建模,而这种树是一种很特殊的树状结构,叫做二叉树。
2.2 二叉树的顺序存储结构二叉树的顺序存储结构就是用一维数组存储二叉树中的结点。结点的存储位置,也就是数组的下标要能体现结点之间的逻辑关系,比如双亲与孩子的关系,左右兄弟的关系等。

But,考虑一种极端的情况,一棵深度为k的右斜树,它只有k个结点,却需要分配2的k次方-1个存储单元空间,这显然是对存储空间的浪费,所以,顺序存储结构一般只适用于完全二叉树。
2.3 二叉树的链式存储结构既然顺序存储适用性不强,我们就要考虑链式存储结构。二叉树每个结点最多有两个孩子,所以为它设计一个数据域和两个指针域是比较自然的想法,我们称这样的链表叫做二叉链表。其中data是数据域,lchild和rchild都是指针域,分别存放指向左孩子和右孩子的指针。

(1)二叉树节点的定义:
代码语言:javascript代码运行次数:0运行复制 static void MyBinaryTreeBasicTest() { // 构造一颗二叉树,根节点为"A" MyBinaryTree<string> bTree = new MyBinaryTree<string>("A"); Node<string> rootNode = bTree.Root; // 向根节点"A"插入左孩子节点"B"和右孩子节点"C" bTree.InsertLeft(rootNode, "B"); bTree.InsertRight(rootNode, "C"); // 向节点"B"插入左孩子节点"D"和右孩子节点"E" Node<string> nodeB = rootNode.lchild; bTree.InsertLeft(nodeB, "D"); bTree.InsertRight(nodeB, "E"); // 向节点"C"插入右孩子节点"F" Node<string> nodeC = rootNode.rchild; bTree.InsertRight(nodeC, "F"); // 前序遍历 Console.WriteLine("---------PreOrder---------"); bTree.PreOrder(bTree.Root); // 中序遍历 Console.WriteLine(); Console.WriteLine("---------MidOrder---------"); bTree.MidOrder(bTree.Root); // 后序遍历 Console.WriteLine(); Console.WriteLine("---------PostOrder---------"); bTree.PostOrder(bTree.Root); }</string></string></string></string></string>(2)运行结果:

本文实现的C#版二叉树参考代码下载:http://pan.baidu.com/s/1eQ1xmXs
参考资料(1)程杰,《大话数据结构》
(2)陈广,《数据结构(C#语言描述)》
(3)段恩泽,《数据结构(C#语言版)》
(4)杨俊明,《数据结构C#版笔记—树与二叉树》
(5)Frank Fan,《万丈高楼平地起之C#实现二叉树操作》
作者:周旭龙
出处:http://edisonchou.cnblogs.com
本文版权归作者和博客园共有,欢迎转载,但未经作者同意必须保留此段声明,且在文章页面明显位置给出原文链接。
以上就是《数据结构回顾:树与二叉树详解(上)》的详细内容,更多关于树,二叉树,遍历算法,顺序存储,链式存储的资料请关注golang学习网公众号!
人大高瓴AI团队YuLan-OneSim社会模拟器发布
- 上一篇
- 人大高瓴AI团队YuLan-OneSim社会模拟器发布
- 下一篇
- U盘启动重装Win10系统全程攻略
-
- 文章 · 软件教程 | 9分钟前 |
- Excel怎么保护公式不被看_Excel隐藏公式只显结果【安全】
- 352浏览 收藏
-
- 文章 · 软件教程 | 10分钟前 |
- Win11怎么设置默认压缩和解压工具为7-Zip_Win11上下文菜单关联配置教程【实用】
- 105浏览 收藏
-
- 文章 · 软件教程 | 15分钟前 |
- 天眼查app怎么看公司的土地抵押信息_天眼查公司土地抵押信息查看
- 292浏览 收藏
-
- 文章 · 软件教程 | 16分钟前 |
- 俄罗斯Yandex搜索引擎官网入口 Yandex免登录快速访问
- 374浏览 收藏
-
- 文章 · 软件教程 | 23分钟前 |
- 阿里巴巴app怎么查看足迹记录_阿里巴巴app浏览足迹历史查看教程【技巧】
- 301浏览 收藏
-
- 文章 · 软件教程 | 24分钟前 |
- 小红书app怎么删除笔记_小红书app删除已发笔记教程【高效】
- 191浏览 收藏
-
- 文章 · 软件教程 | 26分钟前 | 1688阿里巴巴
- 1688怎么找源头工厂货源 1688找源头工厂货源方法【技巧】
- 368浏览 收藏
-
- 文章 · 软件教程 | 28分钟前 |
- 手机版植物大战网页版入口 随时随地在线玩
- 262浏览 收藏
-
- 文章 · 软件教程 | 32分钟前 |
- 如何在 Windows 中找回 BitLocker 恢复密钥 解决磁盘加密锁定无法进入系统
- 262浏览 收藏
-
- 文章 · 软件教程 | 33分钟前 |
- Win10如何设游戏时不自懂关机_Win10游戏模式设置法【步骤】
- 439浏览 收藏
-
- 文章 · 软件教程 | 41分钟前 |
- 菁优网怎么批量下载题目_菁优网多道试题批量保存方法【高效】
- 270浏览 收藏
-
- 前端进阶之JavaScript设计模式
- 设计模式是开发人员在软件开发过程中面临一般问题时的解决方案,代表了最佳的实践。本课程的主打内容包括JS常见设计模式以及具体应用场景,打造一站式知识长龙服务,适合有JS基础的同学学习。
- 543次学习
-
- GO语言核心编程课程
- 本课程采用真实案例,全面具体可落地,从理论到实践,一步一步将GO核心编程技术、编程思想、底层实现融会贯通,使学习者贴近时代脉搏,做IT互联网时代的弄潮儿。
- 516次学习
-
- 简单聊聊mysql8与网络通信
- 如有问题加微信:Le-studyg;在课程中,我们将首先介绍MySQL8的新特性,包括性能优化、安全增强、新数据类型等,帮助学生快速熟悉MySQL8的最新功能。接着,我们将深入解析MySQL的网络通信机制,包括协议、连接管理、数据传输等,让
- 500次学习
-
- JavaScript正则表达式基础与实战
- 在任何一门编程语言中,正则表达式,都是一项重要的知识,它提供了高效的字符串匹配与捕获机制,可以极大的简化程序设计。
- 487次学习
-
- 从零制作响应式网站—Grid布局
- 本系列教程将展示从零制作一个假想的网络科技公司官网,分为导航,轮播,关于我们,成功案例,服务流程,团队介绍,数据部分,公司动态,底部信息等内容区块。网站整体采用CSSGrid布局,支持响应式,有流畅过渡和展现动画。
- 485次学习
-
- ChatExcel酷表
- ChatExcel酷表是由北京大学团队打造的Excel聊天机器人,用自然语言操控表格,简化数据处理,告别繁琐操作,提升工作效率!适用于学生、上班族及政府人员。
- 4447次使用
-
- Any绘本
- 探索Any绘本(anypicturebook.com/zh),一款开源免费的AI绘本创作工具,基于Google Gemini与Flux AI模型,让您轻松创作个性化绘本。适用于家庭、教育、创作等多种场景,零门槛,高自由度,技术透明,本地可控。
- 4802次使用
-
- 可赞AI
- 可赞AI,AI驱动的办公可视化智能工具,助您轻松实现文本与可视化元素高效转化。无论是智能文档生成、多格式文本解析,还是一键生成专业图表、脑图、知识卡片,可赞AI都能让信息处理更清晰高效。覆盖数据汇报、会议纪要、内容营销等全场景,大幅提升办公效率,降低专业门槛,是您提升工作效率的得力助手。
- 4683次使用
-
- 星月写作
- 星月写作是国内首款聚焦中文网络小说创作的AI辅助工具,解决网文作者从构思到变现的全流程痛点。AI扫榜、专属模板、全链路适配,助力新人快速上手,资深作者效率倍增。
- 6471次使用
-
- MagicLight
- MagicLight.ai是全球首款叙事驱动型AI动画视频创作平台,专注于解决从故事想法到完整动画的全流程痛点。它通过自研AI模型,保障角色、风格、场景高度一致性,让零动画经验者也能高效产出专业级叙事内容。广泛适用于独立创作者、动画工作室、教育机构及企业营销,助您轻松实现创意落地与商业化。
- 5054次使用
-
- pe系统下载好如何重装的具体教程
- 2023-05-01 501浏览
-
- qq游戏大厅怎么开启蓝钻提醒功能-qq游戏大厅开启蓝钻提醒功能教程
- 2023-04-29 501浏览
-
- 吉吉影音怎样播放网络视频 吉吉影音播放网络视频的操作步骤
- 2023-04-09 501浏览
-
- 腾讯会议怎么使用电脑音频 腾讯会议播放电脑音频的方法
- 2023-04-04 501浏览
-
- PPT制作图片滚动效果的简单方法
- 2023-04-26 501浏览

