清华朱军团队开源首个基于Transformer的多模态扩散大模型,文图互生、改写全拿下
哈喽!大家好,很高兴又见面了,我是golang学习网的一名作者,今天由我给大家带来一篇《清华朱军团队开源首个基于Transformer的多模态扩散大模型,文图互生、改写全拿下》,本文主要会讲到等等知识点,希望大家一起学习进步,也欢迎大家关注、点赞、收藏、转发! 下面就一起来看看吧!
据悉 GPT-4 将于本周发布,多模态将成为其一大亮点。当前的大语言模型正在成为理解各种模态的通用接口,能够根据不同模态信息来给出回复文本,但大语言模型生成的内容也仅仅局限于文本。另一方面,当前的扩散模型 DALL・E 2、Imagen、Stable Diffusion 等在视觉创作上掀起一场革命,但这些模型仅仅支持文到图的单一跨模态功能,离通用式生成模型还有一定距离。而多模态大模型将能够打通各种模态能力,实现任意模态之间转化,被认为是通用式生成模型的未来发展方向。
清华大学计算机系朱军教授带领的 TSAIL 团队近期公开的一篇论文《One Transformer Fits All Distributions in Multi-Modal Diffusion at Scale》,率先发布了对多模态生成式模型的一些探索工作,实现了任意模态之间的相互转化。

论文链接:https://ml.cs.tsinghua.edu.cn/diffusion/unidiffuser.pdf
开源代码:https://github.com/thu-ml/unidiffuser
该论文提出了一个为多模态设计的概率建模框架 UniDiffuser,并采用该团队提出的基于 transformer 的网络架构 U-ViT,在开源的大规模图文数据集 LAION-5B 上训练了一个十亿参数量的模型,使得一个底层模型能够高质量地完成多种生成任务(图 1)。简单来讲,除了单向的文生图,还能实现图生文、图文联合生成、无条件图文生成、图文改写等多种功能,大幅提升文图内容的生产效率,也进一步提升了生成式模型的应用想象力。
该论文一作鲍凡目前博士在读,是此前 Analytic-DPM 的提出者,凭借在扩散模型方面的优秀工作荣获 ICLR 2022 的 outstanding paper award(目前唯一一篇大陆单位独立完成的获奖论文)。
此外,机器之心之前还报道过 TSAIL 团队提出的 DPM-Solver 快速算法,目前仍是扩散模型最快的生成算法。多模态大模型正是该团队在深度概率模型的算法和原理方面上长期深入积累的一个集中展示。该工作的合作者包括人民大学高瓴人工智能学院的李崇轩、北京智源研究院的曹越等。

值得注意的是,该项目的论文和代码均已开源。
效果展示
如下的图 8 展示了 UniDiffuser 在图文联合生成的效果:

如下的图 9 展示了 UniDiffuser 在文到图上的效果:

如下的图 10 展示了 UniDiffuser 在图到文上的效果:

如下的图 11 展示了 UniDiffuser 在无条件图像生成上的效果:

如下的图 12 展示了 UniDiffuser 在图像改写上的效果:

如下的图 15 展示了 UniDiffuser 能够实现在图文两个模态之间的来回跳跃 :

如下图 16 展示了 UniDiffuser 能对真实的两张图像进行插值:
方法概览
研究团队将针对通用生成式模型的设计划分成了两个子问题:
- 概率建模框架:是否能寻找到一个概率建模框架,能同时建模出模态之间所有的分布,例如图文之间的边缘分布、条件分布、联合分布等?
- 网络架构:是否能设计出一个统一的网络架构,来支持各种不同模态的输入?
概率建模框架
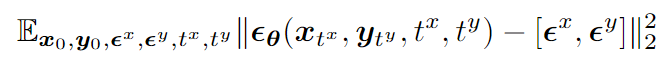
针对概率建模框架,研究团队提出 UniDiffuser,一个基于扩散模型的概率建模框架。UniDiffuser 能够显示地建模多模态数据中包括边缘分布、条件分布、联合分布在内的所有分布。研究团队发现,关于不同分布的扩散模型学习都可以统一成一个视角:首先向两个模态的数据分别加入某种大小的噪声,然后再预测两个模态数据上的噪声。其中两个模态数据上的噪声大小决定了具体的分布。例如,将文本的噪声大小设置为 0,则对应了文生图的条件分布;将文本噪声大小设置为最大值,则对应了无条件图像生成的分布;将图文噪声大小设置为相同,则对应了图文的联合分布。根据该统一的视角,UniDiffuser 只需要将原始扩散模型的训练算法做少许的修改,便能同时学习上述的所有分布 — 如下图所示,UniDiffuser 同时向所有模态加噪而非单个模态,输入所有模态对应的噪声大小,以及预测所有模态上的噪声。

以双模态为例子,最终的训练目标函数如下所示:

其中

代表数据,

代表加入到两个模态中的标准高斯噪声,

代表两个模态加入噪声的大小(即时间),两者独立的从 {1,2,…,T} 中采样,

为噪声预测网络,同时预测两个模态上的噪声。
在训练后,通过向噪声预测网络设置两个模态合适的时间,UniDiffuser 能够实现无条件、条件以及联合生成。例如将文本的时间设置为 0,可以实现文到图生成;将文本的时间设置为最大值,可以实现无条件图像生成;将图文时间设置为相同值,可以实现图文联合生成。
下面罗列了 UniDiffuser 的训练和采样算法,可见这些算法相对原始的扩散模型均只做了微小的改动,易于实现。

此外,由于 UniDiffuser 同时建模了条件分布和无条件分布,因此 UniDiffuser 天然地支持 classifier-free guidance。下面的图 3 展示了 UniDiffuser 的条件生成和联合生成在不同的 guidance scale 下的效果:

网络架构
针对网络架构,研究团队提出使用基于 transformer 的架构来参数化噪声预测网络。具体地,研究团队采用了最近提出的 U-ViT 架构。U-ViT 将所有的输入都视作 token,并在 transformer 块之间加入了 U 型连接。研究团队也采用了 Stable Diffusion 的策略,将不同模态的数据都转换到了隐空间再进行扩散模型的建模。值得注意的是,U-ViT 架构同样来自该研究团队,并且已被开源在 https://github.com/baofff/U-ViT。

实验结果
UniDiffuser 首先和 Versatile Diffusion 进行了比较。Versatile Diffusion 是过去的一个基于多任务框架的多模态扩散模型。首先 UniDiffuser 和 Versatile Diffusion 进行了文到图上的效果比较。如下面的图 5 所示,在不同的 classifier-free guidance scale 下,UniDiffuser 在 CLIP Score 和 FID 指标上均要好于 Versatile Diffusion。

然后 UniDiffuser 和 Versatile Diffusion 进行了图到文上的效果比较。如下面的图 6 所示,UniDiffuser 在图到文上有更好的 CLIP Score。

UniDiffuser 也和专用的文到图模型在 MS-COCO 上进行了 zero-shot FID 的比较。如下面的表 1 所示,UniDiffuser 可以和专用的文到图模型取得可比的效果。

理论要掌握,实操不能落!以上关于《清华朱军团队开源首个基于Transformer的多模态扩散大模型,文图互生、改写全拿下》的详细介绍,大家都掌握了吧!如果想要继续提升自己的能力,那么就来关注golang学习网公众号吧!
300美元平替ChatGPT!斯坦福130亿参数「小羊驼」诞生
- 上一篇
- 300美元平替ChatGPT!斯坦福130亿参数「小羊驼」诞生
- 下一篇
- 五个时间序列预测的深度学习模型对比总结
-
- 科技周边 · 人工智能 | 14分钟前 | 松鼠ai
- 松鼠AI官网入口及学习地址链接
- 139浏览 收藏
-
- 科技周边 · 人工智能 | 16分钟前 |
- 提升跨部门协作效率,飞书AI助手智能分配任务
- 429浏览 收藏
-
- 科技周边 · 人工智能 | 23分钟前 |
- AI快速制作三折页,自动排版设计教程
- 498浏览 收藏
-
- 科技周边 · 人工智能 | 27分钟前 |
- 对话类提示是什么?教你用Gemini做生活导师
- 160浏览 收藏
-
- 科技周边 · 人工智能 | 40分钟前 | gemini2使用教程
- Gemini2查询提示输入技巧与优化建议
- 123浏览 收藏
-
- 科技周边 · 人工智能 | 54分钟前 |
- lovemo如何制作镂空文字效果
- 192浏览 收藏
-
- 科技周边 · 人工智能 | 1小时前 |
- 提升跨部门协作,飞书AI助手智能分配任务
- 488浏览 收藏
-
- 科技周边 · 人工智能 | 1小时前 | openclaw
- OpenClaw附加失败原因及解决方法
- 459浏览 收藏
-
- 科技周边 · 人工智能 | 2小时前 |
- 资料太长?用分析提示快速提取重点
- 148浏览 收藏
-
- 科技周边 · 人工智能 | 2小时前 |
- 海螺AI频闪运镜怎么生成?快速闪烁效果教学
- 378浏览 收藏
-
- 科技周边 · 人工智能 | 3小时前 |
- DeepSeek不支持该功能,核对API文档确认接口
- 353浏览 收藏
-
- 科技周边 · 人工智能 | 3小时前 | 哩布哩布AI
- 哩布哩布AI官网入口最新地址
- 460浏览 收藏
-
- 前端进阶之JavaScript设计模式
- 设计模式是开发人员在软件开发过程中面临一般问题时的解决方案,代表了最佳的实践。本课程的主打内容包括JS常见设计模式以及具体应用场景,打造一站式知识长龙服务,适合有JS基础的同学学习。
- 543次学习
-
- GO语言核心编程课程
- 本课程采用真实案例,全面具体可落地,从理论到实践,一步一步将GO核心编程技术、编程思想、底层实现融会贯通,使学习者贴近时代脉搏,做IT互联网时代的弄潮儿。
- 516次学习
-
- 简单聊聊mysql8与网络通信
- 如有问题加微信:Le-studyg;在课程中,我们将首先介绍MySQL8的新特性,包括性能优化、安全增强、新数据类型等,帮助学生快速熟悉MySQL8的最新功能。接着,我们将深入解析MySQL的网络通信机制,包括协议、连接管理、数据传输等,让
- 500次学习
-
- JavaScript正则表达式基础与实战
- 在任何一门编程语言中,正则表达式,都是一项重要的知识,它提供了高效的字符串匹配与捕获机制,可以极大的简化程序设计。
- 487次学习
-
- 从零制作响应式网站—Grid布局
- 本系列教程将展示从零制作一个假想的网络科技公司官网,分为导航,轮播,关于我们,成功案例,服务流程,团队介绍,数据部分,公司动态,底部信息等内容区块。网站整体采用CSSGrid布局,支持响应式,有流畅过渡和展现动画。
- 485次学习
-
- ChatExcel酷表
- ChatExcel酷表是由北京大学团队打造的Excel聊天机器人,用自然语言操控表格,简化数据处理,告别繁琐操作,提升工作效率!适用于学生、上班族及政府人员。
- 4248次使用
-
- Any绘本
- 探索Any绘本(anypicturebook.com/zh),一款开源免费的AI绘本创作工具,基于Google Gemini与Flux AI模型,让您轻松创作个性化绘本。适用于家庭、教育、创作等多种场景,零门槛,高自由度,技术透明,本地可控。
- 4606次使用
-
- 可赞AI
- 可赞AI,AI驱动的办公可视化智能工具,助您轻松实现文本与可视化元素高效转化。无论是智能文档生成、多格式文本解析,还是一键生成专业图表、脑图、知识卡片,可赞AI都能让信息处理更清晰高效。覆盖数据汇报、会议纪要、内容营销等全场景,大幅提升办公效率,降低专业门槛,是您提升工作效率的得力助手。
- 4491次使用
-
- 星月写作
- 星月写作是国内首款聚焦中文网络小说创作的AI辅助工具,解决网文作者从构思到变现的全流程痛点。AI扫榜、专属模板、全链路适配,助力新人快速上手,资深作者效率倍增。
- 6174次使用
-
- MagicLight
- MagicLight.ai是全球首款叙事驱动型AI动画视频创作平台,专注于解决从故事想法到完整动画的全流程痛点。它通过自研AI模型,保障角色、风格、场景高度一致性,让零动画经验者也能高效产出专业级叙事内容。广泛适用于独立创作者、动画工作室、教育机构及企业营销,助您轻松实现创意落地与商业化。
- 4862次使用
-
- GPT-4王者加冕!读图做题性能炸天,凭自己就能考上斯坦福
- 2023-04-25 501浏览
-
- 单块V100训练模型提速72倍!尤洋团队新成果获AAAI 2023杰出论文奖
- 2023-04-24 501浏览
-
- ChatGPT 真的会接管世界吗?
- 2023-04-13 501浏览
-
- VR的终极形态是「假眼」?Neuralink前联合创始人掏出新产品:科学之眼!
- 2023-04-30 501浏览
-
- 实现实时制造可视性优势有哪些?
- 2023-04-15 501浏览

