人类文化是否被进化锁死?
各位小伙伴们,大家好呀!看看今天我又给各位带来了什么文章?本文标题是《人类文化是否被进化锁死?》,很明显是关于科技周边的文章哈哈哈,其中内容主要会涉及到等等,如果能帮到你,觉得很不错的话,欢迎各位多多点评和分享!
作者 | 汪昊
文化研究是发展数百年的人文学科。然而,因为数据规模受限,以及地理区域等因素的限制,文化研究一直都是使用小规模数据的研究学科。随着大数据时代的到来,互联网用户行为数据等公开数据集因为数据量大,包含信息丰富,成为了人文学科领域最新的金矿。2022 年,研究人员在国际学术会议MHEHD 2022 发表了一篇介绍计算文化研究的文章,讲述了如何通过人工智能算法进行文化研究。

这篇论文主要分析了一个名为 ZeroMat 的零样本机器学习算法的社会学效应。ZeroMat 算法是人工智能领域首个真正不利用任何数据进行推荐的算法。众所周知,现有的零样本学习算法基本都是迁移学习和元学习的变体而已。而ZeroMat 是首个与众不同的算法。
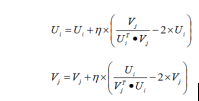
ZeroMat 算法假设用户物品评分矩阵服从如下分布:

将上述公式带入概率矩阵分布模型,得到如下公式:

取对数之后利用随机梯度下降计算 U 和 V,并设置方差为常数 1,得到如下公式:

从公式中我们发现这个算法本质上是个零样本学习算法。该算法的社会学效应是我们的文化已经被锁死,因为我们不需要任何数据就可以非常准确的预测电影等文化消费品的用户评分数据,也就是可以不用历史数据就知道用户的个人文化喜好。而因为用户评分数据的高度不均衡性,我们知道,人类的文化不仅被锁死了,而且被锁死在了一个极不平等的极端状态,而这一切发生仅仅需要很短的时间。
其实不仅仅是文化领域存在着这一现象,在其他社会领域也广泛的存在着这一现象。而中国政府的许多举措,已经在一定程度上缓解了这一问题。例如大城市集群战略,利用了马太效应有助于提高效率的原理,促进了经济的发展。另外一个例子是政府对互联网大V的监管,有效降低了信息传播的马太效应,避免信息传播陷入锁死状态。
人类文化被锁死的根本原因在于幂律分布在各种社会现象中的效应。而幂律分布之所以存在的原因就是因为能让效率最大化,并且与多样性有关。认真的研究幂律分布,能够让我们更好的认识各种社会现象,并且帮助我们更好的研究算法和其他自然科学。
Is Human Culture Locked by Evolution : https://www.atlantis-press.com/article/125975737.pdf
作者介绍
汪昊,互联网老兵,前趣加游戏 AI Lab 负责人,在豆瓣、新浪、网易等互联网公司有超过 11 年的技术和技术管理经验,成功上线 10 余款科技产品。在推荐系统、风控和自然语言处理领域有丰富的经验和独到的见解。在国际学术会议和期刊发表论文 30 篇,3 次获得国际学术会议最佳论文奖/最佳论文报告奖。2006 年 ACM/ICPC 国际大学生程序设计竞赛北美落基山区域赛金牌。
本篇关于《人类文化是否被进化锁死?》的介绍就到此结束啦,但是学无止境,想要了解学习更多关于科技周边的相关知识,请关注golang学习网公众号!
中国人民大学卢志武:ChatGPT对多模态通用生成模型的重要启发
- 上一篇
- 中国人民大学卢志武:ChatGPT对多模态通用生成模型的重要启发
- 下一篇
- AI好奇心,不只害死猫!MIT强化学习新算法,智能体这回「难易通吃」
-
- 科技周边 · 人工智能 | 6分钟前 |
- 豆包AI智能体角色扮演互动技巧解析
- 165浏览 收藏
-
- 科技周边 · 人工智能 | 17分钟前 | DeepSeek
- DeepSeek如何评估回答可信度及标注方法
- 413浏览 收藏
-
- 科技周边 · 人工智能 | 28分钟前 |
- Perplexity AI如何深入追问?多轮对话技巧全解析
- 213浏览 收藏
-
- 科技周边 · 人工智能 | 41分钟前 |
- DeepSeek API负载均衡方案解析
- 240浏览 收藏
-
- 科技周边 · 人工智能 | 44分钟前 |
- 使用 Claude 编写自动化脚本的效率提升方案
- 303浏览 收藏
-
- 科技周边 · 人工智能 | 8小时前 |
- Mac Studio集群:多机跑70B大模型教程
- 370浏览 收藏
-
- 科技周边 · 人工智能 | 8小时前 | CanvaAI Canva可画
- Canva Pro会员价格及权益详解
- 246浏览 收藏
-
- 科技周边 · 人工智能 | 9小时前 | Hermes Agent HermesAgent
- Hermes Agent缓存清理方法【技巧】
- 420浏览 收藏
-
- 科技周边 · 人工智能 | 9小时前 | 骡子快跑
- 骡子快跑模拟面试怎么设置
- 382浏览 收藏
-
- 科技周边 · 人工智能 | 9小时前 | CodeGeeX
- 判断今天日期是否为指定日期
- 296浏览 收藏
-
- 科技周边 · 人工智能 | 9小时前 |
- DeepSeek替代ChatGPT优势解析
- 264浏览 收藏
-
- 前端进阶之JavaScript设计模式
- 设计模式是开发人员在软件开发过程中面临一般问题时的解决方案,代表了最佳的实践。本课程的主打内容包括JS常见设计模式以及具体应用场景,打造一站式知识长龙服务,适合有JS基础的同学学习。
- 543次学习
-
- GO语言核心编程课程
- 本课程采用真实案例,全面具体可落地,从理论到实践,一步一步将GO核心编程技术、编程思想、底层实现融会贯通,使学习者贴近时代脉搏,做IT互联网时代的弄潮儿。
- 516次学习
-
- 简单聊聊mysql8与网络通信
- 如有问题加微信:Le-studyg;在课程中,我们将首先介绍MySQL8的新特性,包括性能优化、安全增强、新数据类型等,帮助学生快速熟悉MySQL8的最新功能。接着,我们将深入解析MySQL的网络通信机制,包括协议、连接管理、数据传输等,让
- 500次学习
-
- JavaScript正则表达式基础与实战
- 在任何一门编程语言中,正则表达式,都是一项重要的知识,它提供了高效的字符串匹配与捕获机制,可以极大的简化程序设计。
- 487次学习
-
- 从零制作响应式网站—Grid布局
- 本系列教程将展示从零制作一个假想的网络科技公司官网,分为导航,轮播,关于我们,成功案例,服务流程,团队介绍,数据部分,公司动态,底部信息等内容区块。网站整体采用CSSGrid布局,支持响应式,有流畅过渡和展现动画。
- 485次学习
-
- ChatExcel酷表
- ChatExcel酷表是由北京大学团队打造的Excel聊天机器人,用自然语言操控表格,简化数据处理,告别繁琐操作,提升工作效率!适用于学生、上班族及政府人员。
- 4512次使用
-
- Any绘本
- 探索Any绘本(anypicturebook.com/zh),一款开源免费的AI绘本创作工具,基于Google Gemini与Flux AI模型,让您轻松创作个性化绘本。适用于家庭、教育、创作等多种场景,零门槛,高自由度,技术透明,本地可控。
- 4863次使用
-
- 可赞AI
- 可赞AI,AI驱动的办公可视化智能工具,助您轻松实现文本与可视化元素高效转化。无论是智能文档生成、多格式文本解析,还是一键生成专业图表、脑图、知识卡片,可赞AI都能让信息处理更清晰高效。覆盖数据汇报、会议纪要、内容营销等全场景,大幅提升办公效率,降低专业门槛,是您提升工作效率的得力助手。
- 4740次使用
-
- 星月写作
- 星月写作是国内首款聚焦中文网络小说创作的AI辅助工具,解决网文作者从构思到变现的全流程痛点。AI扫榜、专属模板、全链路适配,助力新人快速上手,资深作者效率倍增。
- 6583次使用
-
- MagicLight
- MagicLight.ai是全球首款叙事驱动型AI动画视频创作平台,专注于解决从故事想法到完整动画的全流程痛点。它通过自研AI模型,保障角色、风格、场景高度一致性,让零动画经验者也能高效产出专业级叙事内容。广泛适用于独立创作者、动画工作室、教育机构及企业营销,助您轻松实现创意落地与商业化。
- 5100次使用
-
- GPT-4王者加冕!读图做题性能炸天,凭自己就能考上斯坦福
- 2023-04-25 501浏览
-
- 单块V100训练模型提速72倍!尤洋团队新成果获AAAI 2023杰出论文奖
- 2023-04-24 501浏览
-
- ChatGPT 真的会接管世界吗?
- 2023-04-13 501浏览
-
- VR的终极形态是「假眼」?Neuralink前联合创始人掏出新产品:科学之眼!
- 2023-04-30 501浏览
-
- 实现实时制造可视性优势有哪些?
- 2023-04-15 501浏览

