vivo新专利教你轻松切换网络,这波操作太秀了!
vivo最新获授权的“切换方法、装置和网络侧设备”专利,教你轻松切换网络!该专利通过原基站与目标基站的信息交互,以及信号放大器的重配置,旨在优化无线通信过程中的网络切换体验。此外,飞芯电子在像素电路方面也取得新进展,其“一种像素电路,图像传感器及探测装置”专利,通过优化电路设计,提升图像传感器的性能。不仅如此,大连理工大学团队在β-Ga₂O₃薄膜研究中取得突破,发现提升晶体质量能增强其光电突触可塑性,为新型光电器件的开发提供新思路。清华大学牵头的稀土回收项目,以及北理工在准晶超导机理方面的研究,均展现了国内科研力量在不同领域的创新活力。
- vivo“切换方法、装置和网络侧设备”专利获授权
天眼查数据显示,维沃移动通信有限公司近期获得了一项名为“切换方法、装置和网络侧设备”的专利授权,授权公告号为CN115396963B,授权公告日期为2025年3月14日,最早申请日期为2021年5月25日。

这项专利涉及无线通信技术领域,具体而言是一种切换方法、装置和网络侧设备。其实现方式包括:原基站向目标基站发送含有信号放大器上下文信息的切换请求;接收目标基站返回的切换响应,该响应携带由目标基站根据上下文信息确定的第一重配置信息;随后,原基站向信号放大器发送切换命令,该命令包含基于第一重配置信息确定的第二重配置信息。
- 飞芯电子“一种像素电路,图像传感器及探测装置”专利获授权
天眼查显示,宁波飞芯电子科技有限公司近日获得了一项名为“一种像素电路,图像传感器及探测装置”的专利授权,授权公告号为CN115308756B,授权公告日为2025年2月14日,申请日为2021年5月7日。

这项专利公开了一种像素电路,其特征在于,该电路包括光电转换单元、多个传输门、多个浮动扩散电容以及多个复位晶体管。光电转换单元接收光信号并转换为电信号,传输门控制电信号传输,浮动扩散电容存储电信号,复位晶体管则用于复位浮动扩散电容。每组浮动扩散电容与传输门、复位晶体管的耦合电容相等。
- 大连理工大学团队:通过提高晶体质量增强 β-Ga₂O₃ 薄膜的光电突触可塑性
大连理工大学集成电路学院梁红伟教授和常玉春教授的研究团队在《Journal of Alloys and Compounds》上发表了题为《通过提高晶体质量增强 β-Ga₂O₃ 薄膜的光电突触可塑性》的文章。该研究获得了多项基金的支持,包括辽宁省自然科学基金联合基金(博士科研启动项目,编号2023-BSBA-028)、中央高校基本科研业务费(编号DUT -24BS008)、广东省基础与应用基础研究基金(编号2023-A1515110064)、国家重点研发计划(编号2023YFB4503003)、国家自然科学基金(编号62304030 和 62104024)以及2022年工业强基工程与制造业高质量发展专项(编号TC220A04A-49)。
传统观点认为Ga₂O₃材料的光电突触可塑性源于氧空位等缺陷,因此高结晶质量通常被认为是不利因素。然而,该研究发现,通过提升β-Ga₂O₃异质外延薄膜的晶体质量,能够显著增强光电突触器件的突触可塑性,恢复时间从0.22秒延长至3.05秒。进一步使用更高质量的同质外延制备器件后,恢复时间延长至40秒以上。此外,该器件展现了多级存储、短时记忆(STM)和长时记忆(LTM)等功能,并在1-10V电压范围内表现出了优异的稳定性,具备模拟人眼虹膜功能的潜力,同时能在高温(630K)下正常工作。研究人员认为,这些高质量β-Ga₂O₃薄膜的突触可塑性来源于其固有的间接带隙特性。
研究亮点:
- 提升晶体质量可以增强β-Ga₂O₃薄膜的突触可塑性;
- 优化后的器件展现多级存储、STM与LTM等功能;
- 该器件表现出优异的电压稳定性和高温可工作性。
总结: 这项研究揭示了氧空位并非β-Ga₂O₃材料突触可塑性的唯一因素,其固有的间接带隙结构同样起重要作用。基于高质量β-Ga₂O₃薄膜的光电突触器件具有良好的电压稳定性和高温工作能力。这项研究深化了对β-Ga₂O₃基SBUV器件的理解,并为其设计与开发提供了重要参考。
图1:(a)S1的XRD 2θ-ω扫描谱;(b)S1-S4的(-201)反射面的XRD摇摆曲线;(c)S1-S4的透射光谱
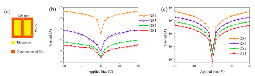
图2:(a)在β-Ga₂O₃异质外延薄膜上制作的器件示意图;(b)DS1-DS4的Idark;(c)DS1-DS4的I254
- 清华大学牵头的“稀土磁材工业废料绿色生物回收与资源高值循环利用技术”完成成果评价
清华新闻网5月26日报道,5月18日,中国稀土学会与中国稀土行业协会联合组织对清华大学牵头的“稀土磁材工业废料绿色生物回收与资源高值循环利用技术”项目进行了科技成果评价。该项目由清华大学化学系刘凯教授和张洪杰院士团队牵头,联合北京镧系生物科技有限公司、国创新材(北京)稀土新材料技术创新中心有限公司、内蒙古北方稀土新材料技术创新有限公司和安泰科技股份有限公司共同完成。
成果评价专家委员会由11位稀土、合成生物学等学科交叉领域的院士专家组成,包括中国钢研副总工程师李卫院士、天津大学合成生物技术全国重点实验室主任元英进院士、中国科学院化学研究所李玉良院士等。会议由中国稀土学会理事长李波主持。
专家委员会按照科技成果评价标准及程序,进行了现场汇报、答辩、资料审查、质询讨论以及实地考察工艺流程和产品的环节。最终,评价委员会一致认为,该成果是一项合成生物学驱动的低能耗、低污染、高效率稀土资源循环高值化利用技术,处于国际领先水平,符合我国稀土资源可持续发展战略和生物制造产业的重点发展方向,建议国家积极推动其产业化应用。
成果评价会现场
- 北理工团队在准晶超导机理领域取得重要进展
近日,北京理工大学物理学院杨帆教授、刘录副研究员团队与中国科学院物理研究所李自翔研究员合作,在《Physical Review Letters》上发表了题为《Holstein模型在彭罗斯晶格上的超导性与电荷密度波》的研究成果。该研究以彭罗斯准晶为例,首次对Holstein模型进行了无符号的行列式蒙特卡洛模拟。
研究团队发现,彭罗斯准晶中平移对称性的缺失抑制了电荷密度波的形成,而半满填充时发散的态密度显著增强了配对强度。这两种效应共同作用下,在弱到中等电子-声子相互作用强度下,超导成为系统的基态。这一现象与周期晶格中电荷密度波序抑制超导的现象完全不同,为实现高Tc超导提供了新平台。
图1:(a)彭罗斯准晶示意图;(b)单粒子体系的能谱和态密度;(c)半满填充时的基态相图。
该研究得到了国家自然科学基金和北京理工大学青年研究经费项目的资助,北京理工大学刘录副研究员为第一作者,杨帆教授和李自翔研究员为共同通讯作者。
图2:(a)最近邻跃迁Tij和(b)最近邻超导关联Δi Δj在电子-声子相互作用强度g=1,声子频率Ω=1时的空间分布图。(c),(d)分别展示了两个物理量在不同电子-声子相互作用强度下的最大值和最小值。
今天关于《vivo新专利教你轻松切换网络,这波操作太秀了!》的内容就介绍到这里了,是不是学起来一目了然!想要了解更多关于专利,超导,晶体质量,稀土回收,像素电路的内容请关注golang学习网公众号!
CSS中的span标签是什么?一文教你搞定span的用途
- 上一篇
- CSS中的span标签是什么?一文教你搞定span的用途
- 下一篇
- JS轻松实现图片懒加载,超简单教程分享!
-
- 科技周边 · 人工智能 | 15分钟前 |
- 为什么 Claude 在编写复杂正则表达式时不容易出错?
- 315浏览 收藏
-
- 科技周边 · 人工智能 | 20分钟前 |
- 怎么让ChatGPT进行角色扮演 ChatGPT超强角色扮演指令玩法【分享】
- 264浏览 收藏
-
- 科技周边 · 人工智能 | 23分钟前 | MuleRun
- MuleRun怎么启用通知_MuleRun任务完成提醒设置方法
- 220浏览 收藏
-
- 科技周边 · 人工智能 | 32分钟前 |
- 为什么说WorkBuddy是AI驱动的数字化转型利器?如何落地?
- 382浏览 收藏
-
- 科技周边 · 人工智能 | 42分钟前 |
- 寒武纪成功适配 DeepSeek-V4,推动 AI 模型高效运行
- 487浏览 收藏
-
- 科技周边 · 人工智能 | 47分钟前 |
- 为什么Perplexity在企业内网中解析域名失败_检查企业防火墙对Perplexity域名的拦截情况
- 272浏览 收藏
-
- 科技周边 · 人工智能 | 59分钟前 | CanvaAI Canva可画
- Canva可画新手入门全流程教学_零基础快速上手设计指南
- 166浏览 收藏
-
- 科技周边 · 人工智能 | 1小时前 |
- AI写作怎么生成早安晚安语录_写朋友圈早安文案的AI提示词怎么写
- 314浏览 收藏
-
- 科技周边 · 人工智能 | 1小时前 |
- AI做图软件有哪些?设计师必备的AI图像处理工具盘点
- 131浏览 收藏
-
- 科技周边 · 人工智能 | 1小时前 |
- 怎样给DeepSeek V4微信机器人加支付功能_会员制变现【变现】
- 447浏览 收藏
-
- 科技周边 · 人工智能 | 1小时前 |
- 千问AI图片分析功能怎么用_通义千问OCR识图与内容总结教程【攻略】
- 104浏览 收藏
-
- 科技周边 · 人工智能 | 1小时前 |
- 小荷AI医生是免费的吗_小荷AI医生免费与付费服务项目对比
- 144浏览 收藏
-
- 前端进阶之JavaScript设计模式
- 设计模式是开发人员在软件开发过程中面临一般问题时的解决方案,代表了最佳的实践。本课程的主打内容包括JS常见设计模式以及具体应用场景,打造一站式知识长龙服务,适合有JS基础的同学学习。
- 543次学习
-
- GO语言核心编程课程
- 本课程采用真实案例,全面具体可落地,从理论到实践,一步一步将GO核心编程技术、编程思想、底层实现融会贯通,使学习者贴近时代脉搏,做IT互联网时代的弄潮儿。
- 516次学习
-
- 简单聊聊mysql8与网络通信
- 如有问题加微信:Le-studyg;在课程中,我们将首先介绍MySQL8的新特性,包括性能优化、安全增强、新数据类型等,帮助学生快速熟悉MySQL8的最新功能。接着,我们将深入解析MySQL的网络通信机制,包括协议、连接管理、数据传输等,让
- 500次学习
-
- JavaScript正则表达式基础与实战
- 在任何一门编程语言中,正则表达式,都是一项重要的知识,它提供了高效的字符串匹配与捕获机制,可以极大的简化程序设计。
- 487次学习
-
- 从零制作响应式网站—Grid布局
- 本系列教程将展示从零制作一个假想的网络科技公司官网,分为导航,轮播,关于我们,成功案例,服务流程,团队介绍,数据部分,公司动态,底部信息等内容区块。网站整体采用CSSGrid布局,支持响应式,有流畅过渡和展现动画。
- 485次学习
-
- ChatExcel酷表
- ChatExcel酷表是由北京大学团队打造的Excel聊天机器人,用自然语言操控表格,简化数据处理,告别繁琐操作,提升工作效率!适用于学生、上班族及政府人员。
- 4462次使用
-
- Any绘本
- 探索Any绘本(anypicturebook.com/zh),一款开源免费的AI绘本创作工具,基于Google Gemini与Flux AI模型,让您轻松创作个性化绘本。适用于家庭、教育、创作等多种场景,零门槛,高自由度,技术透明,本地可控。
- 4810次使用
-
- 可赞AI
- 可赞AI,AI驱动的办公可视化智能工具,助您轻松实现文本与可视化元素高效转化。无论是智能文档生成、多格式文本解析,还是一键生成专业图表、脑图、知识卡片,可赞AI都能让信息处理更清晰高效。覆盖数据汇报、会议纪要、内容营销等全场景,大幅提升办公效率,降低专业门槛,是您提升工作效率的得力助手。
- 4690次使用
-
- 星月写作
- 星月写作是国内首款聚焦中文网络小说创作的AI辅助工具,解决网文作者从构思到变现的全流程痛点。AI扫榜、专属模板、全链路适配,助力新人快速上手,资深作者效率倍增。
- 6485次使用
-
- MagicLight
- MagicLight.ai是全球首款叙事驱动型AI动画视频创作平台,专注于解决从故事想法到完整动画的全流程痛点。它通过自研AI模型,保障角色、风格、场景高度一致性,让零动画经验者也能高效产出专业级叙事内容。广泛适用于独立创作者、动画工作室、教育机构及企业营销,助您轻松实现创意落地与商业化。
- 5060次使用
-
- GPT-4王者加冕!读图做题性能炸天,凭自己就能考上斯坦福
- 2023-04-25 501浏览
-
- 单块V100训练模型提速72倍!尤洋团队新成果获AAAI 2023杰出论文奖
- 2023-04-24 501浏览
-
- ChatGPT 真的会接管世界吗?
- 2023-04-13 501浏览
-
- VR的终极形态是「假眼」?Neuralink前联合创始人掏出新产品:科学之眼!
- 2023-04-30 501浏览
-
- 实现实时制造可视性优势有哪些?
- 2023-04-15 501浏览

