Graph-DETR3D: 在多视角3D目标检测中对重叠区域再思考
本篇文章主要是结合我之前面试的各种经历和实战开发中遇到的问题解决经验整理的,希望这篇《Graph-DETR3D: 在多视角3D目标检测中对重叠区域再思考》对你有很大帮助!欢迎收藏,分享给更多的需要的朋友学习~
arXiv论文“Graph-DETR3D: Rethinking Overlapping Regions for Multi-View 3D Object Detection“,22年6月,中科大、哈工大和商汤科技的工作。

从多个图像视图中检测3-D目标是视觉场景理解的一项基本而富有挑战性的任务。由于其低成本和高效率,多视图3-D目标检测显示出了广阔的应用前景。然而,由于缺乏深度信息,通过3-D空间中的透视图去精确检测目标,极其困难。最近,DETR3D引入一种新的3D-2D query范式,用于聚合多视图图像以进行3D目标检测,并实现了最先进的性能。
本文通过密集的引导性实验,量化了位于不同区域的目标,并发现“截断实例”(即每个图像的边界区域)是阻碍DETR3D性能的主要瓶颈。尽管在重叠区域中合并来自两个相邻视图的多个特征,但DETR3D仍然存在特征聚合不足的问题,因此错过了充分提高检测性能的机会。
为了解决这个问题,提出Graph-DETR3D,通过图结构学习(GSL)自动聚合多视图图像信息。在每个目标查询和2-D特征图之间构建一个动态3D图,以增强目标表示,尤其是在边界区域。此外,Graph-DETR3D得益于一种新的深度不变(depth-invariant)多尺度训练策略,其通过同时缩放图像大小和目标深度来保持视觉深度的一致性。
Graph-DETR3D的不同在于两点,如图所示:(1)动态图特征的聚合模块;(2)深度不变的多尺度训练策略。它遵循DETR3D的基本结构,由三个组件组成:图像编码器、transformer解码器和目标预测头。给定一组图像I={I1,I2,…,IK}(由N个周视摄像机捕捉),Graph-DETR3D旨在预测感兴趣边框的定位和类别。首先用图像编码器(包括ResNet和FPN)将这些图像变成一组相对L个特征图级的特征F。然后,构建一个动态3-D图,通过动态图特征聚合(dynamic graph feature aggregation,DGFA)模块广泛聚合2-D信息,优化目标查询的表示。最后,利用增强的目标查询输出最终预测。

如图显示动态图特征聚合(DFGA)过程:首先为每个目标查询构造一个可学习的3-D图,然后从2-D图像平面采样特征。最后,通过图连接(graph connections)增强了目标查询的表示。这种相互连接的消息传播(message propagation)方案支持对图结构构造和特征增强的迭代细化方案。

多尺度训练是2D和3D目标检测任务中常用的数据增强策略,经证明有效且推理成本低。然而,它很少出现在基于视觉的3-D检测方法中。考虑到不同输入图像大小可以提高模型的鲁棒性,同时调整图像大小和修改摄像机内参来实现普通多尺度训练策略。
一个有趣的现象是,最终的性能急剧下降。通过仔细分析输入数据,发现简单地重新缩放图像会导致透视-多义问题:当目标调整到较大/较小的比例时,其绝对属性(即目标的大小、到ego point的距离)不会改变。
作为一个具体示例,如图显示这个多义问题:尽管(a)和(b)中所选区域的绝对3D位置相同,但图像像素的数量不同。深度预测网络倾向于基于图像的占用面积来估计深度。因此,图中的这种训练模式可能会让深度预测模型糊涂,并进一步恶化最终性能。

为此从像素透视重新计算深度。算法伪代码如下:

如下是解码操作:

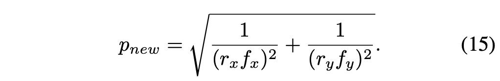
重新计算的像素大小是:

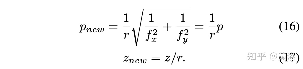
假设尺度因子r = rx = ry,则简化得到:

实验结果如下:




注:DI = Depth-Invariant
文中关于技术,目标检测的知识介绍,希望对你的学习有所帮助!若是受益匪浅,那就动动鼠标收藏这篇《Graph-DETR3D: 在多视角3D目标检测中对重叠区域再思考》文章吧,也可关注golang学习网公众号了解相关技术文章。
三种使用机器人的创新方法
- 上一篇
- 三种使用机器人的创新方法
- 下一篇
- 从科幻到现实,自动驾驶发展还面临哪些问题?
-
- 科技周边 · 人工智能 | 5分钟前 |
- 马克・洛尔:AI 轻松开餐厅新思路
- 276浏览 收藏
-
- 科技周边 · 人工智能 | 11分钟前 | 即梦AI
- 即梦AI修改密码位置及安全设置流程
- 481浏览 收藏
-
- 科技周边 · 人工智能 | 23分钟前 |
- GLM-5命名实体识别教程:人名地名机构名提取方法
- 235浏览 收藏
-
- 科技周边 · 人工智能 | 37分钟前 | CodeGeeX CodeGeeX如何生成Python代码完整教程
- CodeGeeX生成YAML配置读取代码方法
- 258浏览 收藏
-
- 科技周边 · 人工智能 | 47分钟前 | Perplexity
- Perplexity Comet浏览器内测申请及教程汇总
- 296浏览 收藏
-
- 科技周边 · 人工智能 | 50分钟前 |
- Perplexity分析GitHub热门项目方法
- 236浏览 收藏
-
- 科技周边 · 人工智能 | 53分钟前 | Hermes Agent HermesAgent
- Hermes Agent支持Win7吗?系统兼容性详解
- 198浏览 收藏
-
- 科技周边 · 人工智能 | 56分钟前 |
- Recraft导出偏色怎么调?色彩空间设置技巧
- 224浏览 收藏
-
- 科技周边 · 人工智能 | 1小时前 |
- Claude AI 助力高效编写 Git 提交信息
- 374浏览 收藏
-
- 科技周边 · 人工智能 | 1小时前 |
- WorkBuddy集成ELK或CLS日志配置方法
- 410浏览 收藏
-
- 科技周边 · 人工智能 | 1小时前 |
- Perplexity查软件快捷键方法:搜索软件名加Shortcuts
- 203浏览 收藏
-
- 科技周边 · 人工智能 | 1小时前 | openclaw
- OpenClawAI支持语音输入输出吗?
- 148浏览 收藏
-
- 前端进阶之JavaScript设计模式
- 设计模式是开发人员在软件开发过程中面临一般问题时的解决方案,代表了最佳的实践。本课程的主打内容包括JS常见设计模式以及具体应用场景,打造一站式知识长龙服务,适合有JS基础的同学学习。
- 543次学习
-
- GO语言核心编程课程
- 本课程采用真实案例,全面具体可落地,从理论到实践,一步一步将GO核心编程技术、编程思想、底层实现融会贯通,使学习者贴近时代脉搏,做IT互联网时代的弄潮儿。
- 516次学习
-
- 简单聊聊mysql8与网络通信
- 如有问题加微信:Le-studyg;在课程中,我们将首先介绍MySQL8的新特性,包括性能优化、安全增强、新数据类型等,帮助学生快速熟悉MySQL8的最新功能。接着,我们将深入解析MySQL的网络通信机制,包括协议、连接管理、数据传输等,让
- 500次学习
-
- JavaScript正则表达式基础与实战
- 在任何一门编程语言中,正则表达式,都是一项重要的知识,它提供了高效的字符串匹配与捕获机制,可以极大的简化程序设计。
- 487次学习
-
- 从零制作响应式网站—Grid布局
- 本系列教程将展示从零制作一个假想的网络科技公司官网,分为导航,轮播,关于我们,成功案例,服务流程,团队介绍,数据部分,公司动态,底部信息等内容区块。网站整体采用CSSGrid布局,支持响应式,有流畅过渡和展现动画。
- 485次学习
-
- ChatExcel酷表
- ChatExcel酷表是由北京大学团队打造的Excel聊天机器人,用自然语言操控表格,简化数据处理,告别繁琐操作,提升工作效率!适用于学生、上班族及政府人员。
- 4515次使用
-
- Any绘本
- 探索Any绘本(anypicturebook.com/zh),一款开源免费的AI绘本创作工具,基于Google Gemini与Flux AI模型,让您轻松创作个性化绘本。适用于家庭、教育、创作等多种场景,零门槛,高自由度,技术透明,本地可控。
- 4865次使用
-
- 可赞AI
- 可赞AI,AI驱动的办公可视化智能工具,助您轻松实现文本与可视化元素高效转化。无论是智能文档生成、多格式文本解析,还是一键生成专业图表、脑图、知识卡片,可赞AI都能让信息处理更清晰高效。覆盖数据汇报、会议纪要、内容营销等全场景,大幅提升办公效率,降低专业门槛,是您提升工作效率的得力助手。
- 4742次使用
-
- 星月写作
- 星月写作是国内首款聚焦中文网络小说创作的AI辅助工具,解决网文作者从构思到变现的全流程痛点。AI扫榜、专属模板、全链路适配,助力新人快速上手,资深作者效率倍增。
- 6600次使用
-
- MagicLight
- MagicLight.ai是全球首款叙事驱动型AI动画视频创作平台,专注于解决从故事想法到完整动画的全流程痛点。它通过自研AI模型,保障角色、风格、场景高度一致性,让零动画经验者也能高效产出专业级叙事内容。广泛适用于独立创作者、动画工作室、教育机构及企业营销,助您轻松实现创意落地与商业化。
- 5103次使用
-
- GPT-4王者加冕!读图做题性能炸天,凭自己就能考上斯坦福
- 2023-04-25 501浏览
-
- 单块V100训练模型提速72倍!尤洋团队新成果获AAAI 2023杰出论文奖
- 2023-04-24 501浏览
-
- ChatGPT 真的会接管世界吗?
- 2023-04-13 501浏览
-
- VR的终极形态是「假眼」?Neuralink前联合创始人掏出新产品:科学之眼!
- 2023-04-30 501浏览
-
- 实现实时制造可视性优势有哪些?
- 2023-04-15 501浏览

