深度学习神经网络之图像分类应用实战
今日不肯埋头,明日何以抬头!每日一句努力自己的话哈哈~哈喽,今天我将给大家带来一篇《深度学习神经网络之图像分类应用实战》,主要内容是讲解等等,感兴趣的朋友可以收藏或者有更好的建议在评论提出,我都会认真看的!大家一起进步,一起学习!
译者 | 朱先忠
审校 | 孙淑娟
深度学习神经网络最近受到了大量关注,原因在于它是当今语音识别、人脸检测、语音控制、自动驾驶汽车、脑肿瘤检测技术背后的技术,而这些在20年前并不属于我们生活的内容。尽管这些神经网络看起来很复杂,但它们也像人类一样地学习——通过各种案例来进行。只不过,神经网络是使用大量数据集进行训练,并通过多个网络层和多次迭代进行优化,以便获得最佳的运算结果而已。
在过去20年中,计算能力和数据量的指数级增长为深度学习神经网络创造了完美的发展条件。尽管我们在机器学习和人工智能等华而不实的术语上磕磕绊绊;但其实,这些技术只不过是线性代数和微积分与计算的结合结果罢了。
Keras、PyTorch和TensorFlow等框架有助于定制深度神经网络的艰难构建、训练、验证和部署过程。在现实生活中,创建深度学习应用程序时,这几款框架显然成为首选。
尽管如此,有时后退一步继续前进是至关重要的,我的意思是真正理解框架幕后发生的事情。在本文中,我们将通过仅使用NumPy这个基础框架来创建一个深度神经网络并将其应用于图像分类问题来实现这一点。在计算过程中,你可能会迷失在某个地方,特别是在与微积分相关的反向传播环节,但不要担心。在框架处理过程中,对过程的直觉比计算更重要。
在本文中,我们将构建一个图像分类(猫或无猫)神经网络,该网络将使用两组共1652张图像进行训练。其中,852张图像来自狗和猫图像数据集的猫图像,另外800张来自Unsplash随机图像集的随机图像。开始时,首先需要将图像转换为数组,我们将通过将原始尺寸减小到128x128像素来加快计算速度,因为如果我们保持原始形状,则需要很长时间来训练模型。所有这些128x128图像都有三个颜色层(红色、绿色和蓝色);当混合时,这些颜色会达到图像的原始颜色。每幅图像上的128x128像素中的每一个像素都具有从0到255的红色、绿色和蓝色值范围,这些值是我们图像矢量中的值。因此,在我们的计算中,我们将处理1652幅图像的共计128x128x3个矢量。
要在网络中运行上述矢量,需要通过将三层颜色堆叠成单个数组来重构它,如下图所示。然后,我们将获得一个(49152,1652)大小的向量,该向量将通过使用1323个图像向量来训练模型,并通过使用训练后的模型预测图像分类(猫或无猫)来对其进行测试。在将这些预测与图像的真实分类标签进行比较之后,将有可能估计模型的准确性。

图像1:将图像转换为矢量的过程
随着训练向量的解释,现在是讨论网络架构的时候了,如图2所示。由于训练向量中使用了49152个值,模型的输入层必须具有相同数量的节点(或神经元)。然后,在输出层之前有三个隐藏层,这将是该图片中猫的概率。在现实生活中的模型中,通常有3个以上的隐藏层,因为网络需要更深入才能在大数据环境中表现良好。
在本文中,我们仅使用了三个隐藏层,这是因为它们对于简单的分类模型来说已经足够好。尽管该架构只有4层(输出层不计算在内),但该代码可以通过使用层的维度作为训练函数的参数来创建更深层的神经网络。

图2:网络架构
到现在为止,我们已经解释了图像向量和所采用的网络架构;接下来,我们将使用优化算法在图3所示的梯度下降算法中进行描述。同样,如果您不能立即完成所有步骤,请不要担心,因为本文稍后将在编码部分详细介绍其图中所示的每个步骤。

图3:训练过程
首先,我们启动网络的参数。这些参数是图像2中显示的节点的每个连接的权重(w)和偏差(b)。在代码中,更容易理解每个权重和偏差参数的工作方式以及它们的初始化方式。稍后,当这些参数初始化后,是时候运行正向传播块并在最后一次激活中应用sigmoid函数以获得概率预测。
在我们的例子中,这是一只猫出现在照片中的概率。随后,我们通过交叉熵成本(一种广泛用于优化分类模型的损失函数)将我们的预测与图像的真实标签(猫或非猫)进行比较。最后,在计算出成本的情况下,我们通过反向传播模块将其返回,以计算其相对于参数w和b的梯度。随着损失函数相对于w和b所具有的梯度已经为我们所掌握,可以通过对各个梯度求和来更新参数,因为它们指向使损失函数最小化的w和b值的方向。
由于目标是使损失函数最小化,所以该循环应该经过预定义的迭代次数,朝着损失函数的最小值迈出一小步。在某一点上,参数将停止改变,因为当最小值接近时,梯度会趋于零。
1. 加载数据
import numpy as np import pandas as pd import os from os.path import join from tensorflow.keras.preprocessing.image import load_img, img_to_array from sklearn.model_selection import train_test_split
首先,需要加载库。除了使用keras.preprrocessing.image将图像转换为向量之外,只需要导入Numpy、Pandas和OS三个库模块,而另一方面我们使用sklearn.model_selection将图像向量拆分为训练向量和测试向量两部分。
cats_dir = "data\cats"
all_cats_path = [join(cats_dir,filename) for filename in os.listdir(cats_dir)]
images_dir = "data\random_images"
images_path = [join(images_dir,filename) for filename in os.listdir(images_dir)]
all_paths = all_cats_path + images_path
df = pd.DataFrame({
'path': all_paths,
'is_cat': [1 if path in all_cats_path else 0 for path in all_paths] })数据必须从两个文件夹下加载:cats和random_images。这可以通过获取所有文件名并构建每个文件的路径来完成。然后,只需合并数据帧中的所有文件路径,并创建一个条件列“is_cat”。如果该路径位于cats文件夹中,则值为1;否则值为0。
X = df.path Y = df.is_cat X_train, X_test, y_train, y_test = train_test_split(X,Y, test_size=.2 , shuffle= True) X_train = [load_img(img_path,target_size=(128,128)) for img_path in X_train] X_train = np.array([img_to_array(img) for img in X_train]) X_test = [load_img(img_path,target_size=(128,128)) for img_path in X_test] X_test = np.array([img_to_array(img) for img in X_test]) (X_train.shape,X_test.shape)
有了路径数据集,是时候通过分割图像来构建我们的训练和测试向量了;其中80%用于训练,20%用于测试。Y表示特征的真实标签,而X表示图像的RGB值,因此X被定义为数据帧中具有图像文件路径的列,然后使用load_img函数加载它们,target_size设置为128x128像素,以便实现更快的计算。最后,使用img_to_array函数将图像转换为数组。这些是X_train和X_test向量的形状:

图4:X_train和X_test向量的形状
2. 初始化参数
def initialize(layers_dimensions):
parameters = {}
L = len(layers_dimensions)
for l in range (1,L):
parameters['w' + str(l)] = np.random.randn(layers_dimensions[l],layers_dimensions[l-1]) / np.sqrt(layers_dimensions[l-1])
parameters['b' + str(l)] = np.zeros((layers_dimensions[l],1))
return parameters由于线性函数是z=w*x+b并且网络具有4个层,所以要初始化的参数向量是w1、w2、w3、w4、b1、b2、b3和b4。在代码中,这是通过在层维度列表的长度上循环来完成的——稍后将定义;但是在这里它是一个硬编码列表,其中包含网络中每个层中的神经元数量。
参数w和b必须使用不同的初始化方式:w必须初始化为随机小数字矩阵,b必须初始化为零矩阵。这是因为如果我们将权重初始化为零,则权重wrt(相对于)损失函数的导数将全部相同,因此后续迭代中的值将始终相同,隐藏层将全部对称,导致神经元只学习相同的几个特征。因此,我们把权重初始化为随机数,以打破这种对称性,从而允许神经元学习不同的特征。需要注意的是,偏置可以初始化为零,因为对称性已经被权重打破,并且神经元中的值都将不同。
最后,为了理解参数向量初始化时定义的形状,必须知道权重参与矩阵乘法,而偏差参与矩阵和运算(还记得z1=w1*x+b1吗?)。得益于Python广播技术,可以使用不同大小的数组进行矩阵加法运算。另一方面,矩阵乘法只有在形状兼容时才可能进行运算,如(m,n)x(n,k)=(m,k)。这意味着,第一个阵列上的列数需要与第二个阵列上行数匹配,最终矩阵将具有阵列1的行数和阵列2的列数。图5显示了神经网络上使用的所有参数向量的形状。

图5:参数向量的形状
在第一层中,当我们将w1参数向量乘以原始49152个输入值时,我们需要w1形状为(20,49152)*(49152,1323)=(20,1323),这是第一个隐藏层激活的形状。b1参数与矩阵乘法的结果相加(记住z1=w1*x+b1),因此我们可以将(20,1)数组添加到乘法的(20,1323)结果中,因为广播会自动考虑不匹配的形状。这一逻辑继续到下一层,因此我们可以假设w(l)形状的公式是(节点数量层l+1,节点数量层l),而b(l)的公式为(节点数量,层l+1)。
最后,我们对权重向量初始化进行重要分析。我们应该将随机初始化值除以正在初始化w参数向量的各个层上节点数量的平方根。例如,输入层有49152个节点,因此我们将随机初始化的参数除以√49152,即222,而第一个隐藏层有20个节点;所以,我们将随机初始的w2参数除以√20,即结果值为45。初始化必须保持较小,因为这是随机梯度下降的要求。
3. 正向传播
现在,参数向量已经被初始化,现在我们可以进行正向传播了。该正向传播将线性操作z=w*x+b与ReLU激活相结合,直到最后一层,当sigmoid激活函数替代ReLU激活函数时,我们得到最后一次激活的概率。线性运算的输出通常用字母“z”表示,称为预激活参数。因此,预激活参数z将是ReLU和sigmoid激活的输入。
在输入层之后,给定层L上的线性操作将是z[L]=w[L]*a[L-1]+b[L],使用前一层的激活值而不是数据输入x。线性操作和激活函数的参数都将存储在缓存列表中,用作稍后在反向传播块上计算梯度的输入。
因此,首先定义线性正向函数:
def linear_forward(activation, weight, bias): Z = np.dot(weight,activation) + bias cache = (activation, weight, bias) return Z, cache
接下来,我们来定义Sigmoid和ReLU两个激活函数。图6显示了这两个函数的图形示意。其中,Sigmoid激活函数通常用于二类分类问题,以预测二元变量的概率。这是因为S形曲线使大多数值接近0或1。因此,我们将仅在网络的最后一层使用Sigmoid激活函数来预测猫出现在图片中的概率。
另一方面,如果输入为正,ReLU函数将直接输出;否则,将输出零。这是一个非常简单的操作,因为它没有任何指数运算,有助于加快内层的计算速度。此外,与tanh和sigmoid函数不同,使用ReLU作为激活函数降低了消失梯度问题的可能性。
值得注意的是,ReLU激活函数不会同时激活所有节点,因为激活后所有负值将变为零。在整个网络中设置一些0值很重要,因为它增加了神经网络的一个理想特性——稀疏性;这意味着网络具有更好的预测能力和更少的过度拟合。毕竟,神经元正在处理有意义的信息部分。像我们的例子中一样,可能存在一个特定的神经元可以识别猫耳朵;但是,如果图像是人或风景的话,显然应该将其设置为0。

图6:Sigmoid和ReLU激活函数图形示意
def sigmoid(Z): activation = 1/ (1+ np.exp(-Z)) cache = Z return activation, cache def relu(Z): activation = np.maximum(0,Z) cache = Z return activation, cache
现在可以实现全部的激活函数了。
def sigmoid_activation(previous_activation, weight, bias): Z, linear_cache = linear_forward(previous_activation,weight, bias) activation, activation_cache = sigmoid(Z) cache = (linear_cache,activation_cache) return activation, cache def relu_activation(previous_activation, weight, bias): Z, linear_cache = linear_forward(previous_activation,weight, bias) activation, activation_cache = relu(Z) cache = (linear_cache,activation_cache) return activation, cache
最后,是时候根据前面预先计划的网络架构在一个完整的函数中整合上面的激活函数了。首先,创建缓存列表,将第一次激活函数设置为数据输入(训练向量)。由于网络中存在两个参数(w和b),因此可以将层的数量定义为参数字典长度的一半。然后,该函数在除最后一层外的所有层上循环;在最后一层应用线性前向函数,随后应用的是ReLU激活函数。
def l_layer_model_forward(data, parameters): caches = [] activation = data n_layers = len(parameters)//2 for layer in range (1,n_layers): previous_activation = activation activation, cache = relu_activation(previous_activation, weight = parameters['w' + str(layer)], bias = parameters['b' + str(layer)]) caches.append(cache) last_activation, cache = sigmoid_activation(activation, weight = parameters['w' + str(layer+1)], bias = parameters['b' + str(layer+1)]) caches.append(cache) return last_activation, caches
4. 交叉熵损失函数
损失函数通过将预测的概率(最后一次激活的结果)与图像的真实标签进行比较来量化模型对给定数据的性能。如果网络使用数据进行学习,则每次迭代后成本(损失函数的结果)必须降低。在分类问题中,交叉熵损失函数通常用于优化目的,其公式如下图7所示:

图7:神经网络的成本(损失函数的输出结果)示意图
在本例中,我们使用NumPy定义交叉熵成本函数:
def cross_entropy_cost(last_activation,true_label): m = true_label.shape[1] cost = -1/m * np.sum(np.dot(true_label,np.log(last_activation).T) + np.dot(1-true_label, np.log(1-last_activation).T)) cost = np.squeeze(cost) return cost
5. 反向传播
在反向传播模块中,我们应该在网络上从右向左移动,计算与损失函数相关的参数梯度,以便稍后更新。就像在前向传播模块中一样的顺序,接下来,我们首先介绍一下线性反向传播,然后是sigmoid和relu,最后通过一个函数整合网络架构上的所有功能。
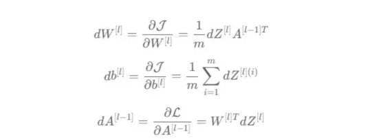
对于给定的层L,线性部分为z[L]=w[L]*a[L-1]+b[L]。假设我们已经计算了导数dZ[L],即线性输出的成本导数,对应的公式稍后很快就会给出。但首先让我们看看下图8中dW[L]、dA[L-1]和db[L]的导数公式,以便首先实现线性后向函数。

图8:成本相关权重、偏差和先前激活函数的导数
这些公式是交叉熵成本函数相对于权重、偏差和先前激活(a[L-1])的导数。本文不打算进行导数计算,但它们已经在我的另一篇文章《走向数据科学》一文中进行了介绍。
定义线性向后函数需要使用dZ作为输入,因为在反向传播中线性部分位于sigmoid或relu向后激活函数之后。在下一段代码中,将计算dZ,但为了在正向传播上遵循相同的函数实现逻辑,首先应用线性反向函数。
在执行梯度计算之前,必须从前一层加载参数权重、偏置和激活,所有这些都在线性传播期间存储在缓存中。参数m最初来自交叉熵成本公式,是先前激活函数的向量大小,可以通过previous_activation.shape[1]获得。然后,可以使用NumPy实现梯度公式的矢量化计算。在偏置梯度中,keepdims=True和axis=1参数是必要的,因为求和需要在向量的行中进行,并且必须保持向量的原始维度,这意味着dB将具有与dZ相同的维度。
def linear_backward(dZ, cache): previous_activation, weight, bias = cache m = previous_activation.shape[1] dw = 1/m * np.dot(dZ, previous_activation.T) db = 1/m * np.sum(dZ, keepdims = True, axis = 1) dpreviousactivation = np.dot(weight.T,dZ) return dpreviousactivation, dw, db
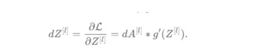
成本wrt对线性输出(dZ)公式的导数如图9所示,其中g’(Z[L])代表激活函数的导数。

图9——线性输出成本的导数。
因此,必须首先计算Sigmoid函数和ReLU函数的导数。在ReLU中,如果该值为正,则导数为1;否则,未定义。但是,为了计算ReLU后向激活函数中的dZ,有可能只复制去激活向量(因为dactivation * 1 = dactivation),并在z为负时将dZ设置为0。对于Sigmoid函数s,其导数为s*(1-s),将该导数乘以去激活,矢量dZ在Sigmoid向后函数中实现。
def relu_backward(dactivation, cache): Z = cache dZ = np.array(dactivation, copy=True) dZ[Z <p><span style="font-size: 16px;">现在可以实现linear_activation_backward函数。</span><span style="font-size: 16px;"></span></p><pre class="brush:javascript;toolbar:false;">def linear_activation_backward(dactivation, cache, activation): linear_cache, activation_cache = cache if activation == 'relu': dZ = relu_backward(dactivation, activation_cache) dprevious_activation, dw, db = linear_backward(dZ,linear_cache) elif activation == 'sigmoid': dZ = sigmoid_backward(dactivation, activation_cache) dprevious_activation, dw, db = linear_backward(dZ,linear_cache) return dprevious_activation, dw, db
首先,必须从缓存列表中检索线性缓存和激活缓存。然后,对于每一次激活,首先运行activation_backward函数,获得dZ,然后将其作为输入,与线性缓存结合,用于linear_backward函数。最后,函数返回dW、dB和dprevious_activation梯度。请记住,这是正向传播的逆序,因为我们在网络上从右向左传播。
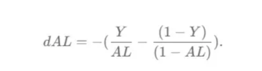
现在,我们可以为整个网络实现后向传播函数了。该函数将从最后一层L开始向后迭代所有隐藏层。因此,代码需要计算dAL;dAL是上次激活时成本函数的导数,以便将其用作sigmoid激活函数的linear_activation_backward函数的输入。dAL的公式如下图10所示:

图10:最后激活函数的成本导数
现在,实现后向传播函数的一切都设置到位。
def l_layer_model_backward(last_activation, true_labels, caches):
gradients = {}
n_layers = len(caches)
true_labels = true_labels.reshape(last_activation.shape)
dlast_activation =-(np.divide(true_labels, last_activation) - np.divide(1 - true_labels, 1 - last_activation))
current_cache = caches[n_layers-1]
dprevious_activation, dw_temp, db_temp = linear_activation_backward(dlast_activation,current_cache,'sigmoid')
gradients["da" + str(n_layers-1)] = dprevious_activation
gradients["dw" + str(n_layers)] = dw_temp
gradients["db" + str(n_layers)] = db_temp
for layer in reversed(range(n_layers-1)):
current_cache = caches[layer]
dprevious_activation, dw_temp, db_temp = linear_activation_backward(gradients["da" + str(layer + 1)],current_cache,'relu')
gradients["da" + str(layer)] = dprevious_activation
gradients["dw" + str(layer+1)] = dw_temp
gradients["db" + str(layer+1)] = db_temp
return gradients首先,创建梯度字典。网络的层数是通过获取缓存字典的长度来定义的,因为每个层在前向传播块期间都存储了其线性缓存和激活缓存,因此缓存列表长度与层数相同。稍后,该函数将遍历这些层的缓存,以检索线性激活反向函数的输入值。此外,真正的标签向量(Y_train)被重构为与上一次激活的形状相匹配的维度,因为这是dAL计算中一个除以另一个的要求,即代码的下一行。
创建current_cache对象并将其设置为检索最后一层的线性缓存和激活缓存(请记住,python索引从0开始,因此最后一层是n_layers-1)。然后,到最后一层,在linear_activation_backward函数上,激活缓存将用于sigmoid_backward函数,而线性缓存将作为linear_backward的输入。最后,该函数收集函数的返回值并将它们分配给梯度字典。在dA的情况下,因为计算的梯度公式来自于先前的激活,所以有必要在索引上使用n_layer-1来分配它。在该代码块之后,计算网络的最后一层的梯度。
按照网络的反向顺序,下一步是在线性层向relu层上反向循环并计算其梯度。但是,在反向循环期间,linear_activation_backward函数必须使用“relu”参数而不是“sigmoid”,因为需要为其余层调用relu_backward函数。最后,该函数返回计算的所有层的dA、dW和dB梯度,并完成反向传播。
6. 参数更新
随着梯度的计算,我们将通过用梯度更新原始参数以向成本函数的最小值移动来结束梯度下降。
def update_parameters(parameters, gradients, learning_rate): parameters = parameters.copy() n_layers = len(parameters) // 2 for layer in range (n_layers): parameters["w" + str(layer+1)] = parameters["w" + str(layer+1)]- learning_rate * gradients["dw" + str(layer+1)] parameters["b" + str(layer+1)] = parameters["b" + str(layer+1)]- learning_rate * gradients["db" + str(layer+1)] return parameters
该函数通过在层上循环并将w和b参数的原始值减去学习率输入乘以相应的梯度来实现。乘以学习率是控制每次更新模型权重时响应于估计误差改变网络参数w和b的程度的方法。
7. 预处理矢量
最后,我们实现了计算梯度下降优化所需的所有函数,从而可以对训练和测试向量进行预处理,为训练做好准备。
初始化函数的layers_dimensions输入必须进行硬编码,这是通过创建一个包含每个层中神经元数量的列表来实现的。随后,必须将X_train和X_test向量展平,以作为网络的输入,如图11所示。这可以通过使用NumPy函数重构来完成。此外,有必要将X_train和X_test值除以255,因为它们是以像素为单位的(范围从0到255),并且将值标准化为0到1是一个很好的做法。这样,数字会更小,计算速度更快。最后,Y_train和Y_test被转换为数组,并被展平。
layers_dimensions = [49152, 20, 7, 5, 1]
X_train_flatten = X_train.reshape(X_train.shape[0], -1).T
X_test_flatten = X_test.reshape(X_test.shape[0], -1).T
X_train = X_train_flatten/255.
X_test = X_test_flatten/255.
y_train = np.array(y_train)
y_test = np.array(y_test)
Y_train = y_train.reshape(-1,1).T
Y_test = y_test.reshape(-1,1).T
print(f'X train shape: {X_train.shape}')
print(f'Y train shape: {Y_train.shape}')
print(f'X test shape: {X_test.shape}')
print(f'Y test shape: {Y_test.shape}')这些是训练和测试向量的最终形状打印结果:

图11:训练和测试向量的形状大小
8. 训练
有了所有的函数,只需要将它们组织成一个循环来创建训练迭代即可。
def l_layer_model(X, Y, layers_dimensions, learning_rate = 0.0075, iterations = 3000, print_cost=False):
costs = []
parameters = initialize(layers_dimensions)
for i in range(0, iterations):
last_activation, caches = l_layer_model_forward(X, parameters)
cost = cross_entropy_cost(last_activation, Y)
gradients = l_layer_model_backward(last_activation, Y, caches)
parameters = update_parameters(parameters, gradients, learning_rate)
if print_cost and i % 50 == 0 or i == iterations - 1:
print(f"Cost after iteration {i}: {np.squeeze(cost)}")
if i % 100 == 0 or i == iterations:
costs.append(cost)
return parameters, costs但首先,创建一个空列表来存储cross_entropy_cost函数的成本输出,并初始化参数,因为这必须在迭代之前完成一次,因为这些参数将由梯度更新。
现在,在输入的迭代次数上创建循环,以正确的顺序调用实现的函数:l_layer_model_forward、cross_entropy_cost、l_layer_mmodel_backward和update_parameters。最后,是一个每50次迭代或最后一次迭代打印一次成本的条件语句。
调用函数2500次迭代的形式如下:
parameters, costs = l_layer_model(X_train, Y_train, layers_dimensions, iterations = 2500, print_cost = True)
调用训练函数的代码
下面输出展示了成本从第一次迭代的0.69下降到最后一次迭代的0.09。

图12:成本输出值越来越小
这意味着,在NumPy中开发的梯度下降函数优化了训练过程中的参数,这必将导致更好的预测结果,从而降低了成本。
训练结束以后,接下来我们可以检查训练后的模型是如何预测测试图像标签的。
9. 预测
通过使用训练的参数,该函数运行X_test向量的正向传播以获得预测,然后将其与真标签向量Y_test进行比较以返回精度。
def predict(X, y, parameters):
m = X.shape[1]
p = np.zeros((1,m))
probs, _ = l_layer_model_forward(X, parameters)
for i in range(0, probs.shape[1]):
if probs[0,i] > 0.5:
p[0,i] = 1
else:
p[0,i] = 0
print("Accuracy: "+ str(np.sum((p == y)/m)))
return p
pred_test = predict(X_test, Y_test , parameters)
图13:调用预测函数
该模型在测试图像上检测猫的准确率达到了77%。考虑到仅使用NumPy构建网络,这已经是一个相当不错的准确性了。将新图像添加到训练数据集、增加网络的复杂性或使用数据增强技术将现有训练图像转换为新图像都是提高准确性的可能方案。
最后,值得再次强调的是,当我们深入数学基础时,准确性并不是重点。这正是本文所强调的。努力学习神经网络的基础知识将为以后深入学习神经网络应用的迷人世界奠定扎实的基础。真诚希望您继续深入下去!
译者介绍
朱先忠,51CTO社区编辑,51CTO专家博客、讲师,潍坊一所高校计算机教师,自由编程界老兵一枚。
原文标题:Behind the Scenes of a Deep Learning Neural Network for Image Classification,作者:Bruno Caraffa
今天带大家了解了的相关知识,希望对你有所帮助;关于科技周边的技术知识我们会一点点深入介绍,欢迎大家关注golang学习网公众号,一起学习编程~
微软Edge浏览器加入AI图像生成功能
- 上一篇
- 微软Edge浏览器加入AI图像生成功能
- 下一篇
- ChatGPT服务器被挤爆,两天宕机五次,免费版还能撑几天?
-
- 科技周边 · 人工智能 | 7分钟前 | 骡子快跑
- 骡子快跑极简主义推荐与实践
- 255浏览 收藏
-
- 科技周边 · 人工智能 | 27分钟前 |
- AI自动写邮件,告别工作焦虑
- 142浏览 收藏
-
- 科技周边 · 人工智能 | 37分钟前 |
- 提升代码稳定性,DeepSeek自动化回归测试指南
- 462浏览 收藏
-
- 科技周边 · 人工智能 | 1小时前 | Llama 3
- Llama 3运行报错:内核崩溃资源耗尽解决方法
- 332浏览 收藏
-
- 科技周边 · 人工智能 | 1小时前 |
- HermesAgent安装脚本详解:Windows一键安装指南
- 433浏览 收藏
-
- 科技周边 · 人工智能 | 1小时前 | Hermes Agent HermesAgent
- HermesAgent配置错误排查指南
- 199浏览 收藏
-
- 科技周边 · 人工智能 | 1小时前 |
- DeepSeek-V4:新一代大语言模型发布
- 223浏览 收藏
-
- 科技周边 · 人工智能 | 1小时前 |
- 如何优化提示词提升图片生成效果
- 226浏览 收藏
-
- 科技周边 · 人工智能 | 1小时前 |
- Perplexity订阅异常终止解决方法
- 393浏览 收藏
-
- 科技周边 · 人工智能 | 1小时前 |
- AI卡皮巴拉模型训练全攻略
- 176浏览 收藏
-
- 科技周边 · 人工智能 | 1小时前 |
- DeepSeek V4助力聊天合规质检全流程
- 328浏览 收藏
-
- 科技周边 · 人工智能 | 1小时前 |
- Minimax海螺AI APK下载安装教程
- 173浏览 收藏
-
- 前端进阶之JavaScript设计模式
- 设计模式是开发人员在软件开发过程中面临一般问题时的解决方案,代表了最佳的实践。本课程的主打内容包括JS常见设计模式以及具体应用场景,打造一站式知识长龙服务,适合有JS基础的同学学习。
- 543次学习
-
- GO语言核心编程课程
- 本课程采用真实案例,全面具体可落地,从理论到实践,一步一步将GO核心编程技术、编程思想、底层实现融会贯通,使学习者贴近时代脉搏,做IT互联网时代的弄潮儿。
- 516次学习
-
- 简单聊聊mysql8与网络通信
- 如有问题加微信:Le-studyg;在课程中,我们将首先介绍MySQL8的新特性,包括性能优化、安全增强、新数据类型等,帮助学生快速熟悉MySQL8的最新功能。接着,我们将深入解析MySQL的网络通信机制,包括协议、连接管理、数据传输等,让
- 500次学习
-
- JavaScript正则表达式基础与实战
- 在任何一门编程语言中,正则表达式,都是一项重要的知识,它提供了高效的字符串匹配与捕获机制,可以极大的简化程序设计。
- 487次学习
-
- 从零制作响应式网站—Grid布局
- 本系列教程将展示从零制作一个假想的网络科技公司官网,分为导航,轮播,关于我们,成功案例,服务流程,团队介绍,数据部分,公司动态,底部信息等内容区块。网站整体采用CSSGrid布局,支持响应式,有流畅过渡和展现动画。
- 485次学习
-
- ChatExcel酷表
- ChatExcel酷表是由北京大学团队打造的Excel聊天机器人,用自然语言操控表格,简化数据处理,告别繁琐操作,提升工作效率!适用于学生、上班族及政府人员。
- 4515次使用
-
- Any绘本
- 探索Any绘本(anypicturebook.com/zh),一款开源免费的AI绘本创作工具,基于Google Gemini与Flux AI模型,让您轻松创作个性化绘本。适用于家庭、教育、创作等多种场景,零门槛,高自由度,技术透明,本地可控。
- 4865次使用
-
- 可赞AI
- 可赞AI,AI驱动的办公可视化智能工具,助您轻松实现文本与可视化元素高效转化。无论是智能文档生成、多格式文本解析,还是一键生成专业图表、脑图、知识卡片,可赞AI都能让信息处理更清晰高效。覆盖数据汇报、会议纪要、内容营销等全场景,大幅提升办公效率,降低专业门槛,是您提升工作效率的得力助手。
- 4742次使用
-
- 星月写作
- 星月写作是国内首款聚焦中文网络小说创作的AI辅助工具,解决网文作者从构思到变现的全流程痛点。AI扫榜、专属模板、全链路适配,助力新人快速上手,资深作者效率倍增。
- 6596次使用
-
- MagicLight
- MagicLight.ai是全球首款叙事驱动型AI动画视频创作平台,专注于解决从故事想法到完整动画的全流程痛点。它通过自研AI模型,保障角色、风格、场景高度一致性,让零动画经验者也能高效产出专业级叙事内容。广泛适用于独立创作者、动画工作室、教育机构及企业营销,助您轻松实现创意落地与商业化。
- 5103次使用
-
- GPT-4王者加冕!读图做题性能炸天,凭自己就能考上斯坦福
- 2023-04-25 501浏览
-
- 单块V100训练模型提速72倍!尤洋团队新成果获AAAI 2023杰出论文奖
- 2023-04-24 501浏览
-
- ChatGPT 真的会接管世界吗?
- 2023-04-13 501浏览
-
- VR的终极形态是「假眼」?Neuralink前联合创始人掏出新产品:科学之眼!
- 2023-04-30 501浏览
-
- 实现实时制造可视性优势有哪些?
- 2023-04-15 501浏览

