理解并统一14种归因算法,让神经网络具有可解释性
哈喽!今天心血来潮给大家带来了《理解并统一14种归因算法,让神经网络具有可解释性》,想必大家应该对科技周边都不陌生吧,那么阅读本文就都不会很困难,以下内容主要涉及到,若是你正在学习科技周边,千万别错过这篇文章~希望能帮助到你!
尽管 DNN 在各种实际应用中取得了广泛的成功,但其过程通常被视为黑盒子,因为我们很难解释 DNN 如何做出决定。缺乏可解释性损害了 DNN 的可靠性,从而阻碍了它们在高风险任务中的广泛应用,例如自动驾驶和 AI 医疗。因此,可解释 DNN 引起了越来越多的关注。
作为解释 DNN 的典型视角,归因方法旨在计算每个输入变量对网络输出的归因 / 重要性 / 贡献分数。例如,给定一个用于图像分类的预训练 DNN 和一个输入图像,每个输入变量的属性得分是指每个像素对分类置信度得分的数值影响。
尽管近年来研究者提出了许多归因方法,但其中大多数都建立在不同的启发式方法之上。目前还缺乏统一的理论视角来检验这些归因方法的正确性,或者至少在数学上阐明其核心机制。
研究人员曾试图统一不同的归因方法,但这些研究只涵盖了几种方法。
本文中,我们提出了「统一解释 14 种输入单元重要性归因算法的内在机理」。

论文地址:https://arxiv.org/pdf/2303.01506.pdf
其实无论是「12 种提升对抗迁移性的算法」,还是「14 种输入单元重要性归因算法」,都是工程性算法的重灾区。在这两大领域内,大部分算法都是经验性的,人们根据实验经验或直觉认识,设计出一些似是而非的工程性算法。大部分研究没有对 “究竟什么是输入单元重要性” 做出严谨定义和理论论证,少数研究有一定的论证,但往往也很不完善。当然,“缺少严谨的定义和论证” 的问题充满了整个人工智能领域,只是在这两个方向上格外突出。
- 第一,在众多经验性归因算法充斥可解释机器学习领域的环境下,我们希望证明 “所有 14 种归因算法(解释神经网络输入单元重要性的算法)的内在机理,都可以表示为对神经网络所建模的交互效用的一种分配,不同归因算法对应不同的交互效用分配比例”。这样,虽然不同算法有着完全不同的设计着眼点(比如有些算法有提纲挈领的目标函数,有些算法则是纯粹的 pipeline),但是我们发现在数学上,这些算法都可以被我们纳入到 “对交互效用的分配” 的叙事逻辑中来。
- 基于上面的交互效用分配框架,我们可以进一步为神经网络输入单元重要性归因算法提出三条评估准则,来衡量归因算法所预测的输入单元重要性值是否合理。
当然,我们的理论分析不只适用于 14 种归因算法,理论上可以统一更多的类似研究。因为人力有限,这篇论文里我们仅仅讨论 14 种算法。
研究的真正难点在于,不同的经验性归因算法往往都是搭建在不同的直觉之上的,每篇论文都仅仅努力从各自的角度「自圆其说」,分别基于不同的直觉或角度来设计归因算法,而缺少一套规范的数学语言来统一描述各种算法的本质。
算法回顾
在讲数学以前,本文先从直觉层面简单回顾之前的算法。
1. 基于梯度的归因算法。这一类算法普遍认为,神经网络的输出对每个输入单元的梯度可以反映输入单元的重要性。例如,Gradient*Input 算法将输入单元的重要性建模为梯度与输入单元值的逐元素乘积。考虑到梯度仅能反映输入单元的局部重要性,Smooth Gradients 和 Integrated Gradients 算法将重要性建模为平均梯度与输入单元值的逐元素乘积,其中这两种方法中的平均梯度分别指输入样本邻域内梯度的平均值或输入样本到基准点(baseline point)间线性插值点的梯度平均值。类似地,Grad-CAM 算法采用网络输出对每个 channel 中所有特征梯度的平均值,来计算重要性分数。进一步,Expected Gradients 算法认为,选择单个基准点往往会导致有偏的归因结果,从而提出将重要性建模为不同基准点下 Integrated Gradients 归因结果的期望。
2. 基于逐层反向传播的归因算法。深度神经网络往往极为复杂,而每一层神经网络的结构相对简单(比如深层特征通常是浅层特征的线性加和 + 非线性激活函数),便于分析浅层特征对深层特征的重要性。因此,这类算法通过估计中层特征的重要性,并将这些重要性逐层传播直至输入层,得到输入单元的重要性。这一类算法包括 LRP-epsilon, LRP-alphabeta, Deep Taylor, DeepLIFT Rescale, DeepLIFT RevealCancel, DeepShap 等。不同反向传播算法间的根本区别在于,他们采用了不同的重要性逐层传播规则。
3. 基于遮挡的归因算法。这类算法根据遮挡某一输入单元对模型输出的影响,来推断该输入单元的重要性。例如,Occlusion-1(Occlusion-patch)算法将第 i 个像素(像素块)的重要性建模为其它像素未被遮挡时,像素 i 未遮挡和遮挡两种情况下的输出改变量。Shapley value 算法则综合考虑了其它像素的所有可能遮挡情况,并将重要性建模为不同遮挡情况下像素 i 对应输出改变量的平均值。研究已证明,Shapley value 是唯一满足 linearity, dummy, symmetry, efficiency 公理的归因算法。
统一 14 种经验性归因算法的内在机理
在深入研究多种经验性归因算法后,我们不禁思考一个问题:在数学层面上,神经网络的归因究竟在解决什么问题?在众多经验性归因算法的背后,是否蕴含着某种统一的数学建模与范式?为此,我们尝试从归因的定义出发,着眼考虑上述问题。归因,是指每一个输入单元对神经网络输出的重要性分数 / 贡献。那么,解决上述问题的关键在于,(1)在数学层面上建模「输入单元对网络输出的影响机制」,(2)解释众多经验性归因算法是如何利用该影响机制,来设计重要性归因公式。
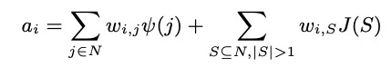
针对第一个关键点,我们研究发现:每一个输入单元往往通过两种方式影响神经网络的输出。一方面,某一个输入单元无需依赖其他输入单元,可独立作用并影响网络输出,这类影响称为 “独立效应”。另一方面,一个输入单元需要通过与其他输入单元共同协作,形成某种模式,进而对网络输出产生影响,这类影响称为 “交互效应”。我们理论证明了,神经网络的输出可以严谨解构为不同输入变量的独立效应,以及不同集合内输入变量间的交互效应。
其中,
表示第 i 个输入单元的独立效应,
表示集合 S 内多个输入单元间的交互效应。针对第二个关键点,我们探究发现,所有 14 种现有经验性归因算法的内在机理,都可以表示对上述独立效用和交互效用的一种分配,而不同归因算法按不同的比例来分配神经网络输入单元的独立效用和交互效用。具体地,令
表示第 i 个输入单元的归因分数。我们严格证明了,所有 14 种经验性归因算法得到的
,都可以统一表示为下列数学范式(即独立效用和交互效用的加权和):
其中,
反映了将第 j 个输入单元的独立效应分配给第 i 个输入单元的比例,
表示将集合 S 内多个输入单元间的交互效应分配给第 i 个输入单元的比例。众多归因算法的 “根本区别” 在于,不同归因算法对应着不同的分配比例
。
表 1 展示了十四种不同的归因算法分别是如何对独立效应与交互效应进行分配。

图表 1. 十四种归因算法均可以写成独立效应与交互效应加权和的数学范式。其中
分别表示泰勒独立效应和泰勒交互效应,满足
,是对独立效应
和
交互效的细化。















评价归因算法可靠性的三大准则
在归因解释研究中,由于无从获得 / 标注神经网络归因解释的真实值,人们无法从实证角度评价某一个归因解释算法的可靠性。“缺乏对归因解释算法可靠性的客观评价标准” 这一根本缺陷,引发了学界对归因解释研究领域的广泛批评与质疑。
而本研究中对归因算法公共机理的揭示,使我们能在同一理论框架下,公平地评价和比较不同归因算法的可靠性。具体地,我们提出了以下三条评估准则,以评价某一个归因算法是否公平合理地分配独立效应和交互效应。
(1)准则一:分配过程中涵盖所有独立效应和交互效应。当我们将神经网络输出解构为独立效应与交互效应后,可靠的归因算法在分配过程中应尽可能涵盖所有的独立效应和交互效应。例如,对 I’m not happy 句子的归因中,应涵盖三个单词 I’m, not, happy 的所有独立效应,同时涵盖 J (I’m, not), J (I’m, happy), J (not, happy), J (I’m, not, happy) 等所有可能的交互效应。
(2)准则二:避免将独立效应和交互分配给无关的输入单元。第 i 个输入单元的独立效应,只应分配给第 i 个输入单元,而不应分配给其它输入单元。类似地,集合 S 内输入单元间的交互效应,只应分配给集合 S 内的输入单元,而不应分配给集合 S 以外的输入单元(未参与交互)。例如,not 和 happy 之间的交互效应,不应分配给单词 I’m。
(3)准则三:完全分配。每个独立效应(交互效应)应当完全分配给对应的输入单元。换句话说,某一个独立效应(交互效应)分配给所有对应输入单元的归因值,加起来应当恰好等于该独立效应(交互效应)的值。例如,交互效应 J (not, happy) 会分配一部分效应
(not, happy) 给单词 not,同时分配一部分效应
(not, happy) 给单词 happy。那么,分配比例应满足
。
接着,我们采用这三条评估准则,评估了上述 14 种不同归因算法(如表 2 所示)。我们发现,Integrated Gradients, Expected Gradients, Shapley value, Deep Shap, DeepLIFT Rescale, DeepLIFT RevealCancel 这些算法满足所有的可靠性准则。

表 2. 总结 14 种不同归因算法是否满足三条可靠性评估准则。
作者介绍
本文作者邓辉琦,是中山大学应用数学专业的博士,博士期间曾在香港浸会大学和德州农工大学计算机系访问学习,现于张拳石老师团队进行博士后研究。研究方向主要为可信 / 可解释机器学习,包括解释深度神经网络的归因重要性、解释神经网络的表达能力等。
邓辉琦前期做了很多工作。张老师只是在初期工作结束以后,帮她重新梳理了一遍理论,让证明方式和体系更顺畅一些。邓辉琦毕业前论文不是很多,21 年末来张老师这边以后,在博弈交互的体系下,一年多做了三个工作,包括(1)发现并理论解释了神经网络普遍存在的表征瓶颈,即证明神经网络更不善于建模中等复杂度的交互表征。这一工作有幸被选为 ICLR 2022 oral 论文,审稿得分排名前五(得分 8 8 8 10)。(2)理论证明了贝叶斯网络的概念表征趋势,为解释贝叶斯网络的分类性能、泛化能力和对抗鲁棒性提供了新的视角。(3)从理论层面上解释了神经网络在训练过程中对不同复杂度交互概念的学习能力。
终于介绍完啦!小伙伴们,这篇关于《理解并统一14种归因算法,让神经网络具有可解释性》的介绍应该让你收获多多了吧!欢迎大家收藏或分享给更多需要学习的朋友吧~golang学习网公众号也会发布科技周边相关知识,快来关注吧!
GPT-4王者加冕!读图做题性能炸天,凭自己就能考上斯坦福
- 上一篇
- GPT-4王者加冕!读图做题性能炸天,凭自己就能考上斯坦福
- 下一篇
- CoRL 2022优秀论文;语言模型生成自然界没有的蛋白质
-
- 科技周边 · 人工智能 | 1小时前 |
- Mac Studio集群:多机跑70B大模型教程
- 370浏览 收藏
-
- 科技周边 · 人工智能 | 1小时前 | CanvaAI Canva可画
- Canva Pro会员价格及权益详解
- 246浏览 收藏
-
- 科技周边 · 人工智能 | 1小时前 | Hermes Agent HermesAgent
- Hermes Agent缓存清理方法【技巧】
- 420浏览 收藏
-
- 科技周边 · 人工智能 | 1小时前 | 骡子快跑
- 骡子快跑模拟面试怎么设置
- 382浏览 收藏
-
- 科技周边 · 人工智能 | 1小时前 | CodeGeeX
- 判断今天日期是否为指定日期
- 296浏览 收藏
-
- 科技周边 · 人工智能 | 2小时前 |
- DeepSeek替代ChatGPT优势解析
- 264浏览 收藏
-
- 科技周边 · 人工智能 | 2小时前 |
- 如何查看Perplexity API账单?进入Settings Billing管理面板
- 263浏览 收藏
-
- 科技周边 · 人工智能 | 2小时前 |
- 矢量图天花板!Recraft一键生成SVG全流程
- 446浏览 收藏
-
- 科技周边 · 人工智能 | 2小时前 | Hermes Agent HermesAgent
- HermesAgent数据归档:策略集成实战教程
- 104浏览 收藏
-
- 科技周边 · 人工智能 | 2小时前 |
- WorkBuddy一键配置文件下发方法
- 170浏览 收藏
-
- 科技周边 · 人工智能 | 2小时前 | Midjourney
- Midjourney生成表情包Gif制作教程
- 383浏览 收藏
-
- 前端进阶之JavaScript设计模式
- 设计模式是开发人员在软件开发过程中面临一般问题时的解决方案,代表了最佳的实践。本课程的主打内容包括JS常见设计模式以及具体应用场景,打造一站式知识长龙服务,适合有JS基础的同学学习。
- 543次学习
-
- GO语言核心编程课程
- 本课程采用真实案例,全面具体可落地,从理论到实践,一步一步将GO核心编程技术、编程思想、底层实现融会贯通,使学习者贴近时代脉搏,做IT互联网时代的弄潮儿。
- 516次学习
-
- 简单聊聊mysql8与网络通信
- 如有问题加微信:Le-studyg;在课程中,我们将首先介绍MySQL8的新特性,包括性能优化、安全增强、新数据类型等,帮助学生快速熟悉MySQL8的最新功能。接着,我们将深入解析MySQL的网络通信机制,包括协议、连接管理、数据传输等,让
- 500次学习
-
- JavaScript正则表达式基础与实战
- 在任何一门编程语言中,正则表达式,都是一项重要的知识,它提供了高效的字符串匹配与捕获机制,可以极大的简化程序设计。
- 487次学习
-
- 从零制作响应式网站—Grid布局
- 本系列教程将展示从零制作一个假想的网络科技公司官网,分为导航,轮播,关于我们,成功案例,服务流程,团队介绍,数据部分,公司动态,底部信息等内容区块。网站整体采用CSSGrid布局,支持响应式,有流畅过渡和展现动画。
- 485次学习
-
- ChatExcel酷表
- ChatExcel酷表是由北京大学团队打造的Excel聊天机器人,用自然语言操控表格,简化数据处理,告别繁琐操作,提升工作效率!适用于学生、上班族及政府人员。
- 4510次使用
-
- Any绘本
- 探索Any绘本(anypicturebook.com/zh),一款开源免费的AI绘本创作工具,基于Google Gemini与Flux AI模型,让您轻松创作个性化绘本。适用于家庭、教育、创作等多种场景,零门槛,高自由度,技术透明,本地可控。
- 4862次使用
-
- 可赞AI
- 可赞AI,AI驱动的办公可视化智能工具,助您轻松实现文本与可视化元素高效转化。无论是智能文档生成、多格式文本解析,还是一键生成专业图表、脑图、知识卡片,可赞AI都能让信息处理更清晰高效。覆盖数据汇报、会议纪要、内容营销等全场景,大幅提升办公效率,降低专业门槛,是您提升工作效率的得力助手。
- 4739次使用
-
- 星月写作
- 星月写作是国内首款聚焦中文网络小说创作的AI辅助工具,解决网文作者从构思到变现的全流程痛点。AI扫榜、专属模板、全链路适配,助力新人快速上手,资深作者效率倍增。
- 6581次使用
-
- MagicLight
- MagicLight.ai是全球首款叙事驱动型AI动画视频创作平台,专注于解决从故事想法到完整动画的全流程痛点。它通过自研AI模型,保障角色、风格、场景高度一致性,让零动画经验者也能高效产出专业级叙事内容。广泛适用于独立创作者、动画工作室、教育机构及企业营销,助您轻松实现创意落地与商业化。
- 5098次使用
-
- GPT-4王者加冕!读图做题性能炸天,凭自己就能考上斯坦福
- 2023-04-25 501浏览
-
- 单块V100训练模型提速72倍!尤洋团队新成果获AAAI 2023杰出论文奖
- 2023-04-24 501浏览
-
- ChatGPT 真的会接管世界吗?
- 2023-04-13 501浏览
-
- VR的终极形态是「假眼」?Neuralink前联合创始人掏出新产品:科学之眼!
- 2023-04-30 501浏览
-
- 实现实时制造可视性优势有哪些?
- 2023-04-15 501浏览

