量子计算与人工智能有什么关系
最近发现不少小伙伴都对科技周边很感兴趣,所以今天继续给大家介绍科技周边相关的知识,本文《量子计算与人工智能有什么关系》主要内容涉及到等等知识点,希望能帮到你!当然如果阅读本文时存在不同想法,可以在评论中表达,但是请勿使用过激的措辞~

经过几十年的研究,人工智能 (AI) 正在成为主要的行业趋势之一。从与 Alexa 和 Siri 的对话,到 Waymo(谷歌)和特斯拉的自动驾驶汽车,OpenAI 的 GPT-3 像人类一样写作散文,以及 DeepMind(谷歌)的 AlphaZero 击败人类国际围棋大师,人工智能现在已经足够成熟了。解决现实生活中的问题,而且通常比人类更快更好。
在科技行业的其他地方,一些有远见的人正在努力开发量子计算机,这些计算机试图利用量子物理学的特性来比当今的计算机更快地执行计算。
在这一点上,很多人可能想知道:量子计算与人工智能到底有什么关系?
算法复杂性是隐藏的敌人
算法复杂性是一个有点晦涩的数学概念,它将 AI 研究人员和量子计算先驱所做的工作联系在一起。
计算复杂性理论是一个横跨数学和计算机科学的领域,专注于根据资源使用情况对计算问题进行分类,例如空间(内存)和时间。本质上,计算问题是可以由计算机按照算法中定义的数学步骤机械地解决的任务。
例如,考虑对列表中的数字进行排序的问题。一种可能的算法,称为“选择排序”,包括从列表的未排序部分(最初是全部)重复找到最小元素(按升序)并将其放在开头。该算法有效地维护原始列表中的两个子列表,因为它正在运行:已经排序的部分和剩余的未排序部分。在这个过程经过几次之后,结果是一个从小到大的排序列表。就时间复杂度而言,这用 N 2的复杂度来表示,其中 N 表示列表中元素的大小或数量。数学家提出了更高效但更复杂的排序算法,例如“Cube Sort”或“Tim Sort”,这两种算法的复杂度都是 N x log(N)。对于今天的计算机来说,对包含 100 个元素的列表进行排序是一项简单的任务,但对包含十亿条记录的列表进行排序可能就不那么简单了。因此,时间复杂度(或算法中与输入问题大小相关的步骤数)非常重要。

为了更快地解决问题,可以使用更快的计算机,或者找到需要更少操作的更有效算法,这就是较低时间复杂度的含义。但是,很明显,对于指数复杂度的问题(例如 N 2或 2 N),数学对您不利,并且对于较大的问题规模,仅使用更快的计算机是不现实的。而这恰恰是人工智能领域的情况。
人工智能是一个需要解决的高度复杂的问题
首先,我们将了解当今人工智能 (AI) 系统使用的人工神经网络的计算复杂性。这些数学模型的灵感来自构成动物大脑的生物神经网络。他们通过查看许多示例“学习”识别或分类输入数据。它们是互连节点或神经元的集合,结合激活函数,该函数根据“输入层”中呈现的数据和互连中的权重确定输出。

为了调整互连中的权重以使“输出”有用或正确,可以通过暴露于许多数据示例和“反向传播”输出损失来“训练”网络。
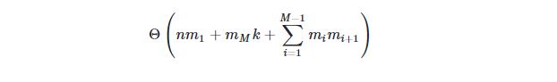
对于具有N个输入、M个隐藏层的神经网络,其中第i 个隐藏层包含m i个隐藏神经元和k个输出神经元,调整所有神经元权重的算法(称为反向传播算法)将具有时间复杂度的:

综上所述,流行的 OpenAI 的 GPT-3 模型已经能够以与人类相当的流畅度编写原始散文,具有 1750 亿个参数(或神经元)。这个人工智能模型拥有数十亿的M,目前需要几个月的时间来训练,即使在大型云数据中心使用强大的服务器计算机也是如此。此外,人工智能模型的规模将继续增长,因此随着时间的推移情况会变得更糟。
量子计算来拯救?
量子计算机是使用量子物理特性(特别是叠加和纠缠)来存储数据和执行计算的机器。期望它们可以同时执行数十亿个操作,从而为高度复杂的问题(包括人工智能)提供非常实质性的加速。
经典计算机以比特(“二进制数字”的缩写)传输信息,而量子计算机使用量子比特(“量子比特”的缩写)。与经典比特一样,量子比特最终必须以 1 或 0 的形式传输信息,但其特殊之处在于它们可以同时表示 1 和 0。一个量子比特被认为具有概率分布,例如,它有 70% 的可能性是 1,而 30% 的可能性是 0。这就是量子计算机的特别之处。
量子计算机利用了量子力学中的两个基本属性:叠加和纠缠。

当一个量子比特同时为 1 和 0 时,称它处于叠加态。叠加是系统同时处于多个状态并且在测量时仅假定单个状态时的条件的总称。如果我们假设一枚硬币是一个量子物体,那么当硬币被翻转时,就会产生叠加:硬币只有正面或反面的概率。一旦硬币落地,我们就进行了测量,我们知道硬币是正面还是反面。同样,只有当我们测量电子的自旋(类似于硬币落地)时,我们才能知道电子处于什么状态以及它是 1 还是 0。
叠加态的量子粒子只有在我们拥有多个粒子时才有用。这将我们带到了量子力学的第二个基本原理:纠缠。两个(或多个)纠缠在一起的粒子无法单独描述,它们的性质完全依赖于彼此。因此,纠缠的量子比特可以相互影响。一个量子比特的概率分布(一个或零)取决于系统中所有其他量子比特的概率分布。
正因为如此,向系统中添加每个新的量子位都会使计算机可以分析的状态数量增加一倍。计算机能力的这种指数级增长与经典计算形成鲜明对比,经典计算仅随每个新位线性扩展。
理论上,纠缠的量子比特可以同时执行数十亿次操作。很明显,这种能力将为任何复杂度在 N 2、2 N或 N N范围内的算法提供显着的加速。
为量子驱动的人工智能做好准备
由于量子计算的巨大潜力,虽然硬件团队继续致力于使这些系统成为现实(迄今为止最大的是IBM 的 127-Qubit Eagle 系统),但软件研究人员已经在研究可以利用这种“同时计算”的新算法' 能力,在密码学、化学、材料科学、系统优化和机器学习/人工智能等领域。相信 Shor 的因式分解量子算法将提供比经典计算机更高的指数加速,这对当前的密码算法构成风险。
最有趣的是,人们相信量子线性代数将提供多项式加速,这将极大地提高我们人工神经网络的性能。谷歌推出了TensorFlow Quantum,这是一个用于量子机器学习的软件框架,它允许对混合量子经典机器学习模型进行快速原型设计。同样是量子计算的领导者,IBM 最近宣布,它发现了量子机器学习的量子优势的“数学证明”. 然而,尽管 IBM 和 Google 等公司是垂直整合的(因此同时开发了硬件系统和软件算法),但也有一群非常有趣的量子软件初创公司,包括 Zapata、Riverlane、1Qbit,以及在一定程度上, Quantinuum(自从 Cambridge Quantum Computing 与 Honeywell 合并并更名后,它不再是一家纯粹的软件公司),仅举几例。
随着量子硬件变得更加强大和量子机器学习算法的完善,量子计算很可能会在人工智能芯片市场上占据重要份额。
好了,本文到此结束,带大家了解了《量子计算与人工智能有什么关系》,希望本文对你有所帮助!关注golang学习网公众号,给大家分享更多科技周边知识!
60年前谜题!哥本哈根大学研究人员解决「单源最短路径」问题
- 上一篇
- 60年前谜题!哥本哈根大学研究人员解决「单源最短路径」问题
- 下一篇
- 如何使用机器学习来分析情感
-
- 科技周边 · 人工智能 | 12分钟前 |
- AI一键生成视频摘要,轻松提炼核心内容
- 110浏览 收藏
-
- 科技周边 · 人工智能 | 33分钟前 |
- ScalenutAI如何结合SEO制图?
- 171浏览 收藏
-
- 科技周边 · 人工智能 | 35分钟前 |
- Gamma自动生成PPT怎么用?操作指南
- 231浏览 收藏
-
- 科技周边 · 人工智能 | 37分钟前 |
- 无需注册的AI视频生成网站 推荐体验
- 217浏览 收藏
-
- 科技周边 · 人工智能 | 42分钟前 | Workbuddy
- 高频工作固化技巧,WorkBuddy自定义流教程
- 311浏览 收藏
-
- 科技周边 · 人工智能 | 56分钟前 |
- 3步打造个人AI知识体系攻略
- 433浏览 收藏
-
- 科技周边 · 人工智能 | 1小时前 | Microsoft Teams Teams
- Microsoft Teams屏幕共享与远程协助教程
- 146浏览 收藏
-
- 科技周边 · 人工智能 | 1小时前 |
- 文心一言官网入口及体验地址
- 482浏览 收藏
-
- 科技周边 · 人工智能 | 2小时前 |
- AI周报生成工具推荐\_一键总结工作神器
- 192浏览 收藏
-
- 科技周边 · 人工智能 | 2小时前 |
- ElevenLabs自然配音生成教程及操作指南
- 363浏览 收藏
-
- 科技周边 · 人工智能 | 2小时前 |
- Gemini对话重置方法_Gemini会话刷新详解
- 442浏览 收藏
-
- 科技周边 · 人工智能 | 2小时前 |
- Minimax防范Prompt注入方法与部署建议
- 156浏览 收藏
-
- 前端进阶之JavaScript设计模式
- 设计模式是开发人员在软件开发过程中面临一般问题时的解决方案,代表了最佳的实践。本课程的主打内容包括JS常见设计模式以及具体应用场景,打造一站式知识长龙服务,适合有JS基础的同学学习。
- 543次学习
-
- GO语言核心编程课程
- 本课程采用真实案例,全面具体可落地,从理论到实践,一步一步将GO核心编程技术、编程思想、底层实现融会贯通,使学习者贴近时代脉搏,做IT互联网时代的弄潮儿。
- 516次学习
-
- 简单聊聊mysql8与网络通信
- 如有问题加微信:Le-studyg;在课程中,我们将首先介绍MySQL8的新特性,包括性能优化、安全增强、新数据类型等,帮助学生快速熟悉MySQL8的最新功能。接着,我们将深入解析MySQL的网络通信机制,包括协议、连接管理、数据传输等,让
- 500次学习
-
- JavaScript正则表达式基础与实战
- 在任何一门编程语言中,正则表达式,都是一项重要的知识,它提供了高效的字符串匹配与捕获机制,可以极大的简化程序设计。
- 487次学习
-
- 从零制作响应式网站—Grid布局
- 本系列教程将展示从零制作一个假想的网络科技公司官网,分为导航,轮播,关于我们,成功案例,服务流程,团队介绍,数据部分,公司动态,底部信息等内容区块。网站整体采用CSSGrid布局,支持响应式,有流畅过渡和展现动画。
- 485次学习
-
- ChatExcel酷表
- ChatExcel酷表是由北京大学团队打造的Excel聊天机器人,用自然语言操控表格,简化数据处理,告别繁琐操作,提升工作效率!适用于学生、上班族及政府人员。
- 4247次使用
-
- Any绘本
- 探索Any绘本(anypicturebook.com/zh),一款开源免费的AI绘本创作工具,基于Google Gemini与Flux AI模型,让您轻松创作个性化绘本。适用于家庭、教育、创作等多种场景,零门槛,高自由度,技术透明,本地可控。
- 4606次使用
-
- 可赞AI
- 可赞AI,AI驱动的办公可视化智能工具,助您轻松实现文本与可视化元素高效转化。无论是智能文档生成、多格式文本解析,还是一键生成专业图表、脑图、知识卡片,可赞AI都能让信息处理更清晰高效。覆盖数据汇报、会议纪要、内容营销等全场景,大幅提升办公效率,降低专业门槛,是您提升工作效率的得力助手。
- 4489次使用
-
- 星月写作
- 星月写作是国内首款聚焦中文网络小说创作的AI辅助工具,解决网文作者从构思到变现的全流程痛点。AI扫榜、专属模板、全链路适配,助力新人快速上手,资深作者效率倍增。
- 6171次使用
-
- MagicLight
- MagicLight.ai是全球首款叙事驱动型AI动画视频创作平台,专注于解决从故事想法到完整动画的全流程痛点。它通过自研AI模型,保障角色、风格、场景高度一致性,让零动画经验者也能高效产出专业级叙事内容。广泛适用于独立创作者、动画工作室、教育机构及企业营销,助您轻松实现创意落地与商业化。
- 4861次使用
-
- GPT-4王者加冕!读图做题性能炸天,凭自己就能考上斯坦福
- 2023-04-25 501浏览
-
- 单块V100训练模型提速72倍!尤洋团队新成果获AAAI 2023杰出论文奖
- 2023-04-24 501浏览
-
- ChatGPT 真的会接管世界吗?
- 2023-04-13 501浏览
-
- VR的终极形态是「假眼」?Neuralink前联合创始人掏出新产品:科学之眼!
- 2023-04-30 501浏览
-
- 实现实时制造可视性优势有哪些?
- 2023-04-15 501浏览

