单卡就能运行AI画画模型,小白也能看懂的教程来了,还有100万卡时免费NPU算力可用
本篇文章给大家分享《单卡就能运行AI画画模型,小白也能看懂的教程来了,还有100万卡时免费NPU算力可用》,覆盖了科技周边的常见基础知识,其实一个语言的全部知识点一篇文章是不可能说完的,但希望通过这些问题,让读者对自己的掌握程度有一定的认识(B 数),从而弥补自己的不足,更好的掌握它。
最近爆火的AI绘图,相信大家并不陌生了。
从AI绘图软件生成的作品打败一众人类艺术家,斩获数字艺术类冠军,到如今DALL.E、Imagen、novelai等国内外平台遍地开花。
也许你也曾点开过相关网站,尝试让AI描绘你脑海中的风景,又或者上传了一张自己帅气/美美的照片,然后对着最后生成的糙汉哭笑不得。
那么,在你感受AI绘图魅力的同时,有没有想过(不你肯定想过),它背后的奥妙究竟是什么?

△美国科罗拉多州技术博览会中获得数字艺术类冠军的作品——《太空歌剧院》
一切,都要从一个名为DDPM的模型说起…
DDPM是什么?
DDPM模型,全称Denoising Diffusion Probabilistic Model,可以说是现阶段diffusion模型的开山鼻祖。
不同于前辈GAN、VAE和flow等模型,diffusion模型的整体思路是通过一种偏向于优化的方式,逐步从一个纯噪音的图片中生成图像。

△现在已有生成图像模型的对比
有的小伙伴可能会问了,什么是纯噪音图片?
很简单,老式电视机没信号时,伴随着“刺啦刺啦”噪音出现的雪花图片,就属于纯噪音图片。
而DDPM在生成阶段所做的事情,就是把这些个“雪花”一点点移除,直到清晰的图像露出它的庐山真面目,我们把这个阶段称之为“去噪”。

△纯噪音图片:老电视的雪花屏
通过描述,大家可以感受到,去噪其实是个相当复杂的过程。
没有一定的去噪规律,可能你忙活了好半天,到最后还是对着奇形怪状的图片欲哭无泪。
当然,不同类型的图片也会有不同的去噪规律,至于怎么让机器学会这种规律,有人灵机一动,想到了一种绝妙的方法:
既然去噪规律不好学,那我为什么不先通过加噪的方式,先把一张图片变成纯噪音图像,再把整个过程反着来一遍呢?
这便奠定了diffusion模型整个训练-推理的流程:先在前向过程(forward process)通过逐步加噪,将图片转换为一个近似可用高斯分布的纯噪音图像;
紧接着在反向过程(reverse process)中逐步去噪,生成图像;
最后以增大原始图像和生成图像的相似度作为目标,优化模型,直至达到理想效果。

△DDPM的训练-推理流程
到这里,不知道大家的接受度怎样?如果感觉没问题,轻轻松松的话,准备好,我要开始上大招(深入理论)啦。
1.1.1 前向过程(forward process)
前向过程又称为扩散过程(diffusion process),整体是一个参数化的马尔可夫链(Markov chain)。从初始数据分布x0~q(x)出发,每步在数据分布中添加高斯噪音,持续T次。其中从第t-1步xt-1到第t步xt的过程可以用高斯分布表示为:

通过合适的设置,随着t不断增大,原始数据x0会逐渐失去他的特征。我们可以理解为,在进行了无限次的加噪步骤后,最终的数据xT会变成没有任何特征,完全是随机噪音的图片,也就是我们最开始说的“雪花屏”。
在这个过程中,每一步的变化是可以通过设置超参βt来控制,在我们知晓最开始的图片是什么的前提下,前向加噪的整个过程可以说是已知且可控的,我们完全能知道每一步的生成数据是什么样子。
但问题在于,每次的计算都需要从起始点出发,结合每一步的过程,慢慢推导至你想要的某步数据xt,过于麻烦。好在因为高斯分布的一些特性,我们可以一步到位,直接从x0得到xt。
注意,这里的

和
为组合系数,本质上是超参的βt表达式。

1.1.2 反向过程(reverse process)
和前向过程同理,反向过程也是一个马尔可夫链(Markov chain),只不过这里用到的参数不同,至于具体参数是什么,这个就是我们需要机器来学习的部分啦。
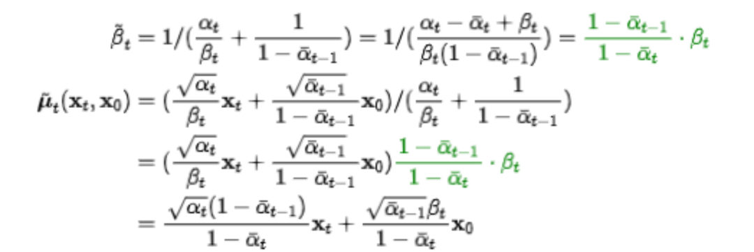
在了解机器如何学习前,我们首先思考,基于某一个原始数据x0,从第t步xt,精准反推回第t-1步xt-1的过程应该是怎样的?
答案是,这个仍可以用高斯分布表示:

注意这里必须要考虑x0,意思是反向过程最后生成图像还是要与原始数据有关。输入猫的图片,模型生成的图像应该是猫,输入狗的图片,生成的图像也应该和狗相关。若是去除掉x0,则会导致无论输入哪种类型的图片训练,最后diffusion生成的图像都一样,“猫狗不分”。
经过一系列的推导,我们发现,反向过程中的参数

和

,竟然还是可以用x0,xt,以及参数βt,
表示出来的,是不是很神奇~

当然,机器事先并不知道这个真实的反推过程,它能做到的,只是用一个大概近似的估计分布去模拟,表示为p0(xt-1|xt)。
1.1.3 优化目标
在最开始我们提到,需要通过增大原始数据和反向过程最终生成数据的相似度来优化模型。在机器学习中,我们计算该相似度参考的是交叉熵(cross entropy)。
关于交叉熵,学术上给出的定义是“用于度量两个概率分布间的差异性信息”。换句话讲,交叉熵越小,模型生成的图片就越和原始图片接近。但是,在大多数情况下,交叉熵是很难或者无法通过计算得出的,所以我们一般会通过优化一个更简单的表达式,达到同样的效果。
Diffusion模型借鉴了VAE模型的优化思路,将variational lower bound(VLB,又称ELBO)替代cross entropy来作为最大优化目标。通过无数步的分解,我们最终得到:

看到这么复杂的公式,好多小伙伴肯定头都大了。但不慌,这里需要关注的,只是中间的Lt-1罢了,它表示的是xt和xt-1之间估计分布p0(xt-1|xt)和真实分布q(xt-1|xt,x0)的差距。差距越小,模型最后生成图片的效果就越好。
1.1.4 上代码
在了解完DDPM背后的原理,接下来就让我们看看DDPM模型究竟是如何实现…
才怪啦。相信看到这里的你,肯定也不想遭受成百上千行代码的洗礼。
好在MindSpore已经为大家提供了开发完备的DDPM模型,训练推理两手抓,操作简单,单卡即可运行,想要体验效果的小伙伴,只需要先
pip install denoising-diffusion-mindspore
然后,参考如下代码配置参数:

对重要的参数进行一些解析:
GaussianDiffusion
- image_size: 图片大小
- timesteps: 加噪步数
- sampling_timesteps: 采样步数,为提升推理性能,需小于加噪步数
Trainer
- folder_or_dataset: 对应图片中的path, 可以是已下载数据集的路径(str),也可以是已做好数据处理的VisionBaseDataset, GeneratorDataset 或 MindDataset
- train_batch_size:batch大小
- train_lr: 学习率
- train_num_steps: 训练步数
“进阶版”DDPM模型MindDiffusion
DDPM只是Diffusion这个故事的开篇。目前,已有无数的研究人员被其背后瑰丽的世界所吸引,纷纷投身其中。
在不断优化模型的同时,他们也逐渐开发了Diffusion在各个领域的应用。
其中,包括了计算机视觉领域的图像优化、inpainting、3D视觉、自然语言处理中的text-to-speech、AI for Science领域的分子构象生成、材料设计等。
更有来自斯坦福大学计算机科学系的博士生Eric Zelikman大开脑洞,尝试将DALLE-2与最近另一个大火的对话模型ChatGPT相结合,制作出了温馨的绘本故事。

△DALLE-2 + ChatGPT合力完成的,关于一个名叫“罗比”的小机器人的故事
不过最广为大众所知的,应该还是它在文生图(text-to-image)方面的应用。输入几个关键词或者一段简短的描述,模型便可以为你生成相对应的图画。
比如,输入“城市夜景 赛博朋克 格雷格·路特科夫斯基”,最后生成的便是一张色彩鲜明,颇具未来科幻风格的作品。

再比如,输入“莫奈 撑阳伞的女人 月亮 梦幻”,生成的便是一张极具有朦胧感的女人画像,色彩搭配的风格有木有让你想起莫奈的《睡莲》?

想要写实风格的风景照作为屏保?没问题!

△乡村 田野 屏保
想要二次元浓度多一点的?也可以!

△来自深渊 风景 绘画 写实风格
以上这些图片,均是由MindDiffusion平台的下的悟空画画制作而成的哦,悟空画画是基于扩散模型的中文文生图大模型,由华为诺亚团队携手中软分布式并行实验室,昇腾计算产品部联合开发。
模型基于Wukong dataset训练,并使用昇思框架(MindSpore)+昇腾(Ascend)软硬件解决方案实现。
跃跃欲试的小伙伴先别着急,为了让大家拥有更好的体验,更多自行开发的空间,我们打算让MindDiffusion中的模型同样也具备可训练、可推理的特性,预计在明年就要和大家见面啦,敬请期待。
欢迎大家头脑风暴,生成各种别具风格的作品哦~
(据去内部打探情报的同事说,有人已经开始尝试“张飞绣花”、“刘华强砍瓜”、“古希腊神大战哥斯拉”了。ummmm,怎么办,突然就很期待成品了呢(ಡωಡ))
One More Thing
最后的最后,在Diffusion爆火的如今,有人也曾发出过疑问,它为什么可以做到如此的大红大紫,甚至风头开始超过GAN网络?
Diffusion的优势突出,劣势也很明显;它的诸多领域仍是空白,它的前方还是一片未知。
为什么却有那么多的人在孜孜不倦地对它进行研究呢?
兴许,马毅教授的一番话,可以给我们提供一种解答。
但diffusion process的有效性、以及很快取代GAN也充分说明了一个简单道理:
几行简单正确的数学推导,可以比近十年的大规模调试超参调试网络结构有效得多。
或许,这就是Diffusion模型的魅力吧。
参考链接(可滑动查看):
[1]https://medium.com/mlearning-ai/ai-art-wins-fine-arts-competition-and-sparks-controversy-882f9b4df98c
[2]Jonathan Ho, Ajay Jain, and Pieter Abbeel. Denoising Diffusion Probabilistic Models. arXiv:2006.11239, 2020.
[3]Ling Yang, Zhilong Zhang, Shenda Hong, Runsheng Xu, Yue Zhao, Yingxia Shao, Wentao Zhang, Ming-Hsuan Yang, and Bin Cui. Diffusion models: A comprehensive survey of methods and applications. arXiv preprint arXiv:2209.00796, 2022.
[4]https://lilianweng.github.io/posts/2021-07-11-diffusion-models
[5]https://github.com/lvyufeng/denoising-diffusion-mindspore
[6]https://zhuanlan.zhihu.com/p/525106459
[7]https://zhuanlan.zhihu.com/p/500532271
[8]https://www.zhihu.com/question/536012286
[9]https://mp.weixin.qq.com/s/XTNk1saGcgPO-PxzkrBnIg
[10]https://m.weibo.cn/3235040884/4804448864177745
以上就是《单卡就能运行AI画画模型,小白也能看懂的教程来了,还有100万卡时免费NPU算力可用》的详细内容,更多关于软件,AI,绘图的资料请关注golang学习网公众号!
速揽2500星,Andrej Karpathy重写了一份minGPT库
- 上一篇
- 速揽2500星,Andrej Karpathy重写了一份minGPT库
- 下一篇
- 资源预测数字模型搭建思路分享
-
- 科技周边 · 人工智能 | 10分钟前 |
- ChatGPT整理乱序笔记技巧
- 150浏览 收藏
-
- 科技周边 · 人工智能 | 21分钟前 |
- OpenClaw性能优化技巧分享
- 463浏览 收藏
-
- 科技周边 · 人工智能 | 54分钟前 |
- 提升PPT逻辑说服力,用ChatGPT梳理金字塔结构
- 352浏览 收藏
-
- 科技周边 · 人工智能 | 1小时前 |
- Kimi一键解析长文档技巧分享
- 236浏览 收藏
-
- 科技周边 · 人工智能 | 1小时前 | QClaw
- QClaw能接入企业微信吗?详解部署方案
- 482浏览 收藏
-
- 科技周边 · 人工智能 | 1小时前 |
- tofai手机版官网入口 tofai电脑版官网
- 193浏览 收藏
-
- 科技周边 · 人工智能 | 2小时前 | openclaw
- OpenClaw技能冲突解决方法及优先级技巧
- 312浏览 收藏
-
- 科技周边 · 人工智能 | 2小时前 |
- AI视频一键生成教程 | 本地软件使用指南
- 324浏览 收藏
-
- 科技周边 · 人工智能 | 2小时前 |
- 文心一言怎么用?代码编写与纠错教程
- 427浏览 收藏
-
- 科技周边 · 人工智能 | 2小时前 |
- Minimax模板使用教程及调用方法
- 125浏览 收藏
-
- 科技周边 · 人工智能 | 2小时前 |
- 夸克AI怎么用标签筛选年份
- 249浏览 收藏
-
- 科技周边 · 人工智能 | 3小时前 |
- Minimax视频提示词权重设置全解析
- 178浏览 收藏
-
- 前端进阶之JavaScript设计模式
- 设计模式是开发人员在软件开发过程中面临一般问题时的解决方案,代表了最佳的实践。本课程的主打内容包括JS常见设计模式以及具体应用场景,打造一站式知识长龙服务,适合有JS基础的同学学习。
- 543次学习
-
- GO语言核心编程课程
- 本课程采用真实案例,全面具体可落地,从理论到实践,一步一步将GO核心编程技术、编程思想、底层实现融会贯通,使学习者贴近时代脉搏,做IT互联网时代的弄潮儿。
- 516次学习
-
- 简单聊聊mysql8与网络通信
- 如有问题加微信:Le-studyg;在课程中,我们将首先介绍MySQL8的新特性,包括性能优化、安全增强、新数据类型等,帮助学生快速熟悉MySQL8的最新功能。接着,我们将深入解析MySQL的网络通信机制,包括协议、连接管理、数据传输等,让
- 500次学习
-
- JavaScript正则表达式基础与实战
- 在任何一门编程语言中,正则表达式,都是一项重要的知识,它提供了高效的字符串匹配与捕获机制,可以极大的简化程序设计。
- 487次学习
-
- 从零制作响应式网站—Grid布局
- 本系列教程将展示从零制作一个假想的网络科技公司官网,分为导航,轮播,关于我们,成功案例,服务流程,团队介绍,数据部分,公司动态,底部信息等内容区块。网站整体采用CSSGrid布局,支持响应式,有流畅过渡和展现动画。
- 485次学习
-
- ChatExcel酷表
- ChatExcel酷表是由北京大学团队打造的Excel聊天机器人,用自然语言操控表格,简化数据处理,告别繁琐操作,提升工作效率!适用于学生、上班族及政府人员。
- 4224次使用
-
- Any绘本
- 探索Any绘本(anypicturebook.com/zh),一款开源免费的AI绘本创作工具,基于Google Gemini与Flux AI模型,让您轻松创作个性化绘本。适用于家庭、教育、创作等多种场景,零门槛,高自由度,技术透明,本地可控。
- 4578次使用
-
- 可赞AI
- 可赞AI,AI驱动的办公可视化智能工具,助您轻松实现文本与可视化元素高效转化。无论是智能文档生成、多格式文本解析,还是一键生成专业图表、脑图、知识卡片,可赞AI都能让信息处理更清晰高效。覆盖数据汇报、会议纪要、内容营销等全场景,大幅提升办公效率,降低专业门槛,是您提升工作效率的得力助手。
- 4463次使用
-
- 星月写作
- 星月写作是国内首款聚焦中文网络小说创作的AI辅助工具,解决网文作者从构思到变现的全流程痛点。AI扫榜、专属模板、全链路适配,助力新人快速上手,资深作者效率倍增。
- 6112次使用
-
- MagicLight
- MagicLight.ai是全球首款叙事驱动型AI动画视频创作平台,专注于解决从故事想法到完整动画的全流程痛点。它通过自研AI模型,保障角色、风格、场景高度一致性,让零动画经验者也能高效产出专业级叙事内容。广泛适用于独立创作者、动画工作室、教育机构及企业营销,助您轻松实现创意落地与商业化。
- 4832次使用
-
- GPT-4王者加冕!读图做题性能炸天,凭自己就能考上斯坦福
- 2023-04-25 501浏览
-
- 单块V100训练模型提速72倍!尤洋团队新成果获AAAI 2023杰出论文奖
- 2023-04-24 501浏览
-
- ChatGPT 真的会接管世界吗?
- 2023-04-13 501浏览
-
- VR的终极形态是「假眼」?Neuralink前联合创始人掏出新产品:科学之眼!
- 2023-04-30 501浏览
-
- 实现实时制造可视性优势有哪些?
- 2023-04-15 501浏览

