Mogan更名为STEM,v2025.1.1正式发布
2025-08-30 15:31:58
0浏览
收藏
各位小伙伴们,大家好呀!看看今天我又给各位带来了什么文章?本文标题是《Mogan更名STEM,v2025.1.1正式发布》,很明显是关于科技周边的文章哈哈哈,其中内容主要会涉及到等等,如果能帮到你,觉得很不错的话,欢迎各位多多点评和分享!
我们正式发布 Mogan v2025.1.1,并将项目更名为 「Mogan STEM」——一款面向科学与工程创作的现代化编辑器。 新版本带来全新 UI、智能补全、稳定性与性能的大幅提升,欢迎下载体验。-
发布页与下载:
什么是 Mogan STEM
Mogan STEM是一款专为理工科设计的智能写作与排版工具,集成了强大的公式编辑、自动排版、AI辅助和视觉识别等功能。不论是备课、讲义编写还是学生做课堂笔记,都能大大提升效率。- 一键排版,规范美观:只需输入内容,Mogan STEM自动生成结构化、符合学术规范的讲义和笔记,无需再为排版头疼。
- 数学公式输入超快:提供大量易于记忆的公式输入方法,所见即所得,无需敲代码,效率百倍于 \(\LaTeX\)
- 魔法粘贴:从ChatGPT、DeepSeek、知乎等处复制内容,自动格式化,省去排版烦恼。
- 规范与创新兼顾:Mogan STEM实现了从课堂笔记、课后整理到论文写作的完整闭环,帮助学生养成学术规范,激发创新能力。
全新现代化图标和主题!By Yifan Lu and Shiqi Yu
Mogan STEM 1.1 版本现推出 Liii 和 Liii Dark (Liii的暗夜版本)两个全新的主题。其中 Liii 主题将是Mogan STEM和Liii STEM今后的默认主题。用户可在编辑->首选项->用户界面主题中恢复旧主题。
全新主题一览

全新暗夜主题一览

界面更新总结
-
删除了两种打印机字体的图标,用户现在可以用快捷键F6,F7 或者 使用
\(\LaTeX\) 命令
\texttt以及\textsc调用 打印机字体的环境。 - 文本模式下增加了 高亮环境的图标

- 增加了 插入内置AI块的图标(Liii STEM独有功能,Mogan点击该图标会跳转Liii STEM官网)

- 将大量非矢量图图标修正为 矢量图。
- 改变背景配色使风格更加统一。
- 修改了几乎全部图标,增加了图标的辨识度。
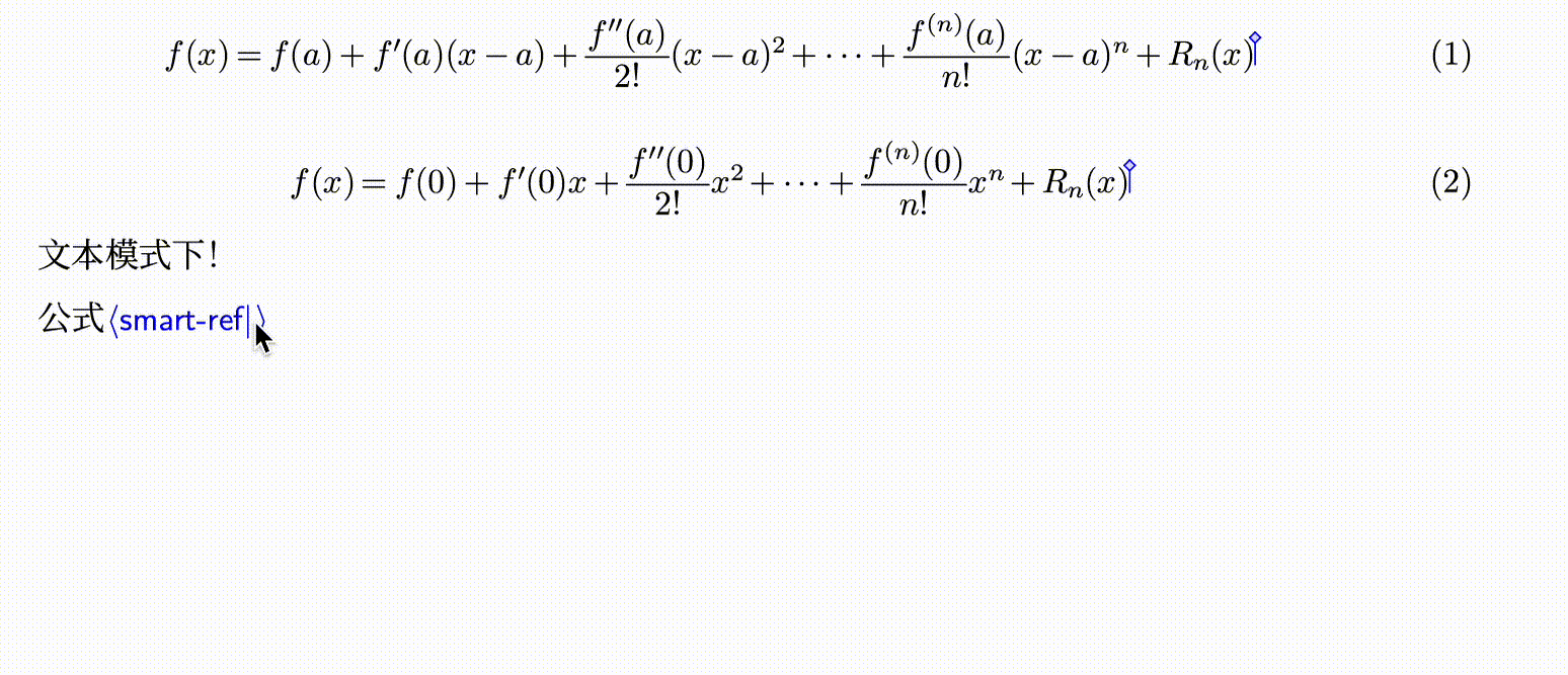
支持Tab窗口补全!文本,数学,甚至宏!By Zhiyu Zhou
数学补全
数学模式下 Tab 循环提供全字符显示弹窗 :在公式编辑时可通过 Tab 在形状相似的字符之间进行切换选择
双向引用补全
文字模式下 Tab 补全 label 和单词:支持显示所有label并一键补全;相同开头单词中随意切换选择
文字补全
命令宏补全

其余更新
- 更名与版本发布:项目正式更名为「Mogan STEM」,发布 2025.1.1 正式版
-
macOS上用
cmd+T快捷键可以添加新标签页 @Zhiyu Zhou -
macOS上用
cmd+ 1-6 快捷键可以切换标签页 @Zhiyu Zhou - 多标签页可用性提升:新增了管理附着与脱离的功能,并修复大量多标签页相关问题。复杂场景更可靠。 @Zhiyu Zhou
- 保存/另存为/打开中的可选文件格式的罗列 @Zewen Fu
- 性能大幅优化:启动、编辑与渲染更流畅 @唐一帆
- 支持Emoji(内测中)!更强「魔法粘贴」:支持 emoji 与更多内容类型的智能粘贴 @宋明润

- 语义块:定义、定理等环境的编号,默认采用 European Numbering Style (不同语义块独立编号) @Yansong Li
- 语义块:新增 Assumption 语义块环境,感谢用户 Weixiao Sun @Yansong Li
- 数学:数学模式输入乘法,默认显示 \(\times\),另外的乘法可以使用 Tab 调整 @Yansong Li
-
数学:支持
\iint,\oiint,\iiint,\oint,\idotsint积分符号的 \(\LaTeX\) 宏命令 @Zihao Chen - 搜索替换:结构化搜索替换窗口嵌入并成为辅助窗口,用户搜索或替换数学公式等复杂结构时,可以直接使用模式工具栏快速输入 @Zhiyu Zhou
致谢
在此,我们谨向中国科学院软件研究所“开源之夏”、南方科技大学数学系、南方科技大学物理系以及香港城市大学(东莞)致以诚挚谢意。 尤其感谢 Zhiyu Zhou 同学——他不仅以卓越水准完成“开源之夏”全部任务,更主动贡献了远超项目要求的优质代码,为社区带来持久而深远的影响。加入社区
-
Discord 频道:
- 墨干社区QQ群:934456971
- 社区负责人微信号:HaggittLi
源码地址:点击下载
今天关于《Mogan更名为STEM,v2025.1.1正式发布》的内容介绍就到此结束,如果有什么疑问或者建议,可以在golang学习网公众号下多多回复交流;文中若有不正之处,也希望回复留言以告知!
腾讯视频转MP3教程分享
- 上一篇
- 腾讯视频转MP3教程分享
- 下一篇
- 魅族微信恢复工具推荐与使用教程
查看更多
最新文章
-
- 科技周边 · 业界新闻 | 17小时前 | c919零件通道 中美航天合作
- 200架波音换C919,国产零件持续供应!
- 345浏览 收藏
-
- 科技周边 · 业界新闻 | 19小时前 | win11
- Win11用户注意!木马威胁警告来袭
- 356浏览 收藏
-
- 科技周边 · 业界新闻 | 5天前 |
- 华为Mate 90双潜望长焦,10倍变焦来袭!
- 277浏览 收藏
-
- 科技周边 · 业界新闻 | 1星期前 | 神舟火箭发射
- 神舟二十三号待发,力箭一号一箭五星破百星
- 270浏览 收藏
-
- 科技周边 · 业界新闻 | 2星期前 | OpenAI gpt-6
- GPT-6对决DeepSeek V4,巅峰之战引爆AI圈
- 370浏览 收藏
-
- 科技周边 · 业界新闻 | 1个月前 | AI会导致失业吗
- AI不会失业?软件工程师岗位大增!
- 155浏览 收藏
-
- 科技周边 · 业界新闻 | 1个月前 | 微软 打印机
- Win11停用旧打印机驱动,多家厂商受影响
- 134浏览 收藏
-
- 科技周边 · 业界新闻 | 1个月前 |
- GPT-5.4将上线,支持百万字长文本与极限推理
- 158浏览 收藏
-
- 科技周边 · 业界新闻 | 1个月前 |
- ASML重组技术部,进军AI芯片封装市场
- 218浏览 收藏
-
- 科技周边 · 业界新闻 | 2个月前 |
- 三星S26水平锁定功能实测,手抖救星省六千云台费
- 105浏览 收藏
查看更多
课程推荐
-
- 前端进阶之JavaScript设计模式
- 设计模式是开发人员在软件开发过程中面临一般问题时的解决方案,代表了最佳的实践。本课程的主打内容包括JS常见设计模式以及具体应用场景,打造一站式知识长龙服务,适合有JS基础的同学学习。
- 543次学习
-
- GO语言核心编程课程
- 本课程采用真实案例,全面具体可落地,从理论到实践,一步一步将GO核心编程技术、编程思想、底层实现融会贯通,使学习者贴近时代脉搏,做IT互联网时代的弄潮儿。
- 516次学习
-
- 简单聊聊mysql8与网络通信
- 如有问题加微信:Le-studyg;在课程中,我们将首先介绍MySQL8的新特性,包括性能优化、安全增强、新数据类型等,帮助学生快速熟悉MySQL8的最新功能。接着,我们将深入解析MySQL的网络通信机制,包括协议、连接管理、数据传输等,让
- 500次学习
-
- JavaScript正则表达式基础与实战
- 在任何一门编程语言中,正则表达式,都是一项重要的知识,它提供了高效的字符串匹配与捕获机制,可以极大的简化程序设计。
- 487次学习
-
- 从零制作响应式网站—Grid布局
- 本系列教程将展示从零制作一个假想的网络科技公司官网,分为导航,轮播,关于我们,成功案例,服务流程,团队介绍,数据部分,公司动态,底部信息等内容区块。网站整体采用CSSGrid布局,支持响应式,有流畅过渡和展现动画。
- 485次学习
查看更多
AI推荐
-
- ChatExcel酷表
- ChatExcel酷表是由北京大学团队打造的Excel聊天机器人,用自然语言操控表格,简化数据处理,告别繁琐操作,提升工作效率!适用于学生、上班族及政府人员。
- 5887次使用
-
- Any绘本
- 探索Any绘本(anypicturebook.com/zh),一款开源免费的AI绘本创作工具,基于Google Gemini与Flux AI模型,让您轻松创作个性化绘本。适用于家庭、教育、创作等多种场景,零门槛,高自由度,技术透明,本地可控。
- 6320次使用
-
- 可赞AI
- 可赞AI,AI驱动的办公可视化智能工具,助您轻松实现文本与可视化元素高效转化。无论是智能文档生成、多格式文本解析,还是一键生成专业图表、脑图、知识卡片,可赞AI都能让信息处理更清晰高效。覆盖数据汇报、会议纪要、内容营销等全场景,大幅提升办公效率,降低专业门槛,是您提升工作效率的得力助手。
- 6129次使用
-
- 星月写作
- 星月写作是国内首款聚焦中文网络小说创作的AI辅助工具,解决网文作者从构思到变现的全流程痛点。AI扫榜、专属模板、全链路适配,助力新人快速上手,资深作者效率倍增。
- 8100次使用
-
- MagicLight
- MagicLight.ai是全球首款叙事驱动型AI动画视频创作平台,专注于解决从故事想法到完整动画的全流程痛点。它通过自研AI模型,保障角色、风格、场景高度一致性,让零动画经验者也能高效产出专业级叙事内容。广泛适用于独立创作者、动画工作室、教育机构及企业营销,助您轻松实现创意落地与商业化。
- 6560次使用
查看更多
相关文章
-
- Nothing品牌发布首个子品牌CMF,计划年底推出智能手表和耳机
- 2023-08-05 501浏览
-
- 中国气象局探讨促进人工智能气象预报大模型构建
- 2023-08-13 501浏览
-
- 强大性能搭配时尚外观:OPPO Reno 10系列手机正式开售!
- 2023-08-12 501浏览
-
- Trek推出Electra Pronto Go电动自行车,助力全球绿色出行浪潮
- 2023-08-23 501浏览
-
- 微软灵活升级计划:Win11 8月累积更新发布
- 2023-08-09 501浏览

