Stable Diffusion采样速度翻倍!仅需10到25步的扩散模型采样算法
本篇文章主要是结合我之前面试的各种经历和实战开发中遇到的问题解决经验整理的,希望这篇《Stable Diffusion采样速度翻倍!仅需10到25步的扩散模型采样算法》对你有很大帮助!欢迎收藏,分享给更多的需要的朋友学习~
要说 AI 领域今年影响力最大的进展,爆火的 AI 作图绝对是其中之一。设计者只需要输入对图片的文字描述,就可以由 AI 生成一张质量极高的高分辨率图片。目前,使用范围最广的当属 StabilityAI 的开源模型 Stable Diffusion,模型一经开源就在社区引起了广泛的讨论。
然而,扩散模型在使用上最大的问题就是其极慢的采样速度。模型采样需要从纯噪声图片出发,一步一步不断地去噪,最终得到清晰的图片。在这个过程中,模型必须串行地计算至少 50 到 100 步才可以获得较高质量的图片,这导致生成一张图片需要的时间是其它深度生成模型的 50 到 100 倍,极大地限制了模型的部署和落地。
为了加速扩散模型的采样,许多研究者从硬件优化的角度出发,例如 Google 使用 JAX 语言将模型编译运行在 TPU 上,OneFlow 团队 [1] 使用自研编译器将 Stable Diffusion 做到了“一秒出图”。这些方法都基于 50 步的采样算法 PNDM[2],该算法在步数减少时采样效果会急剧下降。
就在几天前,这一纪录又被刷新了!Stable Diffusion 的官方 Demo[3]更新显示,采样 8 张图片的时间从原来的 8 秒钟直接被缩短至了 4 秒钟!快了整整一倍!

而基于自研深度学习编译器技术的 OneFlow 团队更是在不降低采样效果的前提下,成功将之前的 “一秒出图” 缩短到了 “半秒出图”!在 GPU 上仅仅使用不到 0.5 秒就可以获得一张高清的图片!相关工作已经发布在[1] 中。
事实上,这些工作的核心驱动力都来自于清华大学朱军教授带领的 TSAIL 团队所提出的DPM-Solver,一种针对于扩散模型特殊设计的高效求解器:该算法无需任何额外训练,同时适用于离散时间与连续时间的扩散模型,可以在 20 到 25 步内几乎收敛,并且只用 10 到 15 步也能获得非常高质量的采样。在 Stable Diffusion 上,25 步的 DPM-Solver 就可以获得优于 50 步 PNDM 的采样质量,因此采样速度直接翻倍!
项目链接:
- DPM-Solver: A Fast ODE Solver for Diffusion Probabilistic Model Sampling in Around 10 Steps:https://arxiv.org/abs/2206.00927(NeurIPS 2022 Oral)
- DPM-Solver++: Fast Solver for Guided Sampling of Diffusion Probabilistic Models:https://arxiv.org/abs/2211.01095
- 项目开源代码:https://github.com/LuChengTHU/dpm-solver
- 项目在线 Demo:https://huggingface.co/spaces/LuChengTHU/dpmsolver_sdm
扩散模型的定义与采样方法
扩散模型通过定义一个不断加噪声的前向过程来将图片逐步变为高斯噪声,再通过定义了一个逆向过程将高斯噪声逐步去噪变为清晰图片以得到采样:

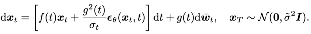
在采样过程中,根据是否添加额外的噪声,可以将扩散模型分为两类:一类是扩散随机微分方程模型(Diffusion SDE),另一类是扩散常微分方程(Diffusion ODE)。两种模型的训练目标函数都一样,通过最小化与噪声的均方误差来训练一个“噪声预测网络”:

基于 Diffusion SDE 的采样过程可以视为离散化如下随机微分方程:

并且 [4] 中证明,DDPM[5] 是对上述 SDE 的一阶离散化。
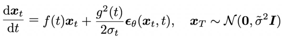
而基于 Diffusion ODE 的采样过程可以视为离散化如下常微分方程:

并且 [6] 中证明,DDIM[7]是对上述 ODE 的一阶离散化。
然而,这些一阶的离散化方法收敛速度极慢,扩散模型的采样通常需要 100 到 1000 次串行计算才可以得到高质量的图片。通常情况下,为了加速扩散模型的采样,研究者往往通过对 Diffusion ODE 使用高阶求解器来进行加速,例如经典的 Runge-Kutta 方法(RK45),这是因为 ODE 不会带来额外的随机性,离散化步长可以相对选取得更大一些。在给定 s 时刻的解后,Runge-Kutta 方法基于离散化如下积分:

这样的离散化将 Diffusion ODE 整体看做一个黑盒,损失了 ODE 的已知信息,在小于 50 步的情况下就难以收敛了。
DPM-Solver:专为扩散模型设计的求解器
DPM-Solver 基于 Diffusion ODE 的半线性(semi-linear)结构,通过精确且解析地计算 ODE 中的线性项,我们可以得到:

剩余的积分项是一个关于时间的复杂的积分。然而,DPM-Solver 的提出者发现,该积分可以通过对 log-SNR(对数信噪比)做换元后得到一个非常简单的形式:

剩余的积分是一个关于噪声预测模型的指数积分(exponentially weighted integral)。通过对噪声预测模型做泰勒展开,我们可以得到该积分的一个估计:

该估计中存在两项:一项是全导数部分(向量),另一项是系数部分(标量)。DPM-Solver 的另一个核心贡献是,该系数可以通过分部积分被解析地计算:

而剩余的全导数部分则可以通过传统 ODE 求解器的数值方法来近似估计(无需任何求导运算):

基于以上 4 点,DPM-Solver 做到了尽可能地准确计算所有已知项,只对神经网络部分做近似,因此最大程度地减小了离散化误差:

此外,基于该推导,我们可以得到 DDIM 本质上是 DPM-Solver 的一阶形式,这也能解释为什么 DDIM 在步数较少时依然可以获得很好的加速效果:

在实验中,DPM-Solver 获得了远超其它采样算法的加速效果,仅仅在 15-20 步就几乎可以收敛:

并且在论文中定量的结果显示,DPM-Solver 引入的额外计算量完全可以忽略,即对于步数的加速效果直接正比于时间上的加速效果——因此,基于 25 步的 DPM-Solver,Stable-Diffusion 模型的采样速度直接翻倍!例如,下图展示了不同采样算法在 Stable-Diffusion 上随着步数变化的效果,可见 DPM-Solver 在 10 到 15 步就可以获得非常高质量的采样:

使用 DPM-Solver
DPM-Solver 的使用非常简单,既可以基于作者提供的官方代码,也可以使用主流的 Diffusers 库。例如,基于作者提供的官方代码(https://github.com/LuChengTHU/dpm-solver),只需要 3 行:

官方代码对 4 种扩散模型都进行了支持:

并且同时支持 unconditional sampling、classifier guidance 和 classifier-free guidance:

而基于 Diffusers 库的 DPM-Solver 同样很简单,只需要定义 scheduler 即可:

此外,作者团队还提供了一个在线 Demo:https://huggingface.co/spaces/LuChengTHU/dpmsolver_sdm
下图是 15 步的例子,可以看到图像质量已经非常高:

相信基于 DPM-Solver,扩散模型的采样速度将不再是瓶颈。
关于作者
DPM-Solver 论文一作是来自清华大学 TSAIL 团队的路橙博士,他在知乎上关于扩散模型的讨论中也写了一篇关于扩散模型原理的入门介绍,目前已有 2000 + 赞:https://www.zhihu.com/question/536012286/answer/2533146567
清华大学 TSAIL 团队长期致力于贝叶斯机器学习的理论和算法研究,是国际上最早研究深度概率生成模型的团队之一,在贝叶斯模型、高效算法和概率编程库方面取得了系统深入的研究成果。团队另一位博士生鲍凡提出Analytic-DPM [8][9],为扩散模型的最优均值和方差给出了简单、令人吃惊的解析形式,获得 ICLR 2022 Outstanding Paper Award。在概率编程方面,机器之心早在 2017 年就报道了该团队发布的 “ZhuSuan” 深度概率编程库(https://zhusuan.readthedocs.io/en/latest/)[10],是国际上最早的面向深度概率模型的编程库之一。另外,值得一提的是,扩散概率模型的两位核心作者宋飏和宋佳铭,本科时均在朱军教授的指导下做科研训练,后来都去了斯坦福大学读博士。论文的合作者周聿浩、陈键飞、李崇轩,也是TSAIL组培养的优秀博士生,周聿浩为在读,陈键飞和李崇轩分别在清华大学计算机系、人民大学高瓴人工智能学院任教。
今天关于《Stable Diffusion采样速度翻倍!仅需10到25步的扩散模型采样算法》的内容介绍就到此结束,如果有什么疑问或者建议,可以在golang学习网公众号下多多回复交流;文中若有不正之处,也希望回复留言以告知!
加速ViT模型新思路!Meta推出Token Merging,不靠剪枝靠合并
- 上一篇
- 加速ViT模型新思路!Meta推出Token Merging,不靠剪枝靠合并
- 下一篇
- 人工智能与proptech、智能家居和智能空间的未来
-
- 科技周边 · 人工智能 | 17分钟前 |
- Perplexity查软件快捷键方法:搜索软件名加Shortcuts
- 203浏览 收藏
-
- 科技周边 · 人工智能 | 20分钟前 | openclaw
- OpenClawAI支持语音输入输出吗?
- 148浏览 收藏
-
- 科技周边 · 人工智能 | 25分钟前 | Perplexity
- Perplexity查找Kindle电子书方法
- 437浏览 收藏
-
- 科技周边 · 人工智能 | 32分钟前 |
- Claude账号长期不登录会注销吗?
- 400浏览 收藏
-
- 科技周边 · 人工智能 | 50分钟前 |
- Perplexity防插件窃取搜索意图方法
- 362浏览 收藏
-
- 科技周边 · 人工智能 | 59分钟前 | Seedance 2.0
- Seedance 2.0适合口播吗?口播神器推荐
- 421浏览 收藏
-
- 科技周边 · 人工智能 | 1小时前 |
- DeepSeek开源资源全汇总,从入门到精通
- 366浏览 收藏
-
- 科技周边 · 人工智能 | 1小时前 |
- Hermes Agent功能扩展全攻略
- 243浏览 收藏
-
- 科技周边 · 人工智能 | 1小时前 |
- 如何验证WorkBuddy安装包安全性?
- 331浏览 收藏
-
- 科技周边 · 人工智能 | 1小时前 | Kimi Kimi智能助手
- KIMI官网PC版使用技巧与快捷键
- 237浏览 收藏
-
- 科技周边 · 人工智能 | 1小时前 |
- AI头像生成全流程:从照片到艺术作品
- 121浏览 收藏
-
- 科技周边 · 人工智能 | 2小时前 | Hermes Agent HermesAgent
- Git子模块更新:HermesAgent版本升级教程
- 224浏览 收藏
-
- 前端进阶之JavaScript设计模式
- 设计模式是开发人员在软件开发过程中面临一般问题时的解决方案,代表了最佳的实践。本课程的主打内容包括JS常见设计模式以及具体应用场景,打造一站式知识长龙服务,适合有JS基础的同学学习。
- 543次学习
-
- GO语言核心编程课程
- 本课程采用真实案例,全面具体可落地,从理论到实践,一步一步将GO核心编程技术、编程思想、底层实现融会贯通,使学习者贴近时代脉搏,做IT互联网时代的弄潮儿。
- 516次学习
-
- 简单聊聊mysql8与网络通信
- 如有问题加微信:Le-studyg;在课程中,我们将首先介绍MySQL8的新特性,包括性能优化、安全增强、新数据类型等,帮助学生快速熟悉MySQL8的最新功能。接着,我们将深入解析MySQL的网络通信机制,包括协议、连接管理、数据传输等,让
- 500次学习
-
- JavaScript正则表达式基础与实战
- 在任何一门编程语言中,正则表达式,都是一项重要的知识,它提供了高效的字符串匹配与捕获机制,可以极大的简化程序设计。
- 487次学习
-
- 从零制作响应式网站—Grid布局
- 本系列教程将展示从零制作一个假想的网络科技公司官网,分为导航,轮播,关于我们,成功案例,服务流程,团队介绍,数据部分,公司动态,底部信息等内容区块。网站整体采用CSSGrid布局,支持响应式,有流畅过渡和展现动画。
- 485次学习
-
- ChatExcel酷表
- ChatExcel酷表是由北京大学团队打造的Excel聊天机器人,用自然语言操控表格,简化数据处理,告别繁琐操作,提升工作效率!适用于学生、上班族及政府人员。
- 4515次使用
-
- Any绘本
- 探索Any绘本(anypicturebook.com/zh),一款开源免费的AI绘本创作工具,基于Google Gemini与Flux AI模型,让您轻松创作个性化绘本。适用于家庭、教育、创作等多种场景,零门槛,高自由度,技术透明,本地可控。
- 4865次使用
-
- 可赞AI
- 可赞AI,AI驱动的办公可视化智能工具,助您轻松实现文本与可视化元素高效转化。无论是智能文档生成、多格式文本解析,还是一键生成专业图表、脑图、知识卡片,可赞AI都能让信息处理更清晰高效。覆盖数据汇报、会议纪要、内容营销等全场景,大幅提升办公效率,降低专业门槛,是您提升工作效率的得力助手。
- 4742次使用
-
- 星月写作
- 星月写作是国内首款聚焦中文网络小说创作的AI辅助工具,解决网文作者从构思到变现的全流程痛点。AI扫榜、专属模板、全链路适配,助力新人快速上手,资深作者效率倍增。
- 6600次使用
-
- MagicLight
- MagicLight.ai是全球首款叙事驱动型AI动画视频创作平台,专注于解决从故事想法到完整动画的全流程痛点。它通过自研AI模型,保障角色、风格、场景高度一致性,让零动画经验者也能高效产出专业级叙事内容。广泛适用于独立创作者、动画工作室、教育机构及企业营销,助您轻松实现创意落地与商业化。
- 5103次使用
-
- GPT-4王者加冕!读图做题性能炸天,凭自己就能考上斯坦福
- 2023-04-25 501浏览
-
- 单块V100训练模型提速72倍!尤洋团队新成果获AAAI 2023杰出论文奖
- 2023-04-24 501浏览
-
- ChatGPT 真的会接管世界吗?
- 2023-04-13 501浏览
-
- VR的终极形态是「假眼」?Neuralink前联合创始人掏出新产品:科学之眼!
- 2023-04-30 501浏览
-
- 实现实时制造可视性优势有哪些?
- 2023-04-15 501浏览

