「稀疏编码」从理论走向实用!马毅教授NeurIPS 2022新作:稀疏卷积性能和稳健性超越ResNet
科技周边小白一枚,正在不断学习积累知识,现将学习到的知识记录一下,也是将我的所得分享给大家!而今天这篇文章《「稀疏编码」从理论走向实用!马毅教授NeurIPS 2022新作:稀疏卷积性能和稳健性超越ResNet》带大家来了解一下##content_title##,希望对大家的知识积累有所帮助,从而弥补自己的不足,助力实战开发!
尽管深度神经网络在图像分类方面具有很强的经验性能(empirical performance),但这类模型往往被视为「黑盒」,最为人诟病的就是「难以解释」。
相比之下,稀疏卷积模型(sparse convolutional models)也是分析自然图像的强大工具,其假设一个信号可以由卷积字典(convolutional dictionary)中的几个元素的线性组合来表达,具有良好的理论可解释性和生物合理性。
但在实际应用中,稀疏卷积模型虽然原理上行得通,但与经验设计的深层网络相比并没有展现出应有的性能优势。
最近,马毅教授研究组在NeurIPS 2022上发表了一篇新论文,回顾了稀疏卷积模型在图像分类中的应用,并成功解决了稀疏卷积模型的经验性能和可解释性之间的不匹配问题。

论文链接:https://arxiv.org/pdf/2210.12945.pdf
代码链接:https://github.com/Delay-Xili/SDNet
文中提出的可微优化层使用卷积稀疏编码(CSC)对标准卷积层进行替换。
结果表明,与传统的神经网络相比,这些模型在 CIFAR-10、 CIFAR-100和 ImageNet 数据集上具有同样强的经验性能。
通过利用稀疏建模的稳定恢复特性,研究人员进一步表明,只需要在稀疏正则化和数据重构项之间进行简单的适当权衡,这些模型就可以对输入损坏以及测试中的对抗性扰动具有更强的鲁棒性。

马毅教授于1995年获得清华大学自动化与应用数学双学士学位,后求学于美国伯克利加州大学,并于1997年获EECS硕士学位,2000年获数学硕士学位与EECS博士学位。
毕业后在美国伊利诺伊大学香槟分校任教,并成为该校电气与计算机工程系历史上最年轻的副教授。
2009年任微软亚洲研究院视觉计算组高级研究员。2014年全职加入上海科技大学信息科学与技术学院。
2018年加入伯克利加州大学和清华-伯克利深圳学院,目前是加利福尼亚大学伯克利分校电子工程与计算机科学系教授,同时也是IEEE Fellow, ACM Fellow, SIAM Fellow
马毅教授的研究兴趣包括 3D 计算机视觉、高维数据的低维模型、可扩展性优化和机器学习,近来的研究主题包括大规模 3D 几何重构和交互以及低维模型与深度网络的关系。
稀疏卷积
虽然深度卷积网络(ConvNets)已经是图像分类的主流方法,并且性能上也超越其他模型,但其内部的组件如卷积、非线性函数和归一化等的具体数据意义还没有得到解释。
而稀疏数据建模在学习可解释表征的能力和强大的理论保证的支持下(例如处理损坏的数据),已被广泛用于许多信号和图像处理应用,但其在ImageNet等数据集上的分类性能仍然不如经验性的深度模型。
即便性能较强的稀疏模型也仍然存在缺陷:
1)需要专门设计网络结构,限制了模型的适用性;
2)训练的计算速度要慢几个数量级;
3)在可解释性和稳健性上没有表现出明显优势。
研究人员在这篇论文中提出了视觉识别框架,通过一个简单的设计证明稀疏建模可以与深度学习相结合,假设层输入可以由所有数据点所共享的字典中的几个原子(atoms)来表示,从而获得了与标准ConvNets相同的性能,同时具有更好的层级可解释性和稳定性。
该方法将稀疏建模封装在一个隐层(implicit layer)中,并将其作为标准ConvNets中卷积层的替代。
相对于经典的全连接或卷积层中所使用的显式函数(explicit function),隐层使用隐函数。这篇论文中的隐层基于该层输入和权重参数的优化问题进行定义,隐层的输出就是优化问题的解。
给定一个多维输入信号,可以将层的函数定义为执行反向映射到一个更好的稀疏输出,输出通道数可与输入不同,从而可以找到上述Lasso类型优化问题的一个最优的稀疏解。

该隐层实现了卷积稀疏编码(CSC)模型,其中输入信号被卷积字典中的原子稀疏线性组合所逼近。这种卷积词典可以看作是CSC层的参数,通过反向传播进行训练。

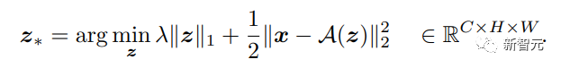
CSC模型的目标是通过A(z)算子重构输入信号,其中特征图z指定了A中卷积过滤器的位置和值。为了对建模差异具有容错度,重建并不要求精确。
基于确定的CSC层的输入-输出映射,就可以通过解决相关的优化来进行前向传播,并通过得出最优系数解相对于输入x和参数A的梯度来进行反向传播。
然后,带有CSC层的整个网络可以通过最小化交叉熵损失,以端到端的方式从标记的数据中进行训练。

实验结果
分类性能对比
实验用到的数据集为CIFAR-10和CIFAR-100,每个数据集包含50,000张训练图像和10,000张测试图像,每张图像的尺寸为32×32,RGB通道。
除了将该方法与标准网络架构ResNet-18和ResNet-34进行比较外,研究人员还与具有隐层架构的MDEQ模型和具有稀疏建模架构的SCN进行比较。

实验结果可以看到,在相似的模型规模下,SDNet-18/34的Top-1准确率与ResNet-18/34相近或更高,同时具有相似的推理速度。结果表明该网络有潜力作为现有数据驱动模型的强大替代品,因为SDNet模型在处理受损图像上有额外的优势。
将SDNet-18模型与模型规模相似的MDEQ模型进行了比较后,可以发现SDNet-18不仅比MDEQ更准确,而且速度也快得多(>7倍)。需要注意的是,MDEQ不能像SDNet那样处理受损的数据。
同样使用稀疏建模的SCN网络获得了Top-1的准确度,但SCN的一个重要缺点是它的训练速度非常慢,原因可能是SCN对图像使用了基于patch的稀疏编码模型,与卷积稀疏编码模型相比,它需要在每个前向传播中解决更多稀疏编码问题,无法从并行计算中受益。
稳健推理处理输入扰动
为了测试该方法对输入扰动的鲁棒性,研究人员使用了CIFAR-10-C数据集,其中的数据被不同类型的合成噪声和不同严重程度所破坏。
由于模型中CSC层对输入信号和重建信号之间的entry-wise差异进行惩罚,所以SDNet理论上应该更适合于处理additive噪声。

所以实验部分主要关注于CIFAR-10-C中四种类型的additive噪声,即高斯噪声、shot噪声、speckle噪声和impulse噪声,然后评估SDNet-18的准确性,并将其性能与ResNet-18进行比较。

可以看到,对于各种类型的噪声和不同的严重程度(除了0、1和2级的impulse噪声),适当选择一个不同于训练时使用的λ值有助于提高测试性能。

特别地,作为λ的函数的准确度曲线表现出一个单模态的形状,性能首先增加,然后减少。此外,在每种数据破坏类型中,达到性能峰值的λ值随着破坏严重程度上升而单调地增加,观察结果与预期一致。
处理对抗性扰动
研究人员在CIFAR-10测试数据集上使用PGD对SDNet(λ=0.1)生成对抗性扰动,扰动的L∞范式为8/255,扰动的L2范式为0.5。

与ResNet-18进行对比可以看到,在λ=0.1的情况下,SDNet的表现并不比ResNet好多少,但可以通过调整参数λ来大幅提高鲁棒性精度。
文中关于参数,编码的知识介绍,希望对你的学习有所帮助!若是受益匪浅,那就动动鼠标收藏这篇《「稀疏编码」从理论走向实用!马毅教授NeurIPS 2022新作:稀疏卷积性能和稳健性超越ResNet》文章吧,也可关注golang学习网公众号了解相关技术文章。
下任推特CEO是他?为马斯克工作20年,带全家睡办公室!
- 上一篇
- 下任推特CEO是他?为马斯克工作20年,带全家睡办公室!
- 下一篇
- AI也有健忘症?英国41岁教授专访:解决灾难性遗忘
-
- 科技周边 · 人工智能 | 12分钟前 |
- MIDI转视觉动画,AI音乐创作新工具
- 175浏览 收藏
-
- 科技周边 · 人工智能 | 50分钟前 |
- Claude解析:如何撰写逻辑严谨的金融投资建议书
- 259浏览 收藏
-
- 科技周边 · 人工智能 | 1小时前 |
- Kimi如何分析PDF图片\_文档识图解析教程
- 219浏览 收藏
-
- 科技周边 · 人工智能 | 2小时前 | ChatGPT
- Bard优化博客结构技巧解析
- 186浏览 收藏
-
- 科技周边 · 人工智能 | 2小时前 |
- AI卡皮巴拉角色扮演技巧分享
- 246浏览 收藏
-
- 科技周边 · 人工智能 | 2小时前 | openclaw
- OpenClaw隐私聊天使用与高保密部署技巧
- 444浏览 收藏
-
- 科技周边 · 人工智能 | 2小时前 |
- 标题:用ChatGPT轻松生成爆款引流文案! 开头:还在为写文案发愁? 钩子:掌握ChatGPT引流文案技巧,让你的流量翻倍!
- 448浏览 收藏
-
- 科技周边 · 人工智能 | 2小时前 |
- Kimi+怎么用?Kimi+使用教程详解
- 394浏览 收藏
-
- 科技周边 · 人工智能 | 2小时前 |
- IdeogramAI如何制作品牌字体?
- 239浏览 收藏
-
- 科技周边 · 人工智能 | 3小时前 | Workbuddy
- WorkBuddy生成数学试卷方法_含公式出题指南
- 475浏览 收藏
-
- 科技周边 · 人工智能 | 3小时前 |
- 豆包AI反应慢怎么优化?实用技巧分享
- 151浏览 收藏
-
- 科技周边 · 人工智能 | 3小时前 | KWDB
- KWDB 3.1.0 性能实测:脚本验证读写能力
- 250浏览 收藏
-
- 前端进阶之JavaScript设计模式
- 设计模式是开发人员在软件开发过程中面临一般问题时的解决方案,代表了最佳的实践。本课程的主打内容包括JS常见设计模式以及具体应用场景,打造一站式知识长龙服务,适合有JS基础的同学学习。
- 543次学习
-
- GO语言核心编程课程
- 本课程采用真实案例,全面具体可落地,从理论到实践,一步一步将GO核心编程技术、编程思想、底层实现融会贯通,使学习者贴近时代脉搏,做IT互联网时代的弄潮儿。
- 516次学习
-
- 简单聊聊mysql8与网络通信
- 如有问题加微信:Le-studyg;在课程中,我们将首先介绍MySQL8的新特性,包括性能优化、安全增强、新数据类型等,帮助学生快速熟悉MySQL8的最新功能。接着,我们将深入解析MySQL的网络通信机制,包括协议、连接管理、数据传输等,让
- 500次学习
-
- JavaScript正则表达式基础与实战
- 在任何一门编程语言中,正则表达式,都是一项重要的知识,它提供了高效的字符串匹配与捕获机制,可以极大的简化程序设计。
- 487次学习
-
- 从零制作响应式网站—Grid布局
- 本系列教程将展示从零制作一个假想的网络科技公司官网,分为导航,轮播,关于我们,成功案例,服务流程,团队介绍,数据部分,公司动态,底部信息等内容区块。网站整体采用CSSGrid布局,支持响应式,有流畅过渡和展现动画。
- 485次学习
-
- ChatExcel酷表
- ChatExcel酷表是由北京大学团队打造的Excel聊天机器人,用自然语言操控表格,简化数据处理,告别繁琐操作,提升工作效率!适用于学生、上班族及政府人员。
- 4251次使用
-
- Any绘本
- 探索Any绘本(anypicturebook.com/zh),一款开源免费的AI绘本创作工具,基于Google Gemini与Flux AI模型,让您轻松创作个性化绘本。适用于家庭、教育、创作等多种场景,零门槛,高自由度,技术透明,本地可控。
- 4611次使用
-
- 可赞AI
- 可赞AI,AI驱动的办公可视化智能工具,助您轻松实现文本与可视化元素高效转化。无论是智能文档生成、多格式文本解析,还是一键生成专业图表、脑图、知识卡片,可赞AI都能让信息处理更清晰高效。覆盖数据汇报、会议纪要、内容营销等全场景,大幅提升办公效率,降低专业门槛,是您提升工作效率的得力助手。
- 4496次使用
-
- 星月写作
- 星月写作是国内首款聚焦中文网络小说创作的AI辅助工具,解决网文作者从构思到变现的全流程痛点。AI扫榜、专属模板、全链路适配,助力新人快速上手,资深作者效率倍增。
- 6181次使用
-
- MagicLight
- MagicLight.ai是全球首款叙事驱动型AI动画视频创作平台,专注于解决从故事想法到完整动画的全流程痛点。它通过自研AI模型,保障角色、风格、场景高度一致性,让零动画经验者也能高效产出专业级叙事内容。广泛适用于独立创作者、动画工作室、教育机构及企业营销,助您轻松实现创意落地与商业化。
- 4870次使用
-
- GPT-4王者加冕!读图做题性能炸天,凭自己就能考上斯坦福
- 2023-04-25 501浏览
-
- 单块V100训练模型提速72倍!尤洋团队新成果获AAAI 2023杰出论文奖
- 2023-04-24 501浏览
-
- ChatGPT 真的会接管世界吗?
- 2023-04-13 501浏览
-
- VR的终极形态是「假眼」?Neuralink前联合创始人掏出新产品:科学之眼!
- 2023-04-30 501浏览
-
- 实现实时制造可视性优势有哪些?
- 2023-04-15 501浏览

