AI几秒钟内解决大学数学问题,拿到80%多准确率,还充当出题老师
本篇文章向大家介绍《AI几秒钟内解决大学数学问题,拿到80%多准确率,还充当出题老师》,主要包括,具有一定的参考价值,需要的朋友可以参考一下。

或许,你做的数学考题,是机器生成的。
MIT 的学生可以不费吹灰之力就能解决多元微积分、微分方程、线性代数等数学课题,但这些却把机器学习模型给难倒了。因为机器学习模型只能回答小学或高中水平的数学问题,而且它们并不总是能找到正确答案。
现在,来自 MIT、哥伦比亚大学、哈佛大学和滑铁卢大学的研究者,他们使用小样本学习、OpenAI 的 Codex 来自动合成程序,在几秒钟内解决了大学数学问题,达到了人类水平。这项研究发表在《美国国家科学院院刊》(PNAS)上。
此外,该模型对生成的解决方案还能进行解释,并能快速生成新的大学数学问题。当研究人员向学生展示这些机器生成的问题时,学生们甚至无法判断这些问题是由算法生成的还是由人类生成的。
这项研究还可以用来简化课程内容生成,这对拥有数千名学生的学校和大型开放式网络课程(MOOC)尤其有用。该系统还可以充当在线导师,向学生展示解决数学问题的步骤。

论文地址:https://www.pnas.org/doi/epdf/10.1073/pnas.2123433119
该研究的方法结合了三个创新:
- 与只在文本上进行预训练不同,该研究在文本上进行预训练的同时,还在代码上进行微调;
- 采用小样本学习合成程序能够正确解决数学问题;
- 该研究能够解决问题、解释解决方案以及生成新问题。
该研究生成新问题示例如下。

能答题、解题、出题的模型
研究团队已经为这个项目花费了近两年时间。他们发现,仅使用文本进行预训练的模型,在高中数学问题上的准确率不会超过 8%,而使用图神经网络模型,可以在机器学习课程问题上做得很好,但需要一周的时间来训练。
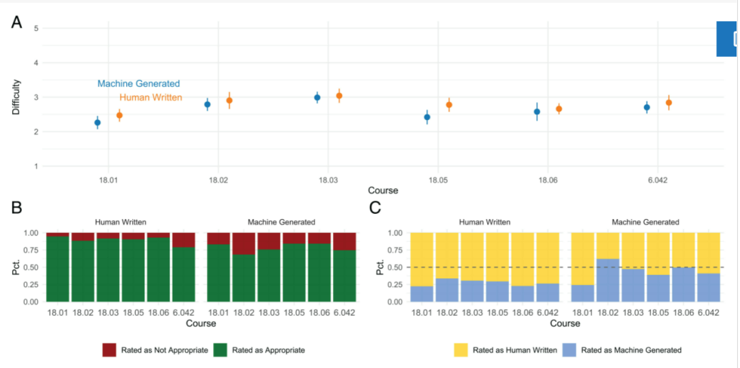
该研究从七门课程中随机抽取 25 个问题:MIT 的 18.01 单变量微积分、18.02 多变量微积分、18.03 微分方程、18.05 概率与统计概论、18.06 线性代数、6.042 计算机科学数学和哥伦比亚大学的 COMS3251 计算线性代数。
对于 MATH 数据集,该研究从数据集中的六个主题(代数、计数与概率、中级代数、数论、初级代数和微积分)中随机抽取 15 个问题。

在将这些编程任务输入到神经网络之前,研究人员添加了一个新步骤,使其能够大大优于以前的尝试。
与 GPT-3 等网络只在文本上进行预训练不同。他们把这些问题转化为编程任务,并应用程序合成和小样本学习技术。把数学问题变成编程任务,就像可以简单地把求两点之间的距离这个问题改写为编写一个程序来求两点之间的差。
值得一提的是该研究不仅对 Codex 进行了文本上的预训练,还在代码上进行了微调,使得其可以生成大规模解决数学问题的程序。

预训练模型显示了来自在线存储库的数百万个代码示例。由于该模型的训练数据包括数百万自然语言单词和数百万行代码,因此它可以学习文本片段和代码片段之间的关系。
如下图所示该研究使用零样本和小样本学习来自动生成程序,该程序可以解决 81% 数学问题。然后他们使用 Codex 来解释生成的程序。生成的程序可以输出多种形式的答案。比如计算和描绘奇异值分解(SVD)的几何形状,不光给出正确答案,还能给出对应的解释!
应用神经网络 OpenAI Codex 来解决、解释和生成数学问题。
论文作者之一 Drori 解释说,许多数学问题可以用图或树来解决,但很难将文本编写的问题转化为这种表示形式。但是,由于该模型已经学习了文本和代码之间的关系,因此它可以将文本问题转换为代码,只需给出几个问题代码示例,然后运行代码就可以来回答问题。
「当你只使用文本提问题时,机器学习模型很难给出答案,即使答案可能在文本中,这项工作填补了代码和程序合成中缺失的部分。」Drori 说。
Drori 还补充说,这项工作是第一次解决本科数学问题,并将准确率从 8% 提高到 80% 以上。
添加上下文
其实将数学问题转化为编程任务并不总是那么简单。有些问题需要研究人员添加上下文,以便神经网络能够正确处理问题。一个学生在学习这门课程时会了解到这种背景知识,但除非研究人员明确说明,否则神经网络不具备这种背景知识。
例如,他们需要说明文本中的网络指的是神经网络而不是通信网络。或者他们可能需要告诉模型使用哪个编程包。他们可能还需要提供某些定义,例如在关于扑克牌的问题中,他们可能需要告诉模型每副牌包含 52 张牌。
该研究会自动将这些编程任务以及包含的上下文和示例输入到经过预训练和微调的神经网络,该神经网络会输出一个通常能产生正确答案的程序。80% 以上的问题都是正确的。
研究人员还使用他们的模型来生成问题,通过给神经网络一系列关于某个主题的数学问题,然后让它创建一个新的问题。例如,有关于水平线和垂直线的量子检测问题,它产生了关于对角线量子检测的新问题。因此,它不仅仅是通过替换现有问题中的值和变量来产生新问题。
人类提出的问题与机器生成的问题
研究人员通过向大学生展示机器生成的问题来测试这些问题。研究人员随机给学生们 10 道来自本科数学课程的问题;其中 5 个是由人类创造的,5 个是由机器生成的。
学生们无法判断机器生成的问题是由算法还是由人工生成的,他们对课程的难度和适当性给予了类似的评分。

不过,Drori 指出这项工作并不是为了取代人类教授。
「现在准确率已经达到 80%,但不会达到 100%。每当你解决了一个问题,就会有人提出一个更难的问题。但这项工作为人们开始用机器学习解决越来越难的问题开辟了领域。我们认为这将对高等教育产生巨大影响。」Drori 表示。
研究团队对他们方法的成功感到兴奋,并将工作扩展到处理数学证明上,同时他们还计划解决一些限制,目前,该模型无法使用可视化组件回答问题,也无法解决由于计算复杂性而难以计算的问题。
除了克服这些障碍外,该研究还致力于将模型扩展到数百门课程。有了这些课程,他们将生成更多的数据,以提高自动化程度,并提供对课程设计和课程的见解。
本篇关于《AI几秒钟内解决大学数学问题,拿到80%多准确率,还充当出题老师》的介绍就到此结束啦,但是学无止境,想要了解学习更多关于科技周边的相关知识,请关注golang学习网公众号!
机器学习中必学的四种交叉验证技术
- 上一篇
- 机器学习中必学的四种交叉验证技术
- 下一篇
- 折腾ChatGLM的几个避坑小技巧
-
- 科技周边 · 人工智能 | 16分钟前 |
- Kimi用户行为分析方法解析
- 404浏览 收藏
-
- 科技周边 · 人工智能 | 28分钟前 |
- AI学会“睡觉”?Claude任务成功率暴涨6倍真相揭秘
- 121浏览 收藏
-
- 科技周边 · 人工智能 | 31分钟前 |
- Python 处理 Minimax API 流式输出方法
- 467浏览 收藏
-
- 科技周边 · 人工智能 | 33分钟前 |
- ChatGPT快速生成多语种跨境电商产品描述方法
- 150浏览 收藏
-
- 科技周边 · 人工智能 | 43分钟前 |
- Perplexity 引用维基百科方法:使用 site 指令精准搜索
- 283浏览 收藏
-
- 科技周边 · 人工智能 | 52分钟前 |
- AI本地大模型Excel数据处理实战
- 188浏览 收藏
-
- 科技周边 · 人工智能 | 55分钟前 |
- Perplexity修改用户名方法详解
- 177浏览 收藏
-
- 科技周边 · 人工智能 | 1小时前 |
- Perplexity Pro 无法使用 Claude 3.5 Sonnet 的可能原因及解决方法
- 274浏览 收藏
-
- 科技周边 · 人工智能 | 1小时前 |
- Figma图片变绿块怎么修复?显卡驱动更新方法
- 184浏览 收藏
-
- 科技周边 · 人工智能 | 1小时前 | Midjourney
- MJ动漫分屏叙事技巧:左右画面拼接教程
- 429浏览 收藏
-
- 科技周边 · 人工智能 | 1小时前 |
- WorkBuddy插件加载失败解决方法
- 497浏览 收藏
-
- 科技周边 · 人工智能 | 1小时前 |
- Claude无法访问?龙虾机器人网络配置教程
- 182浏览 收藏
-
- 前端进阶之JavaScript设计模式
- 设计模式是开发人员在软件开发过程中面临一般问题时的解决方案,代表了最佳的实践。本课程的主打内容包括JS常见设计模式以及具体应用场景,打造一站式知识长龙服务,适合有JS基础的同学学习。
- 543次学习
-
- GO语言核心编程课程
- 本课程采用真实案例,全面具体可落地,从理论到实践,一步一步将GO核心编程技术、编程思想、底层实现融会贯通,使学习者贴近时代脉搏,做IT互联网时代的弄潮儿。
- 516次学习
-
- 简单聊聊mysql8与网络通信
- 如有问题加微信:Le-studyg;在课程中,我们将首先介绍MySQL8的新特性,包括性能优化、安全增强、新数据类型等,帮助学生快速熟悉MySQL8的最新功能。接着,我们将深入解析MySQL的网络通信机制,包括协议、连接管理、数据传输等,让
- 500次学习
-
- JavaScript正则表达式基础与实战
- 在任何一门编程语言中,正则表达式,都是一项重要的知识,它提供了高效的字符串匹配与捕获机制,可以极大的简化程序设计。
- 487次学习
-
- 从零制作响应式网站—Grid布局
- 本系列教程将展示从零制作一个假想的网络科技公司官网,分为导航,轮播,关于我们,成功案例,服务流程,团队介绍,数据部分,公司动态,底部信息等内容区块。网站整体采用CSSGrid布局,支持响应式,有流畅过渡和展现动画。
- 485次学习
-
- ChatExcel酷表
- ChatExcel酷表是由北京大学团队打造的Excel聊天机器人,用自然语言操控表格,简化数据处理,告别繁琐操作,提升工作效率!适用于学生、上班族及政府人员。
- 4512次使用
-
- Any绘本
- 探索Any绘本(anypicturebook.com/zh),一款开源免费的AI绘本创作工具,基于Google Gemini与Flux AI模型,让您轻松创作个性化绘本。适用于家庭、教育、创作等多种场景,零门槛,高自由度,技术透明,本地可控。
- 4864次使用
-
- 可赞AI
- 可赞AI,AI驱动的办公可视化智能工具,助您轻松实现文本与可视化元素高效转化。无论是智能文档生成、多格式文本解析,还是一键生成专业图表、脑图、知识卡片,可赞AI都能让信息处理更清晰高效。覆盖数据汇报、会议纪要、内容营销等全场景,大幅提升办公效率,降低专业门槛,是您提升工作效率的得力助手。
- 4741次使用
-
- 星月写作
- 星月写作是国内首款聚焦中文网络小说创作的AI辅助工具,解决网文作者从构思到变现的全流程痛点。AI扫榜、专属模板、全链路适配,助力新人快速上手,资深作者效率倍增。
- 6583次使用
-
- MagicLight
- MagicLight.ai是全球首款叙事驱动型AI动画视频创作平台,专注于解决从故事想法到完整动画的全流程痛点。它通过自研AI模型,保障角色、风格、场景高度一致性,让零动画经验者也能高效产出专业级叙事内容。广泛适用于独立创作者、动画工作室、教育机构及企业营销,助您轻松实现创意落地与商业化。
- 5100次使用
-
- GPT-4王者加冕!读图做题性能炸天,凭自己就能考上斯坦福
- 2023-04-25 501浏览
-
- 单块V100训练模型提速72倍!尤洋团队新成果获AAAI 2023杰出论文奖
- 2023-04-24 501浏览
-
- ChatGPT 真的会接管世界吗?
- 2023-04-13 501浏览
-
- VR的终极形态是「假眼」?Neuralink前联合创始人掏出新产品:科学之眼!
- 2023-04-30 501浏览
-
- 实现实时制造可视性优势有哪些?
- 2023-04-15 501浏览

