斯坦福/谷歌大脑:两次蒸馏,引导扩散模型采样提速256倍!
你在学习科技周边相关的知识吗?本文《斯坦福/谷歌大脑:两次蒸馏,引导扩散模型采样提速256倍!》,主要介绍的内容就涉及到,如果你想提升自己的开发能力,就不要错过这篇文章,大家要知道编程理论基础和实战操作都是不可或缺的哦!
最近,无分类器的指导扩散模型(classifier-free guided diffusion models)在高分辨率图像生成方面非常有效,并且已经被广泛用于大规模扩散框架,包括DALL-E 2、GLIDE和Imagen。
然而,无分类器指导扩散模型的一个缺点是它们在推理时的计算成本很高。因为它们需要评估两个扩散模型——一个类别条件模型(class-conditional model) 和一个无条件模型(unconditional model),而且需要评估数百次。
为了解决这个问题,斯坦福大学和谷歌大脑的学者提出使用两步蒸馏(two-step distillation)的方法来提升无分类器指导扩散模型的采样效率。

论文地址:https://arxiv.org/abs/2210.03142
如何将无分类器指导扩散模型提炼成快速采样的模型?
首先,对于一个预先训练好的无分类器指导模型,研究者首先学习了一个单一的模型,来匹配条件模型和无条件模型的组合输出。
随后,研究者逐步将这个模型蒸馏成一个采样步骤更少的扩散模型。
可以看到,在ImageNet 64x64和CIFAR-10上,这种方法能够在视觉上生成与原始模型相当的图像。
只需4个采样步骤,就能获得与原始模型相当的FID/IS分数,而采样速度却高达256倍。

可以看到,通过改变指导权重w,研究者蒸馏的模型能够在样本多样性和质量之间进行权衡。而且只用一个取样步骤,就能获得视觉上愉悦的结果。
扩散模型的背景
通过来自数据分布
的样本x,噪声调度函数
研究者通过最小化加权均方差来训练了具有参数θ的扩散模型
。

其中
是信噪比,
和
是预先指定的加权函数。
一旦训练了扩散模型
,就可以使用离散时间DDIM采样器从模型中采样。
具体来说,DDIM采样器从 z1 ∼ N (0,I)开始,更新如下

其中,N是采样步骤的总数。使用
,会生成最终样本。
无分类器指导是一种有效的方法,可以显著提高条件扩散模型的样本质量,已经广泛应用于包括GLIDE,DALL·E 2和Imagen。
它引入了一个指导权重参数
来衡量样本的质量和多样性。为了生成样本,无分类器指导在每个更新步骤都会使用
作为预测模型,来评估条件扩散模型
和联合训练的
。
由于每次采样更新都需要评估两个扩散模型,因此使用无分类器指导进行采样通常很昂贵。
为了解决这个问题,研究者使用了渐进式蒸馏(progressive distillation) ,这是一种通过重复蒸馏提高扩散模型采样速度的方法。
在以前,这种方法不能直接被直接用在引导模型的蒸馏上,也不能在确定性DDIM采样器以外的采样器上使用。而在这篇论文中,研究者解决了这些问题。
蒸馏无分类器的指导扩散模型
他们的办法是,将无分类器的指导扩散模型进行蒸馏。
对于一个训练有素的教师引导模型
,他们采取了两个步骤。
第一步,研究者引入了一个连续时间的学生模型
,它具有可学习的参数η1,来匹配教师模型在任意时间步长t ∈ [0, 1] 的输出。指定一系列他们有兴趣的指导强度
后,他们使用以下目标来优化学生模型。

其中
。
为了结合指导权重w,研究者引入了w条件模型,其中w作为学生模型的输入。为了更好地捕捉特征,他们将傅里叶嵌入应用w,然后用Kingma等人使用的时间步长的方式,把它合并到扩散模型的主干中。
由于初始化在性能中起着关键作用,研究者初始化学生模型时,使用的是与教师条件模型相同的参数(除了新引入的与w-conditioning相关的参数)。
第二步,研究者设想了一个离散的时间步长场景,并且通过每次将采样步数减半,逐步将学习模型从第⼀步
蒸馏成具有可学习参数η2、步⻓更少的学⽣模型
。
其中,N表⽰采样步骤的数量,对于
和
,研究者开始训练学生模型,让它用一步来匹配教师模型的两步DDIM采样的输出(例如:从t/N到t - 0.5/N,从t - 0.5/N到t - 1/N)。
将教师模型中的2N个步骤蒸馏成学生模型中的N个步骤以后,我们可以将新的N-step学生模型作为新的教师模型,然后重复同样的过程,将教师模型蒸馏成N/2-step的学生模型。在每⼀步,研究者都会⽤教师模型的参数来初始化学⽣模型。
N-step的确定性和随机采样
⼀旦模型
被训练出来,对于
,研究者就可以通过DDIM更新规则来执行采样。研究者注意到,对于蒸馏模型
,这个采样过程在给定初始化
的情况下是确定的。
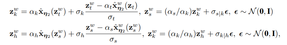
另外,研究者也可以进行N步的随机采样。使用两倍于原始步长的确定性采样步骤( 即与N/2-step确定性采样器相同),然后使用原始步长进行一次随机步回(即用噪声扰动)。
,当t > 1/N时,可用以下的更新规则——

其中,
。
当t=1/N时,研究者使用确定性更新公式,从
得出
。
值得注意的是,我们注意到,与确定性的采样器相比,执行随机采样需要在稍微不同的时间步长内评估模型,并且需要对边缘情况的训练算法进行小的修改。
其他蒸馏⽅法
还有一个直接将渐进式蒸馏应⽤于引导模型的方法,即遵循教师模型的结构,直接将学⽣模型蒸馏成⼀个联合训练的条件和⽆条件模型。研究者尝试了之后,发现此⽅法效果不佳。
实验和结论
模型实验在两个标准数据集上进行:ImageNet(64*64)和 CIFAR 10。
实验中探索了指导权重w的不同范围,并观察到所有的范围都有可比性,因此使用[wmin, wmax] = [0, 4]进行实验。使用信噪比损失训练第一步和第二步模型。
基线标准包括DDPM ancestral采样和DDIM采样。
为了更好地理解如何纳入指导权重w,使用一个固定的w值训练的模型作为参照。
为了进行公平比较,实验对所有的方法使用相同的预训练教师模型。使用U-Net(Ronneberger等人,2015)架构作为基线,并使用相同的U-Net主干,引入嵌入了w的结构作为两步学生模型。

上图为所有方法在ImageNet 64x64上的表现。其中D和S分别代表确定性和随机性采样器。
在实验中,以指导区间w∈[0, 4]为条件的模型训练,与w为固定值的模型训练表现相当。在步骤较少时,我们的方法明显优于DDIM基线性能,在8到16个步骤下基本达到教师模型的性能水平。

由FID和IS分数评估的ImageNet 64x64采样质量

由FID和IS评分评估的CIFAR-10采样质量
我们还对教师模型的编码过程进行蒸馏,并进行了风格转移的实验。具体来说,为了在两个领域A和B之间进行风格转换,用在领域A上训练的扩散模型对领域A的图像进行编码,然后用在领域B上训练的扩散模型进行解码。


由于编码过程可以理解为颠倒了的DDIM的采样过程,我们对具有无分类器指导的编码器和解码器都进行了蒸馏,并与DDIM编码器和解码器进行比较,如上图所示。我们还探讨了对引导强度w的改动对性能的影响。
总之,我们提出的引导扩散模型的蒸馏方法,以及一种随机采样器,从蒸馏后的模型中采样。从经验上看,我们的方法只用了一个步骤就能实现视觉上的高体验采样,只用8到16个步骤就能获得与教师相当的FID/IS分数。
以上就是本文的全部内容了,是否有顺利帮助你解决问题?若是能给你带来学习上的帮助,请大家多多支持golang学习网!更多关于科技周边的相关知识,也可关注golang学习网公众号。
年终访谈:人工智能技术与产业的发展变革
- 上一篇
- 年终访谈:人工智能技术与产业的发展变革
- 下一篇
- 图像识别:卷积神经网络
-
- 科技周边 · 人工智能 | 22分钟前 | 豆包大模型 豆包AI
- 豆包大模型为何成团队新宠?
- 195浏览 收藏
-
- 科技周边 · 人工智能 | 26分钟前 |
- 订阅成功仍弹窗升级?Perplexity清理缓存解决方法
- 104浏览 收藏
-
- 科技周边 · 人工智能 | 44分钟前 |
- DeepSeek助你分析跨国税务,对比多国税法条款
- 177浏览 收藏
-
- 科技周边 · 人工智能 | 47分钟前 |
- 快速入门编程语言,Cursor边写边练技巧
- 483浏览 收藏
-
- 科技周边 · 人工智能 | 55分钟前 |
- 如何写好中高层述职报告:Claude助你战略复盘个人价值
- 264浏览 收藏
-
- 科技周边 · 人工智能 | 1小时前 |
- 可灵AI手机使用技巧\_随时随地生成AI大片
- 455浏览 收藏
-
- 科技周边 · 人工智能 | 1小时前 | CodeGeeX
- CodeGeeX计算N天前的日期方法
- 419浏览 收藏
-
- 科技周边 · 人工智能 | 1小时前 |
- lovemo怎么生成动漫头像?步骤详解
- 214浏览 收藏
-
- 科技周边 · 人工智能 | 1小时前 | Hermes Agent HermesAgent
- Hermes Agent插件故障解决方法
- 245浏览 收藏
-
- 科技周边 · 人工智能 | 1小时前 | Hermes Agent HermesAgent
- Hermes Agent验证码识别方法详解
- 470浏览 收藏
-
- 科技周边 · 人工智能 | 1小时前 |
- DeepSeek最强提示词合集,效率提升10倍秘诀
- 238浏览 收藏
-
- 前端进阶之JavaScript设计模式
- 设计模式是开发人员在软件开发过程中面临一般问题时的解决方案,代表了最佳的实践。本课程的主打内容包括JS常见设计模式以及具体应用场景,打造一站式知识长龙服务,适合有JS基础的同学学习。
- 543次学习
-
- GO语言核心编程课程
- 本课程采用真实案例,全面具体可落地,从理论到实践,一步一步将GO核心编程技术、编程思想、底层实现融会贯通,使学习者贴近时代脉搏,做IT互联网时代的弄潮儿。
- 516次学习
-
- 简单聊聊mysql8与网络通信
- 如有问题加微信:Le-studyg;在课程中,我们将首先介绍MySQL8的新特性,包括性能优化、安全增强、新数据类型等,帮助学生快速熟悉MySQL8的最新功能。接着,我们将深入解析MySQL的网络通信机制,包括协议、连接管理、数据传输等,让
- 500次学习
-
- JavaScript正则表达式基础与实战
- 在任何一门编程语言中,正则表达式,都是一项重要的知识,它提供了高效的字符串匹配与捕获机制,可以极大的简化程序设计。
- 487次学习
-
- 从零制作响应式网站—Grid布局
- 本系列教程将展示从零制作一个假想的网络科技公司官网,分为导航,轮播,关于我们,成功案例,服务流程,团队介绍,数据部分,公司动态,底部信息等内容区块。网站整体采用CSSGrid布局,支持响应式,有流畅过渡和展现动画。
- 485次学习
-
- ChatExcel酷表
- ChatExcel酷表是由北京大学团队打造的Excel聊天机器人,用自然语言操控表格,简化数据处理,告别繁琐操作,提升工作效率!适用于学生、上班族及政府人员。
- 4520次使用
-
- Any绘本
- 探索Any绘本(anypicturebook.com/zh),一款开源免费的AI绘本创作工具,基于Google Gemini与Flux AI模型,让您轻松创作个性化绘本。适用于家庭、教育、创作等多种场景,零门槛,高自由度,技术透明,本地可控。
- 4872次使用
-
- 可赞AI
- 可赞AI,AI驱动的办公可视化智能工具,助您轻松实现文本与可视化元素高效转化。无论是智能文档生成、多格式文本解析,还是一键生成专业图表、脑图、知识卡片,可赞AI都能让信息处理更清晰高效。覆盖数据汇报、会议纪要、内容营销等全场景,大幅提升办公效率,降低专业门槛,是您提升工作效率的得力助手。
- 4744次使用
-
- 星月写作
- 星月写作是国内首款聚焦中文网络小说创作的AI辅助工具,解决网文作者从构思到变现的全流程痛点。AI扫榜、专属模板、全链路适配,助力新人快速上手,资深作者效率倍增。
- 6609次使用
-
- MagicLight
- MagicLight.ai是全球首款叙事驱动型AI动画视频创作平台,专注于解决从故事想法到完整动画的全流程痛点。它通过自研AI模型,保障角色、风格、场景高度一致性,让零动画经验者也能高效产出专业级叙事内容。广泛适用于独立创作者、动画工作室、教育机构及企业营销,助您轻松实现创意落地与商业化。
- 5107次使用
-
- GPT-4王者加冕!读图做题性能炸天,凭自己就能考上斯坦福
- 2023-04-25 501浏览
-
- 单块V100训练模型提速72倍!尤洋团队新成果获AAAI 2023杰出论文奖
- 2023-04-24 501浏览
-
- ChatGPT 真的会接管世界吗?
- 2023-04-13 501浏览
-
- VR的终极形态是「假眼」?Neuralink前联合创始人掏出新产品:科学之眼!
- 2023-04-30 501浏览
-
- 实现实时制造可视性优势有哪些?
- 2023-04-15 501浏览

