视觉自动驾驶最新技术路线浅析
IT行业相对于一般传统行业,发展更新速度更快,一旦停止了学习,很快就会被行业所淘汰。所以我们需要踏踏实实的不断学习,精进自己的技术,尤其是初学者。今天golang学习网给大家整理了《视觉自动驾驶最新技术路线浅析》,聊聊,我们一起来看看吧!
背景
自动驾驶是逐渐从预言阶段向工业化阶段的一个过渡,具体表现可分为4点。首先,在大数据的背景下,数据集的规模在快速扩张导致以前在小规模数据集上开发原型的细节会被大量过滤掉,能在大规模数据上有效的工作才会被留下来。其次是关注点的切换,从单目切换到多目场景,导致复杂度提升。然后是倾向于对应用友好的设计,如输出的空间从图像空间向BEV空间的转移。
最后就是从之前单纯追求精度到逐渐同时考虑推理速度。同时自动驾驶场景下需要快速响应,因此对性能的要求会考虑速度方面,另外就是更多的去考虑如何部署到边缘设备。
还有一部分的背景是在过去10年里,视觉感知在深度学习的推动下快速发展,分类检测、分割等主流的方向上有大量的工作以及部分相当成熟的范式。自动驾驶场景里的视觉感知在发展的过程中,像特征编码的目标定义、感知范式和监督等方面都大量借鉴了这些主流的方向,因此在投身自动驾驶感知之前,这些主流的方向都应该去涉猎一下。
在这些背景之下,过去一年涌现了大量针对大规模数据集的三维目标检测工作,如图1所示(标红的为曾经第一过的算法)。

图1 三维目标检测近一年发展
技术路线
Lifting
自动驾驶场景中视觉感知和主流的视觉的感知区别主要在于给定的目标定义空间不同,主流的视觉感知的目标定义在图像空间,自动驾驶场景的目标定义在3维空间。在输入都是图像的情况下,获取3维空间的结果就需要有一个Lift的过程,这就是自动驾驶视觉感知核心的问题。
我们可以把解决Lift对象问题的方法分为输入、中间特征和输出,输入级别的一个例子就是视角变化,其原理是利用图像去推理深度信息,然后利用深度信息把图像的RGB值投影到三维空间,得到一个带颜色的点云,后面就沿用点云检测的相关工作。
目前比较有前景的是特征级别的变换或特征级别的Lift,如DETR3D这些都是在特征级别进行空间变化,特征级别变换的好处是可以避免重复的去提取图像级别的特征,计算量小,也可以避免输出级别的环视结果融合的问题。当然特征级别的转换也会有一些典型的问题,如通常会用到一些奇怪的OP,导致部署的时候并不友好。
目前特征级别的Lift过程比较鲁棒的主要有基于深度和注意力机制策略,分别具有代表性的为BEVDet和DETR3D。基于深度的策略是通过计算图像的每一点的深度,然后根据相机的成像模型把特征投影到3维空间,从而完成Lift的一个过程。基于注意力机制的策略是通过预先定义3维空间中的一个对象当做query,通过内外参找到和三维空间中点所对应的图像特征当做key和value,再通过attention的方式去计算得到一个3维空间中对象的一个特征。
当前所有的算法都基本上高度依赖于相机模型,无论是基于深度的还是基于注意力机制的,这就会导致对标定敏感以及计算过程普遍偏复杂。而那些抛弃相机模型的算法往往会缺乏鲁棒性,所以这方面还没有完全的成熟。
Temporal
时序(Temporal)的信息可以有效提高目标检测的效果。对于自动驾驶的场景来说,时序具有更深层次的意义在于目标的速度是当前场景下主要的感知目标之一。速度重点在于变化,单帧数据并不具备充分的变化信息,因此需要去建模来提供时间维度的一个变化信息。现有的点云时序建模方法是把多帧的点云混合在一起作为输入,这样可以得到比较稠密的点云,使得检测更准确。另外多帧的点云含有持续的信息,后面在网络训练过程中通过BP学会如何提取这个持续的信息,以解决速度估计这种需要持续信息的任务。
视觉感知的时序建模方式主要来源于BEVDet4D和BEVFormer。BEVDet4D通过简单的融合两帧的一个特征,为后续的网络提供一个持续的信息。另外一个路径是基于attention的,同时提供单时帧和逆时针的特征作为query的一个对象,然后通过attention的方式同时去查询这两个特征,从而去提取时序的信息。
Depth
自动驾驶视觉感知相比于雷达感知的一个最大的缺点就是深度估计的准确度。论文《probabilistic and geometric depth: detecting objects in perspective》通过替换GT的方法来研究不同因素对表现分的影响程度,分析得到的主要结论是精确的深度估计可以带来显著的性能提升。
但深度估计是当前视觉感知的一个主要的瓶颈,目前改进的思路主要就有两种,一种是在PGD里面利用几何约束对预测的深度图进行refine。另一种是利用激光雷达作为监督去获得一个鲁邦性更好的深度估计。
目前流程上优胜的方案BEVDepth,是在训练的过程中利用激光雷达所提供的深度信息去对变化过程中的深度估计进行监督,和感知的主任务同时进行。
Muti-modality/Multi-Task
多任务是希望在一个统一的框架上去完成多种的感知任务,通过这个计算能够达到节省资源或者加速计算推理的目的。但目前的方法基本上都是在得到一个统一的特征之后,通过不同的层次去处理特征来简单的实现多任务,普遍都存在任务合并之后,性能下降的问题。多模态也差不多普遍都是在整个判断里面找到一个可以直接融合的形式,然后实现一个简单的融合
BEVDet系列
BEVDet
BEVDet网络如图2所示,特征提取过程主要是提取的图像空间的一个特征转化成一个BEV空间的特征,然后进一步的去编码这个特征,得到一个预测可用的特征,最后用稠密预测的方式进行目标预测。

图2 BEVDet网络结构
视角变化模块过程分两步走,首先假设要变换的特征的大小是VxCxHxW,然后在图像空间以分类的方式去预测一个深度,对于每一个像素得到一个D维的深度分布,那么就可以利用这两个将不同深度的特征进行渲染,得到一个视觉特征,然后利用相机模型将它投影到3维空间中,对3维空间进行体素化,其次进行splat过程得到BEV特征。
视角变化模块的一个非常重要特点是在数据增缓中起到了一个相互隔离的作用。具体而言就是经过相机的内参,可以投影到3维空间中得到相机坐标系上的一个点,当数据增广的作用在图像空间上点的时候,为了维持在这个相机坐标系上点的坐标不变,则需要做一个逆变换,即在相机坐标系上面的一个坐标在增广前和增广后是不变的,这就起到了一个相互隔离的效果。相互隔离的缺点是图像空间的增广并不会对BEV空间的学习起到正则化的作用,优点可以提高BEV空间学习的鲁棒性
我们从实验上可以得到几个比较重要的结论。首先,在使用了BEV空间的编码器之后,算法更容易陷入过拟合的情况。另外一个结论是BEV空间的增广会比图像空间的增广对性能的影响更大。
还有就是BEV空间的目标尺寸和类别高度的相关,同时目标之间的重合长度很小会导致一些问题,观察到在图像空间里面设计的非极大值抑制方法并非是最优的。同时加速的策略的核心是利用并行的计算方式去给不同小的计算任务去分配独立的线程去达到并行计算加速的目的,优点在于没有额外的显存开销。
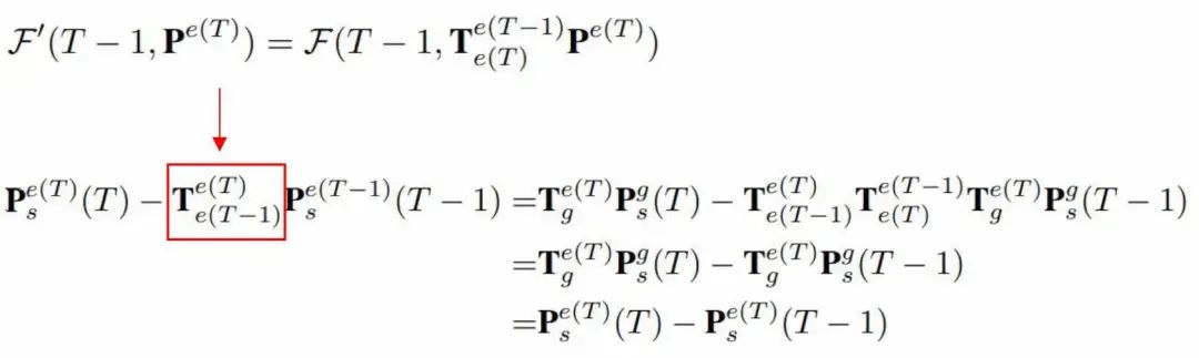
BEVDet4D
BEVDet4D网络结构如图3所示。该网络的主要关注点在于怎么把逆时帧的特征应用到当前帧,我们选择输入的特征作为一个保留的对象,但没有选择这个图像特征,因为目标的变量都是定义在BEV空间,而图像的特征并不适用于直接的时序建模。同时也没有选择BEV Encoder后面的特征去作为持续融合的特征,因为我们需要在BEV Encoder的中进行一个持续特征的提取。
考虑到视角变化模块输出的特征比较稀疏,因此在视角变换后接了一个额外的BEV Encoder去提取初步BEV特征,再去进行一个时序的建模。在时序融合的时候,我们把逆时帧的特征通过对齐之后和当前针进行简单的拼接就完成这个时序的一个融合,其实我们在这里就是把这个时序特征的提取的任务就交给了后面的BEV去做。

图3 BEVDet4D网络结构
怎么去设计与网络结构相匹配的目标变量?在这之前,我们首先要了解一下网络的一些关键的特性,首先是特征的感受野,因为网络是通过BP学习,特征的感受野是由输出空间所决定的。
自动驾驶的感知算法的输出空间一般会定义在自车周围的一定范围内的空间,特征图就可以视为该连续空间上一个均匀分布,角点对齐的一个离散采样。由于在特征图的感受野是定义在自车周围的一定范围内就会随着自车的运动而发生了变化,因此在两个不同时间节点,特征图的感受野在世界坐标系上面是有一定的偏移的。
若直接把两个特征进行一个拼接,静态目标在两个特征图中的位置是不同的,动态目标在这两个特征途图中的偏移量等于自测的偏移量加上动态目标在世界坐标系中的偏移量。根据模式一致的一个原则,既然拼接的特征里面目标的偏移量是跟自车相关的,因此在设定网络的学习目标的时候,应该是目标在这两张特征图中的位置的变化量。
根据下面的公式去进行推导,可以得到一个学习的目标是跟自测的运动是不相关的,只跟目标在世界坐标系下面的一个运动相关。

我们从上述推导得到的学习目标和当前主流方法的学习目标区别就在于去掉了时间成分,而速度等于位移/时间,但这两个特征中并没有提供时间相关的线索,所以如果学习这个速度的目标,需要网络去准确的估计出这个时间的成分,这就增加了一个学习的难度。在实际中,我们可以把训练过程中两帧的时间设定为恒定值,一个恒定的时间间隔网络是可以通过学 BP学习到的。
在时域的增广当中,我们在训练过程中随机的采用不同的时间间隔,在不同的时间间隔下,目标在两张这张图中的偏移量不同,学习的目标偏移量也不同,以此达到模型对不同偏移量的鲁邦效果。同时,模型对于目标的偏移量是有一定的灵敏度的,即如果间隔太小,两帧之间变化太小就很难被感知到。因此在测试的时候选择一个合适的时间间隔,可以有效提高模型的一个泛化的性能。
BEVDepth
这篇是利用雷达去得到一个鲁棒性的深度估计,如图4所示。它通过利用点云去对变化模块中的深度分布去进行监督,这个监督是稀疏的,这个稀疏是相比于目标所提供的深度监督来说是稠密的,但是也没有达到每个像素都有一个准确的深度监督,也是相对稀疏。不过可以提供更多的样本,提高这个深度估计的一个泛化的性能。

图4 BEVDepth网络结构
这篇工作另外一个方面是把特征和深度分了两个分支进行估计,并且在深度估计的分支里面增加额外的残差网络以提高深度估计分支的感受野。研究人员认为这个相机内外参的精度问题会导致context和深度是不对齐的,当这个深度估计的网络的感受不够大的时候,会有一定的精度损失。
最后就是将这个相机的内参作为一个深度估计的分支输入,使用了一个类似于NSE的方式,对输入特征的通道进行一个通道层面的调整,这可以有效提高网络对于不同的相机内参的鲁棒性。
局限性与相关的讨论
首先,自动驾驶的视觉感知最终服务于部署,而在部署的时候会涉及到数据的问题和模型的问题。数据的问题涉及到一个多样性的问题和数据标注,因为人工标注是非常昂贵的,因此看以后能不能够实现自动化的标注。
目前来说对于动态目标的标注还是前所未有的,对于静态目标可以通过3维重建去得到一个偏自动化标注或者半自动化的标注。另外是模型方面,现在的模型设计对标定是一个不鲁棒的或说是对标定是敏感的,那么怎么样去让模型对标定鲁棒或者说不依赖于标定这也是一个值得思考的问题。
另外就是网络结构加速的问题,能不能用通用的OP去实现视角的变化且这个问题会影响到网络加速的过程。
今天关于《视觉自动驾驶最新技术路线浅析》的内容介绍就到此结束,如果有什么疑问或者建议,可以在golang学习网公众号下多多回复交流;文中若有不正之处,也希望回复留言以告知!
被炒上天了的AI,嗨得太离谱!
- 上一篇
- 被炒上天了的AI,嗨得太离谱!
- 下一篇
- 情感AI:为什么它是数字医疗的未来?
-
- 科技周边 · 人工智能 | 11分钟前 |
- Figma图层命名加Emoji,批量重命名工具推荐
- 242浏览 收藏
-
- 科技周边 · 人工智能 | 14分钟前 | Hermes Agent HermesAgent
- HermesAgent连接Ollama:配置CustomEndpoint离线运行指南
- 296浏览 收藏
-
- 科技周边 · 人工智能 | 31分钟前 | Midjourney
- MJ 3D皮克斯风格渲染技巧
- 458浏览 收藏
-
- 科技周边 · 人工智能 | 38分钟前 |
- WorkBuddy域名解析异常解决方法
- 199浏览 收藏
-
- 科技周边 · 人工智能 | 41分钟前 |
- Perplexity Pro配额24小时刷新机制解析
- 444浏览 收藏
-
- 科技周边 · 人工智能 | 56分钟前 | 即梦AI
- 即梦AI权限被拒怎么处理?
- 310浏览 收藏
-
- 科技周边 · 人工智能 | 1小时前 |
- DeepSeek回复中断原因及Token扩容方法
- 331浏览 收藏
-
- 科技周边 · 人工智能 | 1小时前 |
- 文心一言不支持大文件,建议转TXT分批粘贴
- 438浏览 收藏
-
- 科技周边 · 人工智能 | 1小时前 | openclaw
- 多模型路由配置:OpenClaw智能切换GPT-4与本地模型
- 448浏览 收藏
-
- 科技周边 · 人工智能 | 1小时前 |
- AI参考线设置技巧与开启方法
- 440浏览 收藏
-
- 科技周边 · 人工智能 | 1小时前 |
- DeepSeek V4做PPT:大纲转幻灯片教程
- 133浏览 收藏
-
- 科技周边 · 人工智能 | 1小时前 |
- WorkBuddy微信扫码报错:RedirectURL错误怎么解决
- 482浏览 收藏
-
- 前端进阶之JavaScript设计模式
- 设计模式是开发人员在软件开发过程中面临一般问题时的解决方案,代表了最佳的实践。本课程的主打内容包括JS常见设计模式以及具体应用场景,打造一站式知识长龙服务,适合有JS基础的同学学习。
- 543次学习
-
- GO语言核心编程课程
- 本课程采用真实案例,全面具体可落地,从理论到实践,一步一步将GO核心编程技术、编程思想、底层实现融会贯通,使学习者贴近时代脉搏,做IT互联网时代的弄潮儿。
- 516次学习
-
- 简单聊聊mysql8与网络通信
- 如有问题加微信:Le-studyg;在课程中,我们将首先介绍MySQL8的新特性,包括性能优化、安全增强、新数据类型等,帮助学生快速熟悉MySQL8的最新功能。接着,我们将深入解析MySQL的网络通信机制,包括协议、连接管理、数据传输等,让
- 500次学习
-
- JavaScript正则表达式基础与实战
- 在任何一门编程语言中,正则表达式,都是一项重要的知识,它提供了高效的字符串匹配与捕获机制,可以极大的简化程序设计。
- 487次学习
-
- 从零制作响应式网站—Grid布局
- 本系列教程将展示从零制作一个假想的网络科技公司官网,分为导航,轮播,关于我们,成功案例,服务流程,团队介绍,数据部分,公司动态,底部信息等内容区块。网站整体采用CSSGrid布局,支持响应式,有流畅过渡和展现动画。
- 485次学习
-
- ChatExcel酷表
- ChatExcel酷表是由北京大学团队打造的Excel聊天机器人,用自然语言操控表格,简化数据处理,告别繁琐操作,提升工作效率!适用于学生、上班族及政府人员。
- 4512次使用
-
- Any绘本
- 探索Any绘本(anypicturebook.com/zh),一款开源免费的AI绘本创作工具,基于Google Gemini与Flux AI模型,让您轻松创作个性化绘本。适用于家庭、教育、创作等多种场景,零门槛,高自由度,技术透明,本地可控。
- 4864次使用
-
- 可赞AI
- 可赞AI,AI驱动的办公可视化智能工具,助您轻松实现文本与可视化元素高效转化。无论是智能文档生成、多格式文本解析,还是一键生成专业图表、脑图、知识卡片,可赞AI都能让信息处理更清晰高效。覆盖数据汇报、会议纪要、内容营销等全场景,大幅提升办公效率,降低专业门槛,是您提升工作效率的得力助手。
- 4741次使用
-
- 星月写作
- 星月写作是国内首款聚焦中文网络小说创作的AI辅助工具,解决网文作者从构思到变现的全流程痛点。AI扫榜、专属模板、全链路适配,助力新人快速上手,资深作者效率倍增。
- 6583次使用
-
- MagicLight
- MagicLight.ai是全球首款叙事驱动型AI动画视频创作平台,专注于解决从故事想法到完整动画的全流程痛点。它通过自研AI模型,保障角色、风格、场景高度一致性,让零动画经验者也能高效产出专业级叙事内容。广泛适用于独立创作者、动画工作室、教育机构及企业营销,助您轻松实现创意落地与商业化。
- 5100次使用
-
- GPT-4王者加冕!读图做题性能炸天,凭自己就能考上斯坦福
- 2023-04-25 501浏览
-
- 单块V100训练模型提速72倍!尤洋团队新成果获AAAI 2023杰出论文奖
- 2023-04-24 501浏览
-
- ChatGPT 真的会接管世界吗?
- 2023-04-13 501浏览
-
- VR的终极形态是「假眼」?Neuralink前联合创始人掏出新产品:科学之眼!
- 2023-04-30 501浏览
-
- 实现实时制造可视性优势有哪些?
- 2023-04-15 501浏览

