一文详解Redis在万亿级日访问量下的中断优化
本篇文章主要是结合我之前面试的各种经历和实战开发中遇到的问题解决经验整理的,希望这篇《一文详解Redis在万亿级日访问量下的中断优化》对你有很大帮助!欢迎收藏,分享给更多的需要的朋友学习~
2017 年年初以来,随着 Redis 产品的用户量越来越大、接入服务越来越多,再加上美团点评 Memcache 和 Redis 两套缓存融合......

这导致 Redis 服务端的总体请求量从年初最开始日访问量百亿次级别上涨到高峰时段的万亿次级别,因此给运维和架构团队都带来了极大的挑战。
原本稳定的环境也因为请求量的上涨带来了很多不稳定的因素,其中一直困扰我们的就是网卡丢包问题。
起初线上存在部分 Redis 节点还在使用千兆网卡的老旧服务器,而缓存服务往往需要承载极高的查询量,并要求毫秒级的响应速度,如此一来千兆网卡很快就出现了瓶颈。
经过整治,我们将千兆网卡服务器替换为了万兆网卡服务器。本以为可以高枕无忧,但是没想到,在业务高峰时段,机器竟然也出现了丢包问题,而此时网卡带宽使用还远远没有达到瓶颈。
定位网络丢包的原因
从异常指标入手
首先,我们在系统监控的 net.if.in.dropped 指标中,看到有大量数据丢包异常,那么第一步就是要了解这个指标代表什么。

这个指标的数据源,是读取 /proc/net/dev 中的数据,监控 Agent 做简单的处理之后上报。
以下为 /proc/net/dev 的一个示例,可以看到第一行 Receive 代表 in,Transmit 代表 out,第二行即各个表头字段,再往后每一行代表一个网卡设备具体的值。

其中各个字段意义如下:

/proc/net/dev 的数据来源,根据源码文件 net/core/net-procfs.c,可以知道上述指标是通过其中的 dev_seq_show() 函数和 dev_seq_printf_stats() 函数输出的。
通过上述字段解释,我们可以了解丢包发生在网卡设备驱动层面,但是想要了解真正的原因,需要继续深入源码。
static int dev_seq_show(struct seq_file *seq, void *v) if (v == SEQ_START_TOKEN) /* 输出/proc/net/dev表头部分 */ seq_puts(seq, "Inter-| Receive " " | Transmitn" " face |bytes packets errs drop fifo frame " "compressed multicast|bytes packets errs " "drop fifo colls carrier compressedn"); else /* 输出/proc/net/dev数据部分 */ dev_seq_printf_stats(seq, v); return 0; static void dev_seq_printf_stats(struct seq_file *seq, struct net_device *dev) struct rtnl_link_stats64 temp; const struct rtnl_link_stats64 *stats = dev_get_stats(dev, &temp); /* /proc/net/dev 各个字段的数据算法 */ seq_printf(seq, "%6s: %7llu %7llu %4llu %4llu %4llu %5llu %10llu %9llu " "%8llu %7llu %4llu %4llu %4llu %5llu %7llu %10llun", dev->name, stats->rx_bytes, stats->rx_packets, stats->rx_errors, stats->rx_dropped + stats->rx_missed_errors, stats->rx_fifo_errors, stats->rx_length_errors + stats->rx_over_errors + stats->rx_crc_errors + stats->rx_frame_errors, stats->rx_compressed, stats->multicast, stats->tx_bytes, stats->tx_packets, stats->tx_errors, stats->tx_dropped, stats->tx_fifo_errors, stats->collisions, stats->tx_carrier_errors + stats->tx_aborted_errors + stats->tx_window_errors + stats->tx_heartbeat_errors, stats->tx_compressed);
dev_seq_printf_stats() 函数里,对应 drop 输出的部分,能看到由两块组成:stats->rx_dropped+stats->rx_missed_errors。
继续查找 dev_get_stats 函数可知,rx_dropped 和 rx_missed_errors 都是从设备获取的,并且需要设备驱动实现。
* dev_get_stats - get network device statistics
* @dev: device to get statistics from
* @storage: place to store stats
* Get network statistics from device. Return @storage.
* The device driver may provide its own method by setting
* dev->netdev_ops->get_stats64 or dev->netdev_ops->get_stats;
* otherwise the internal statistics structure is used.
struct rtnl_link_stats64 *dev_get_stats(struct net_device *dev,
struct rtnl_link_stats64 *storage)
const struct net_device_ops *ops = dev->netdev_ops;
if (ops->ndo_get_stats64) {
memset(storage, 0, sizeof(*storage));
ops->ndo_get_stats64(dev, storage);
} else if (ops->ndo_get_stats) {
netdev_stats_to_stats64(storage, ops->ndo_get_stats(dev));
} else {
netdev_stats_to_stats64(storage, &dev->stats);
storage->rx_dropped += (unsigned long)atomic_long_read(&dev->rx_dropped);
storage->tx_dropped += (unsigned long)atomic_long_read(&dev->tx_dropped);
storage->rx_nohandler += (unsigned long)atomic_long_read(&dev->rx_nohandler);
return storage;结构体 rtnl_link_stats64 的定义在 /usr/iude/linux/if_link.h 中:
/* The main device statistics structure */
struct rtnl_link_stats64 {
__u64 rx_packets; /* total packets received */
__u64 tx_packets; /* total packets transmitted */
__u64 rx_bytes; /* total bytes received */
__u64 tx_bytes; /* total bytes transmitted */
__u64 rx_errors; /* bad packets received */
__u64 tx_errors; /* packet transmit problems */
__u64 rx_dropped; /* no space in linux buffers */
__u64 tx_dropped; /* no space available in linux */
__u64 multicast; /* multicast packets received */
__u64 collisions;
/* detailed rx_errors: */
__u64 rx_length_errors;
__u64 rx_over_errors; /* receiver ring buff overflow */
__u64 rx_crc_errors; /* recved pkt with crc error */
__u64 rx_frame_errors; /* recv'd frame alignment error */
__u64 rx_fifo_errors; /* recv'r fifo overrun */
__u64 rx_missed_errors; /* receiver missed packet */
/* detailed tx_errors */
__u64 tx_aborted_errors;
__u64 tx_carrier_errors;
__u64 tx_fifo_errors;
__u64 tx_heartbeat_errors;
__u64 tx_window_errors;
/* for cslip etc */
__u64 rx_compressed;
__u64 tx_compressed;
};至此,我们知道 rx_dropped 是 Linux 中的缓冲区空间不足导致的丢包,而 rx_missed_errors 则在注释中写的比较笼统。
有资料指出,rx_missed_errors 是 fifo 队列(即 rx ring buffer)满而丢弃的数量,但这样的话也就和 rx_fifo_errors 等同了。
后来公司内网络内核研发大牛王伟给了我们点拨:不同网卡自己实现不一样,比如 Intel 的 igb 网卡 rx_fifo_errors 在 missed 的基础上,还加上了 RQDPC 计数,而 ixgbe 就没这个统计。
RQDPC 计数是描述符不够的计数,missed 是 fifo 满的计数。所以对于 ixgbe 来说,rx_fifo_errors 和 rx_missed_errors 确实是等同的。
通过命令 ethtool -S eth0 可以查看网卡一些统计信息,其中就包含了上文提到的几个重要指标 rx_dropped、rx_missed_errors、rx_fifo_errors 等。
但实际测试后,我发现不同网卡型号给出的指标略有不同,比如 Intel ixgbe 就能取到,而 Broadcom bnx2/tg3 则只能取到 rx_discards(对应rx_fifo_errors)、rx_fw_discards(对应 rx_dropped)。
这表明,各家网卡厂商设备内部对这些丢包的计数器、指标的定义略有不同,但通过驱动向内核提供的统计数据都封装成了 struct rtnl_link_stats64 定义的格式。
在对丢包服务器进行检查后,发现 rx_missed_errors 为 0,丢包全部来自 rx_dropped,这说明丢包发生在 Linux 内核的缓冲区中。
接下来,我们要继续探索到底是什么缓冲区引起了丢包问题,这就需要完整地了解服务器接收数据包的过程。
了解接收数据包的流程
接收数据包是一个复杂的过程,涉及很多底层的技术细节,但大致需要以下几个步骤:
网卡收到数据包。
将数据包从网卡硬件缓存转移到服务器内存中。
通知内核处理。
经过 TCP/IP 协议逐层处理。
应用程序通过 read() 从 socket buffer 读取数据。

将网卡收到的数据包转移到主机内存
NIC与驱动交互:NIC 在接收到数据包之后,首先需要将数据同步到内核中,这中间的桥梁是 rx ring buffer。它是由 NIC 和驱动程序共享的一片区域。
事实上,rx ring buffer 存储的并不是实际的 packet 数据,而是一个描述符。
这个描述符指向了它真正的存储地址,具体流程如下:
驱动在内存中分配一片缓冲区用来接收数据包,叫做 sk_buffer。
将上述缓冲区的地址和大小(即接收描述符),加入到 rx ring buffer。描述符中的缓冲区地址是 DMA 使用的物理地址。
驱动通知网卡有一个新的描述符。
网卡从 rx ring buffer 中取出描述符,从而获知缓冲区的地址和大小。
网卡收到新的数据包。
网卡将新数据包通过 DMA 直接写到 sk_buffer 中。

当驱动处理速度跟不上网卡收包速度时,驱动来不及分配缓冲区,NIC 接收到的数据包无法及时写到 sk_buffer,就会产生堆积,当 NIC 内部缓冲区写满后,就会丢弃部分数据,引起丢包。
这部分丢包为 rx_fifo_errors,在 /proc/net/dev 中体现为 fifo 字段增长,在 ifconfig 中体现为 overruns 指标增长。
通知系统内核处理
驱动与 Linux 内核交互:这个时候,数据包已经被转移到了 sk_buffer 中。
前文提到,这是驱动程序在内存中分配的一片缓冲区,并且是通过 DMA 写入的,这种方式不依赖 CPU 直接将数据写到了内存中,意味着对内核来说,其实并不知道已经有新数据到了内存中。
那么如何让内核知道有新数据进来了呢?答案就是中断,通过中断告诉内核有新数据进来了,并需要进行后续处理。
提到中断,就涉及到硬中断和软中断,首先需要简单了解一下它们的区别:
硬中断: 由硬件自己生成,具有随机性,硬中断被 CPU 接收后,触发执行中断处理程序。
中断处理程序只会处理关键性的、短时间内可以处理完的工作,剩余耗时较长工作,会放到中断之后,由软中断来完成。硬中断也被称为上半部分。
软中断: 由硬中断对应的中断处理程序生成,往往是预先在代码里实现好的,不具有随机性。(除此之外,也有应用程序触发的软中断,与本文讨论的网卡收包无关。)也被称为下半部分。
当 NIC 把数据包通过 DMA 复制到内核缓冲区 sk_buffer 后,NIC 立即发起一个硬件中断。
CPU 接收后,首先进入上半部分,网卡中断对应的中断处理程序是网卡驱动程序的一部分,之后由它发起软中断,进入下半部分,开始消费 sk_buffer 中的数据,交给内核协议栈处理。

通过中断,能够快速及时地响应网卡数据请求,但如果数据量大,那么会产生大量中断请求,CPU 大部分时间都忙于处理中断,效率很低。
为了解决这个问题,现在的内核及驱动都采用一种叫 NAPI(new API)的方式进行数据处理,其原理可以简单理解为中断+轮询,在数据量大时,一次中断后通过轮询接收一定数量包再返回,避免产生多次中断。
整个中断过程的源码部分比较复杂,并且不同驱动的厂商及版本也会存在一定的区别。
以下调用关系基于 Linux-3.10.108 及内核自带驱动 drivers/net/ethernet/intel/ixgbe:

注意到,enqueue_to_backlog 函数中,会对 CPU 的 softnet_data 实例中的接收队列(input_pkt_queue)进行判断。
如果队列中的数据长度超过 netdev_max_backlog ,那么数据包将直接丢弃,这就产生了丢包。
netdev_max_backlog 是由系统参数 net.core.netdev_max_backlog 指定的,默认大小是 1000。
* enqueue_to_backlog is called to queue an skb to a per CPU backlog
* queue (may be a remote CPU queue).
static int enqueue_to_backlog(struct sk_buff *skb, int cpu,
unsigned int *qtail)
struct softnet_data *sd;
unsigned long flags;
sd = &per_cpu(softnet_data, cpu);
local_irq_save(flags);
rps_lock(sd);
/* 判断接收队列是否满,队列长度为 netdev_max_backlog */
if (skb_queue_len(&sd->input_pkt_queue) input_pkt_queue)) {
enqueue:
__skb_queue_tail(&sd->input_pkt_queue, skb);
input_queue_tail_incr_save(sd, qtail);
rps_unlock(sd);
local_irq_restore(flags);
return NET_RX_SUCCESS;
/* Schedule NAPI for backlog device
* We can use non atomic operation since we own the queue lock
/* 队列如果为空,回到 ____napi_schedule加入poll_list轮询部分,并重新发起软中断 */
if (!__test_and_set_bit(NAPI_STATE_SCHED, &sd->backlog.state)) {
if (!rps_ipi_queued(sd))
____napi_schedule(sd, &sd->backlog);
goto enqueue;
/* 队列满则直接丢弃,对应计数器 +1 */
sd->dropped++;
rps_unlock(sd);
local_irq_restore(flags);
atomic_long_inc(&skb->dev->rx_dropped);
kfree_skb(skb);
return NET_RX_DROP;内核会为每个 CPU Core 都实例化一个 softnet_data 对象,这个对象中的 input_pkt_queue 用于管理接收的数据包。
假如所有的中断都由一个 CPU Core 来处理的话,那么所有数据包只能经由这个 CPU 的 input_pkt_queue。
如果接收的数据包数量非常大,超过中断处理速度,那么 input_pkt_queue 中的数据包就会堆积,直至超过 netdev_max_backlog,引起丢包。
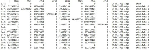
这部分丢包可以在 cat /proc/net/softnet_stat 的输出结果中进行确认:

其中每行代表一个 CPU,第一列是中断处理程序接收的帧数,第二列是由于超过 netdev_max_backlog 而丢弃的帧数。
第三列则是在 net_rx_action 函数中处理数据包超过 netdev_budget 指定数量或运行时间超过 2 个时间片的次数。
在检查线上服务器之后,发现第一行 CPU。硬中断的中断号及统计数据可以在 /proc/interrupts 中看到。
对于多队列网卡,当系统启动并加载 NIC 设备驱动程序模块时,每个 RXTX 队列会被初始化分配一个唯一的中断向量号,它通知中断处理程序该中断来自哪个 NIC 队列。
在默认情况下,所有队列的硬中断都由 CPU 0 处理,因此对应的软中断逻辑也会在 CPU 0 上处理,在服务器 TOP 的输出中,也可以观察到 %si 软中断部分,CPU 0 的占比比其他 Core 高出一截。
到这里其实有存在一个疑惑,我们线上服务器的内核版本及网卡都支持 NAPI。
而 NAPI 的处理逻辑是不会走到 enqueue_to_backlog 中的,enqueue_to_backlog 主要是非 NAPI 的处理流程中使用的。
对此,我们觉得可能和当前使用的 Docker 架构有关,事实上,我们通过 net.if.dropped 指标获取到的丢包,都发生在 Docker 虚拟网卡上,而非宿主机物理网卡上。
因此很可能是 Docker 虚拟网桥转发数据包之后,虚拟网卡层面产生的丢包,这里由于涉及虚拟化部分,就不进一步分析了。
驱动及内核处理过程中的几个重要函数:
(1) 注册中断号及中断处理程序,根据网卡是否支持 MSI/MSIX,结果为:MSIX → ixgbe_msix_clean_rings,MSI → ixgbe_intr,都不支持 → ixgbe_intr。
* 文件:ixgbe_main.c
* ixgbe_request_irq - initialize interrupts
* @adapter: board private structure
* Attempts to configure interrupts using the best available
* capabilities of the hardware and kernel.
static int ixgbe_request_irq(struct ixgbe_adapter *adapter)
struct net_device *netdev = adapter->netdev;
int err;
/* 支持MSIX,调用 ixgbe_request_msix_irqs 设置中断处理程序*/
if (adapter->flags & IXGBE_FLAG_MSIX_ENABLED)
err = ixgbe_request_msix_irqs(adapter);
/* 支持MSI,直接设置 ixgbe_intr 为中断处理程序 */
else if (adapter->flags & IXGBE_FLAG_MSI_ENABLED)
err = request_irq(adapter->pdev->irq, &ixgbe_intr, 0,
netdev->name, adapter);
/* 都不支持的情况,直接设置 ixgbe_intr 为中断处理程序 */
else
err = request_irq(adapter->pdev->irq, &ixgbe_intr, IRQF_SHARED,
netdev->name, adapter);
if (err)
e_err(probe, "request_irq failed, Error %dn", err);
return err;
* 文件:ixgbe_main.c
* ixgbe_request_msix_irqs - Initialize MSI-X interrupts
* @adapter: board private structure
* ixgbe_request_msix_irqs allocates MSI-X vectors and requests
* interrupts from the kernel.
static int (struct ixgbe_adapter *adapter)
…
for (vector = 0; vector num_q_vectors; vector++) {
struct ixgbe_q_vector *q_vector = adapter->q_vector[vector];
struct msix_entry *entry = &adapter->msix_entries[vector];
/* 设置中断处理入口函数为 ixgbe_msix_clean_rings */
err = request_irq(entry->vector, &ixgbe_msix_clean_rings, 0,
q_vector->name, q_vector);
if (err) {
e_err(probe, "request_irq failed for MSIX interrupt '%s' "
"Error: %dn", q_vector->name, err);
goto free_queue_irqs;
…(2) 线上的多队列网卡均支持 MSIX,中断处理程序入口为:ixgbe_msix_clean_rings,里面调用了函数 napi_schedule(&q_vector->napi)。
* 文件:ixgbe_main.c static irqreturn_t ixgbe_msix_clean_rings(int irq, void *data) struct ixgbe_q_vector *q_vector = data; /* EIAM disabled interrupts (on this vector) for us */ if (q_vector->rx.ring || q_vector->tx.ring) napi_schedule(&q_vector->napi); return IRQ_HANDLED;
(3) 之后经过一些列调用,直到发起名为 NET_RX_SOFTIRQ 的软中断。到这里完成了硬中断部分,进入软中断部分,同时也上升到了内核层面。
* 文件:include/linux/netdevice.h * napi_schedule - schedule NAPI poll * @n: NAPI context * Schedule NAPI poll routine to be called if it is not already * running. static inline void napi_schedule(struct napi_struct *n) if (napi_schedule_prep(n)) __napi_schedule(n); * 文件:net/core/dev.c * __napi_schedule - schedule for receive * @n: entry to schedule * The entry's receive function will be scheduled to run. * Consider using __napi_schedule_irqoff() if hard irqs are masked. void __napi_schedule(struct napi_struct *n) unsigned long flags; /* local_irq_save用来保存中断状态,并禁止中断 */ local_irq_save(flags); /* 注意下面调用的这个函数名字前是四个下划线,传入的 softnet_data 是当前CPU */ ____napi_schedule(this_cpu_ptr(&softnet_data), n); local_irq_restore(flags); /* Called with irq disabled */ static inline void ____napi_schedule(struct softnet_data *sd, struct napi_struct *napi) /* 将 napi_struct 加入 softnet_data 的 poll_list */ list_add_tail(&napi->poll_list, &sd->poll_list); /* 发起软中断 NET_RX_SOFTIRQ */ __raise_softirq_irqoff(NET_RX_SOFTIRQ);
(4) NET_RX_SOFTIRQ 对应的软中断处理程序接口是 net_rx_action()。
* 文件:net/core/dev.c * Initialize the DEV module. At boot time this walks the device list and * unhooks any devices that fail to initialise (normally hardware not * present) and leaves us with a valid list of present and active devices. * This is called single threaded during boot, so no need * to take the rtnl semaphore. static int __init net_dev_init(void) … /* 分别注册TX和RX软中断的处理程序 */ open_softirq(NET_TX_SOFTIRQ, net_tx_action); open_softirq(NET_RX_SOFTIRQ, net_rx_action); …
(5) net_rx_action 功能就是轮询调用 poll 方法,这里就是 ixgbe_poll。
一次轮询的数据包数量不能超过内核参数 net.core.netdev_budget 指定的数量(默认值 300),并且轮询时间不能超过 2 个时间片。这个机制保证了单次软中断处理不会耗时太久影响被中断的程序。
/* 文件:net/core/dev.c */
static void net_rx_action(struct softirq_action *h)
struct softnet_data *sd = &__get_cpu_var(softnet_data);
unsigned long time_limit = jiffies + 2;
int budget = netdev_budget;
void *have;
local_irq_disable();
while (!list_empty(&sd->poll_list)) {
struct napi_struct *n;
int work, weight;
/* If softirq window is exhuasted then punt.
* Allow this to run for 2 jiffies since which will allow
* an average latency of 1.5/HZ.
/* 判断处理包数是否超过 netdev_budget 及时间是否超过2个时间片 */
if (unlikely(budget poll()
* calls can remove this head entry from the list.
n = list_first_entry(&sd->poll_list, struct napi_struct, poll_list);
have = netpoll_poll_lock(n);
weight = n->weight;
/* This NAPI_STATE_SCHED test is for avoiding a race
* with netpoll's poll_napi(). Only the entity which
* obtains the lock and sees NAPI_STATE_SCHED set will
* actually make the ->poll() call. Therefore we avoid
* accidentally calling ->poll() when NAPI is not scheduled.
work = 0;
if (test_bit(NAPI_STATE_SCHED, &n->state)) {
work = n->poll(n, weight);
trace_napi_poll(n);
……(6) ixgbe_poll 之后的一系列调用就不一一详述了,有兴趣的同学可以自行研究,软中断部分有几个地方会有类似 if (static_key_false(&rps_needed))这样的判断,会进入前文所述有丢包风险的 enqueue_to_backlog 函数。
这里的逻辑为判断是否启用了 RPS 机制,RPS 是早期单队列网卡上将软中断负载均衡到多个 CPU Core 的技术,它对数据流进行 hash 并分配到对应的 CPU Core 上,发挥多核的性能。
不过现在基本都是多队列网卡,不会开启这个机制,因此走不到这里,static_key_false 是针对默认为 false 的 static key 的优化判断方式。
这段调用的最后,deliver_skb 会将接收的数据传入一个 IP 层的数据结构中,至此完成二层的全部处理。
* netif_receive_skb - process receive buffer from network
* @skb: buffer to process
* netif_receive_skb() is the main receive data processing function.
* It always succeeds. The buffer may be dropped during processing
* for congestion control or by the protocol layers.
* This function may only be called from softirq context and interrupts
* should be enabled.
* Return values (usually ignored):
* NET_RX_SUCCESS: no congestion
* NET_RX_DROP: packet was dropped
int netif_receive_skb(struct sk_buff *skb)
int ret;
net_timestamp_check(netdev_tstamp_prequeue, skb);
if (skb_defer_rx_timestamp(skb))
return NET_RX_SUCCESS;
rcu_read_lock();
#ifdef CONFIG_RPS
/* 判断是否启用RPS机制 */
if (static_key_false(&rps_needed)) {
struct rps_dev_flow voidflow, *rflow = &voidflow;
/* 获取对应的CPU Core */
int cpu = get_rps_cpu(skb->dev, skb, &rflow);
if (cpu >= 0) {
ret = enqueue_to_backlog(skb, cpu, &rflow->last_qtail);
rcu_read_unlock();
return ret;
#endif
ret = __netif_receive_skb(skb);
rcu_read_unlock();
return ret;TCP/IP 协议栈
TCP/IP 协议栈逐层处理,最终交给用户空间读取,数据包进到 IP 层之后,经过 IP 层、TCP 层处理(校验、解析上层协议,发送给上层协议),放入 socket buffer。
在应用程序执行 read() 系统调用时,就能从 socket buffer 中将新数据从内核区拷贝到用户区,完成读取。
这里的 socket buffer 大小即 TCP 接收窗口,TCP 由于具备流量控制功能,能动态调整接收窗口大小,因此数据传输阶段不会出现由于 socket buffer 接收队列空间不足而丢包的情况(但 UDP 及 TCP 握手阶段仍会有)。
涉及 TCP/IP 协议的部分不是此次丢包问题的研究重点,因此这里不再赘述。
网卡队列
查看网卡型号
# lspci -vvv | grep Eth
01:00.0 Ethernet controller: Intel Corporation Ethernet Controller 10-Gigabit X540-AT2 (rev 03)
Subsystem: Dell Ethernet 10G 4P X540/I350 rNDC
01:00.1 Ethernet controller: Intel Corporation Ethernet Controller 10-Gigabit X540-AT2 (rev 03)
Subsystem: Dell Ethernet 10G 4P X540/I350 rNDC
# lspci -vvv
07:00.0 Ethernet controller: Intel Corporation I350 Gigabit Network Connection (rev 01)
Subsystem: Dell Gigabit 4P X540/I350 rNDC
Control: I/O- Mem+ BusMaster+ SpecCycle- MemWINV- VGASnoop- ParErr- Stepping- SERR- FastB2B- DisINTx+
Status: Cap+ 66MHz- UDF- FastB2B- ParErr- DEVSEL=fast >TAbort- <tabort->SERR- <perr-><p></p><p>可以看出,网卡的中断机制是 MSI-X,即网卡的每个队列都可以分配中断(MSI-X 支持 2048 个中断)。</p><p><strong>网卡队列</strong></p><p></p><pre class="brush:sql;toolbar:false;"> #define IXGBE_MAX_MSIX_VECTORS_82599 0x40
u16 ixgbe_get_pcie_msix_count_generic(struct ixgbe_hw *hw)
u16 msix_count;
u16 max_msix_count;
u16 pcie_offset;
switch (hw->mac.type) {
case ixgbe_mac_82598EB:
pcie_offset = IXGBE_PCIE_MSIX_82598_CAPS;
max_msix_count = IXGBE_MAX_MSIX_VECTORS_82598;
break;
case ixgbe_mac_82599EB:
case ixgbe_mac_X540:
case ixgbe_mac_X550:
case ixgbe_mac_X550EM_x:
case ixgbe_mac_x550em_a:
pcie_offset = IXGBE_PCIE_MSIX_82599_CAPS;
max_msix_count = IXGBE_MAX_MSIX_VECTORS_82599;
break;
default:
return 1;根据网卡型号确定驱动中定义的网卡队列,可以看到 X540 网卡驱动中定义最大支持的 IRQ Vector 为 0x40(数值:64)。
static int ixgbe_acquire_msix_vectors(struct ixgbe_adapter *adapter) struct ixgbe_hw *hw = &adapter->hw; int i, vectors, vector_threshold; /* We start by asking for one vector per queue pair with XDP queues * being stacked with TX queues. vectors = max(adapter->num_rx_queues, adapter->num_tx_queues); vectors = max(vectors, adapter->num_xdp_queues); /* It is easy to be greedy for MSI-X vectors. However, it really * doesn't do much good if we have a lot more vectors than CPUs. We'll * be somewhat conservative and only ask for (roughly) the same number * of vectors as there are CPUs. vectors = min_t(int, vectors, num_online_cpus());
通过加载网卡驱动,获取网卡型号和网卡硬件的队列数;但是在初始化 misx vector 的时候,还会结合系统在线 CPU 的数量,通过 Sum = Min(网卡队列,CPU Core) 来激活相应的网卡队列数量,并申请 Sum 个中断号。
如果 CPU 数量小于 64,会生成 CPU 数量的队列,也就是每个 CPU 会产生一个 external IRQ。
我们线上的 CPU 一般是 48 个逻辑 Core,就会生成 48 个中断号,由于我们是两块网卡做了 bond,也就会生成 96 个中断号。
验证与复现网络丢包
通过霸爷的一篇文章,我们在测试环境做了测试,发现测试环境的中断确实有集中在 CPU 0 的情况。
下面使用 systemtap 诊断测试环境软中断分布的方法:
global hard, soft, wq
probe irq_handler.entry {
hard[irq, dev_name]++;
probe timer.s(1) {
println("==irq number:dev_name")
foreach( [irq, dev_name] in hard- limit 5) {
printf("%d,%s->%dn", irq, kernel_string(dev_name), hard[irq, dev_name]);
println("==softirq cpu:h:vec:action")
foreach( [c,h,vec,action] in soft- limit 5) {
printf("%d:%x:%x:%s->%dn", c, h, vec, symdata(action), soft[c,h,vec,action]);
println("==workqueue wq_thread:work_func")
foreach( [wq_thread,work_func] in wq- limit 5) {
printf("%x:%x->%dn", wq_thread, work_func, wq[wq_thread, work_func]);
println("n")
delete hard
delete soft
delete wq
probe softirq.entry {
soft[cpu(), h,vec,action]++;
probe workqueue.execute {
wq[wq_thread, work_func]++
probe begin {
println("~")下面执行 i.stap 的结果:
==irq number:dev_name 87,eth0-0->1693 90,eth0-3->1263 95,eth1-3->746 92,eth1-0->703 89,eth0-2->654 ==softirq cpu:h:vec:action 0:ffffffff81a83098:ffffffff81a83080:0xffffffff81461a00->8928 0:ffffffff81a83088:ffffffff81a83080:0xffffffff81084940->626 0:ffffffff81a830c8:ffffffff81a83080:0xffffffff810ecd70->614 16:ffffffff81a83088:ffffffff81a83080:0xffffffff81084940->225 16:ffffffff81a830c8:ffffffff81a83080:0xffffffff810ecd70->224 ==workqueue wq_thread:work_func ffff88083062aae0:ffffffffa01c53d0->10 ffff88083062aae0:ffffffffa01ca8f0->10 ffff88083420a080:ffffffff81142160->2 ffff8808343fe040:ffffffff8127c9d0->2 ffff880834282ae0:ffffffff8133bd20->1
下面是 action 对应的符号信息:
addr2line -e /usr/lib/debug/lib/modules/2.6.32-431.20.3.el6.mt20161028.x86_64/vmlinux ffffffff81461a00 /usr/src/debug/kernel-2.6.32-431.20.3.el6/linux-2.6.32-431.20.3.el6.mt20161028.x86_64/net/core/dev.c:4013
打开这个文件,我们发现它是在执行 static void net_rx_action(struct softirq_action *h)这个函数,而这个函数正是前文提到的,NET_RX_SOFTIRQ 对应的软中断处理程序。
因此可以确认网卡的软中断在机器上分布非常不均,而且主要集中在 CPU 0 上。
通过 /proc/interrupts 能确认硬中断集中在 CPU 0 上,因此软中断也都由 CPU 0 处理,如何优化网卡的中断成为了我们关注的重点。
优化策略
CPU 亲缘性
前文提到,丢包是因为队列中的数据包超过了 netdev_max_backlog 造成了丢弃,因此首先想到是临时调大 netdev_max_backlog 能否解决燃眉之急。
事实证明,对于轻微丢包调大参数可以缓解丢包,但对于大量丢包则几乎不怎么管用。
内核处理速度跟不上收包速度的问题还是客观存在,本质还是因为单核处理中断有瓶颈,即使不丢包,服务响应速度也会变慢。
因此如果能同时使用多个 CPU Core 来处理中断,就能显著提高中断处理的效率,并且每个 CPU 都会实例化一个 softnet_data 对象,队列数也增加了。
中断亲缘性设置
通过设置中断亲缘性,可以让指定的中断向量号更倾向于发送给指定的 CPU Core 来处理,俗称“绑核”。
命令 grep eth /proc/interrupts 的第一列可以获取网卡的中断号,如果是多队列网卡,那么就会有多行输出:

中断的亲缘性设置可以在 cat /proc/irq/${中断号}/smp_affinity 或 cat /proc/irq/${中断号}/smp_affinity_list 中确认,前者是 16 进制掩码形式,后者是以 CPU Core 序号形式。
例如下图中,将 16 进制的 400 转换成 2 进制后,为 10000000000,“1”在第 10 位上,表示亲缘性是第 10 个 CPU Core。
那为什么中断号只设置一个 CPU Core 呢?而不是为每一个中断号设置多个 CPU Core 平行处理。

我们经过测试,发现当给中断设置了多个 CPU Core 后,它也仅能由设置的第一个 CPU Core 来处理,其他的 CPU Core 并不会参与中断处理。
原因猜想是当 CPU 可以平行收包时,不同的核收取了同一个 queue 的数据包,但处理速度不一致,导致提交到 IP 层后的顺序也不一致,这就会产生乱序的问题,由同一个核来处理可以避免乱序问题。
但是,当我们配置了多个 Core 处理中断后,发现 Redis 的慢查询数量有明显上升,甚至部分业务也受到了影响,慢查询增多直接导致可用性降低,因此方案仍需进一步优化。

Redis 进程亲缘性设置
如果某个 CPU Core 正在处理 Redis 的调用,执行到一半时产生了中断,那么 CPU 不得不停止当前的工作转而处理中断请求。
中断期间 Redis 也无法转交给其他 Core 继续运行,必须等处理完中断后才能继续运行。
Redis 本身定位就是高速缓存,线上的平均端到端响应时间小于 1ms,如果频繁被中断,那么响应时间必然受到极大影响。
容易想到,由最初的 CPU 0 单核处理中断,改进到多核处理中断,Redis 进程被中断影响的几率增大了,因此我们需要对 Redis 进程也设置 CPU 亲缘性,使其与处理中断的 Core 互相错开,避免受到影响。
使用命令 taskset 可以为进程设置 CPU 亲缘性,操作十分简单,一句 taskset -cp cpu-list pid 即可完成绑定。
经过一番压测,我们发现使用 8 个 Core 处理中断时,流量直至打满双万兆网卡也不会出现丢包,因此决定将中断的亲缘性设置为物理机上前 8 个 Core,Redis 进程的亲缘性设置为剩下的所有 Core。
调整后,确实有明显的效果,慢查询数量大幅优化,但对比初始情况,仍然还是高了一些些,还有没有优化空间呢?

通过观察,我们发现一个有趣的现象,当只有 CPU 0 处理中断时,Redis 进程更倾向于运行在 CPU 0,以及 CPU 0 同一物理 CPU 下的其他核上。
于是有了以下推测:我们设置的中断亲缘性,是直接选取了前 8 个核心,但这 8 个 Core 却可能是来自两块物理 CPU 的。
在 /proc/cpuinfo 中,通过字段 processor 和 physical id 能确认这一点,那么响应慢是否和物理 CPU 有关呢?
物理 CPU 又和 NUMA 架构关联,每个物理 CPU 对应一个 NUMA node,那么接下来就要从 NUMA 角度进行分析。

NUMA
SMP 架构
随着单核 CPU 的频率在制造工艺上的瓶颈,CPU 制造商的发展方向也由纵向变为横向:从 CPU 频率转为每瓦性能。CPU 也就从单核频率时代过渡到多核性能协调。
SMP(对称多处理结构):即 CPU 共享所有资源,例如总线、内存、IO 等。
SMP 结构:一个物理 CPU 可以有多个物理 Core,每个 Core 又可以有多个硬件线程。
即:每个 HT 有一个独立的 L1 cache,同一个 Core 下的 HT 共享 L2 cache,同一个物理 CPU 下的多个 Core 共享 L3 cache。
下图(摘自内核月谈)中,一个 x86 CPU 有 4 个物理 Core,每个 Core 有两个 HT(Hyper Thread):

NUMA 架构
在前面的 FSB(前端系统总线)结构中,当 CPU 不断增长的情况下,共享的系统总线就会因为资源竞争(多核争抢总线资源以访问北桥上的内存)而出现扩展和性能问题。
在这样的背景下,基于 SMP 架构上的优化,设计出了 NUMA(Non-Uniform Memory Access)—— 非均匀内存访问。
内存控制器芯片被集成到处理器内部,多个处理器通过 QPI 链路相连,DRAM 也就有了远近之分。(如下图所示:摘自 CPU Cache)
CPU 多层 Cache 的性能差异是很巨大的,比如:L1 的访问时长 1ns,L2 的时长 3ns…跨 Node 的访问会有几十甚至上百倍的性能损耗。

NUMA 架构下的中断优化
这时我们再回归到中断的问题上,当两个 NUMA 节点处理中断时,CPU 实例化的 softnet_data 以及驱动分配的 sk_buffer 都可能是跨 Node 的。
数据接收后对上层应用 Redis 来说,跨 Node 访问的几率也大大提高,并且无法充分利用 L2、L3 cache,增加了延时。
同时,由于 Linux wake affinity 特性,如果两个进程频繁互动,调度系统会觉得它们很有可能共享同样的数据,把它们放到同一 CPU 核心或 NUMA Node 有助于提高缓存和内存的访问性能。
所以当一个进程唤醒另一个的时候,被唤醒的进程可能会被放到相同的 CPU Core 或者相同的 NUMA 节点上。
此特性对中断唤醒进程时也起作用,在上一节所述的现象中,所有的网络中断都分配给 CPU 0 去处理。
当中断处理完成时,由于 wakeup affinity 特性的作用,所唤醒的用户进程也被安排给 CPU 0 或其所在的 NUMA 节点上其他 Core。
而当两个 NUMA Node 处理中断时,这种调度特性有可能导致 Redis 进程在 CPU Core 之间频繁迁移,造成性能损失。
综合上述,将中断都分配在同一 NUMA Node 中,中断处理函数和应用程序充分利用同 NUMA 下的 L2、L3 缓存、以及同 Node 下的内存,结合调度系统的 wake affinity 特性,能够更进一步降低延迟。

参考文档:
1、Intel官方文档:
https://communities.intel.com/community/tech/wired/blog/2009/11/04/how-the-kitchen-sink-and-statistics-explain-and-treat-dropped-packets
2、Red Hat官方文档:
https://access.redhat.com/sites/default/files/attachments/20150325_network_performance_tuning.pdf

今天带大家了解了服务器、Redis、优化的相关知识,希望对你有所帮助;关于数据库的技术知识我们会一点点深入介绍,欢迎大家关注golang学习网公众号,一起学习编程~
一文搞定Redis高可用特性“持久化”
- 上一篇
- 一文搞定Redis高可用特性“持久化”
- 下一篇
- Redis快?深入解析Redis内存模型
-
- 数据库 · Redis | 4小时前 |
- 关闭Redis自动配置,彻底禁用AutoConfiguration方法
- 227浏览 收藏
-
- 数据库 · Redis | 8小时前 |
- RedisSentinel自动故障转移配置全解析
- 166浏览 收藏
-
- 数据库 · Redis | 11小时前 |
- Redis监控关键影响因素解析
- 381浏览 收藏
-
- 数据库 · Redis | 1天前 |
- Redis集群部署难?Cluster模式轻松实现分片与高可用
- 342浏览 收藏
-
- 数据库 · Redis | 2天前 |
- Redis持久化难题:分片与策略如何协同?
- 494浏览 收藏
-
- 数据库 · Redis | 2天前 |
- Redis发布订阅报警系统是否可靠?
- 227浏览 收藏
-
- 数据库 · Redis | 2天前 |
- RedisBGSAVE防淘汰,COW与内存冗余解析
- 360浏览 收藏
-
- 数据库 · Redis | 2天前 |
- Redis大Key拆分方法:降低同步带宽压力
- 137浏览 收藏
-
- 数据库 · Redis | 2天前 |
- Redis高并发防缓存雪崩方法
- 213浏览 收藏
-
- 数据库 · Redis | 3天前 |
- Redis主从断连原因及tcp-keepalive设置
- 272浏览 收藏
-
- 数据库 · Redis | 3天前 |
- Redis缓存穿透怎么解决?
- 158浏览 收藏
-
- 数据库 · Redis | 3天前 |
- Redis持久化触发机制详解
- 265浏览 收藏
-
- 前端进阶之JavaScript设计模式
- 设计模式是开发人员在软件开发过程中面临一般问题时的解决方案,代表了最佳的实践。本课程的主打内容包括JS常见设计模式以及具体应用场景,打造一站式知识长龙服务,适合有JS基础的同学学习。
- 543次学习
-
- GO语言核心编程课程
- 本课程采用真实案例,全面具体可落地,从理论到实践,一步一步将GO核心编程技术、编程思想、底层实现融会贯通,使学习者贴近时代脉搏,做IT互联网时代的弄潮儿。
- 516次学习
-
- 简单聊聊mysql8与网络通信
- 如有问题加微信:Le-studyg;在课程中,我们将首先介绍MySQL8的新特性,包括性能优化、安全增强、新数据类型等,帮助学生快速熟悉MySQL8的最新功能。接着,我们将深入解析MySQL的网络通信机制,包括协议、连接管理、数据传输等,让
- 500次学习
-
- JavaScript正则表达式基础与实战
- 在任何一门编程语言中,正则表达式,都是一项重要的知识,它提供了高效的字符串匹配与捕获机制,可以极大的简化程序设计。
- 487次学习
-
- 从零制作响应式网站—Grid布局
- 本系列教程将展示从零制作一个假想的网络科技公司官网,分为导航,轮播,关于我们,成功案例,服务流程,团队介绍,数据部分,公司动态,底部信息等内容区块。网站整体采用CSSGrid布局,支持响应式,有流畅过渡和展现动画。
- 485次学习
-
- ChatExcel酷表
- ChatExcel酷表是由北京大学团队打造的Excel聊天机器人,用自然语言操控表格,简化数据处理,告别繁琐操作,提升工作效率!适用于学生、上班族及政府人员。
- 4487次使用
-
- Any绘本
- 探索Any绘本(anypicturebook.com/zh),一款开源免费的AI绘本创作工具,基于Google Gemini与Flux AI模型,让您轻松创作个性化绘本。适用于家庭、教育、创作等多种场景,零门槛,高自由度,技术透明,本地可控。
- 4833次使用
-
- 可赞AI
- 可赞AI,AI驱动的办公可视化智能工具,助您轻松实现文本与可视化元素高效转化。无论是智能文档生成、多格式文本解析,还是一键生成专业图表、脑图、知识卡片,可赞AI都能让信息处理更清晰高效。覆盖数据汇报、会议纪要、内容营销等全场景,大幅提升办公效率,降低专业门槛,是您提升工作效率的得力助手。
- 4713次使用
-
- 星月写作
- 星月写作是国内首款聚焦中文网络小说创作的AI辅助工具,解决网文作者从构思到变现的全流程痛点。AI扫榜、专属模板、全链路适配,助力新人快速上手,资深作者效率倍增。
- 6536次使用
-
- MagicLight
- MagicLight.ai是全球首款叙事驱动型AI动画视频创作平台,专注于解决从故事想法到完整动画的全流程痛点。它通过自研AI模型,保障角色、风格、场景高度一致性,让零动画经验者也能高效产出专业级叙事内容。广泛适用于独立创作者、动画工作室、教育机构及企业营销,助您轻松实现创意落地与商业化。
- 5080次使用
-
- Golang 编写Tcp服务器的解决方案
- 2022-12-26 102浏览
-
- 分享Redis高可用架构设计实践
- 2023-01-24 286浏览
-
- Go与Redis实现分布式互斥锁和红锁
- 2022-12-22 117浏览
-
- Redis的各项功能解决了哪些问题?
- 2023-02-18 185浏览
-
- Go+Redis实现延迟队列实操
- 2023-02-23 426浏览

