用一行代码大幅提升零样本学习方法效果,南京理工&牛津提出即插即用分类器模块
本篇文章主要是结合我之前面试的各种经历和实战开发中遇到的问题解决经验整理的,希望这篇《用一行代码大幅提升零样本学习方法效果,南京理工&牛津提出即插即用分类器模块》对你有很大帮助!欢迎收藏,分享给更多的需要的朋友学习~
零样本学习(Zero-Shot Learning)聚焦于对训练过程中没有出现过的类别进行分类,基于语义描述的零样本学习通过预先定义的每个类别的高阶语义信息来实现从可见类(seen class)到未见类(unseen class)的知识迁移。传统零样本学习在测试阶段仅需要对未见类进行识别,而广义零样本学习(GZSL)需要同时识别可见类和未见类,其评测指标是可见类类平均准确率与未见类类平均准确率的调和平均。
一种通用的零样本学习策略是使用可见类样本和语义训练从语义空间到视觉样本空间的条件生成模型,再借助未见类语义生成未见类的伪样本,最后使用可见类样本和未见类伪样本训练分类网络。然而,要学习两个模态(语义模态与视觉模态)间的良好映射关系通常需要大量样本(参照 CLIP),这在传统零样本学习环境下无法实现。因此,使用未见类语义生成的视觉样本分布通常和真实样本分布存在偏差(bias),这意味着以下两点:1. 这种方法获得的未见类准确率有限。2. 在未见类平均每类生成伪样本数量与可见类平均每类样本数量相当的情况下,未见类准确率与可见类准确率存在较大差值,如下表 1 所示。

我们发现就算只学习语义到类别中心点的映射,并将未见类语义映射为的单一样本点复制多次再参加分类器训练也能得到接近使用生成模型的效果。这意味着生成模型生成的未见类伪样本特征对分类器来说是较为同质(homogeneity)的。
先前的方法通常通过生成大量未见类伪样本来迎合 GZSL 评测指标(尽管大的采样数量对未见类类间判别没有帮助)。然而这种重采样(re-sampling)的策略在长尾学习(Long-tail Learning)领域被证明会导致分类器在部分特征上过拟合,在这里即是与真实样本偏移的伪未见类特征。这种情况不利于可见类和未见类真实样本的识别。那么,能否舍弃这种重采样策略,转而将生成未见类伪样本的偏移性和同质性(或者可见类与未见类的类别不平衡)作为归纳偏置(inductive bias)植入分类器学习呢?
基于此,我们提出了一个即插即用的分类器模块,只需修改一行代码就能提升生成型零样本学习方法的效果。每个不可见类只需生成 10 个伪样本,就能达到 SOTA 水平。与其他生成型零样本方法相比,新方法在计算复杂度上具有巨大优势。研究成员来自南京理工大学和牛津大学。

- 论文: https://arxiv.org/abs/2204.11822
- 代码: https://github.com/cdb342/IJCAI-2022-ZLA
本文以一致化训练与测试目标为指引,推导出广义零样本学习评测指标的变分下界。以此建模的分类器能够避免使用重采用策略,防止分类器在生成的伪样本上过拟合对真实样本的识别造成不利影响。所提方法能够使基于嵌入的分类器在生成型方法框架上有效,减少了分类器对于生成伪样本质量的依赖。
方法
1. 引入参数化先验
我们决定从分类器的损失函数上着手。假设类别空间已经被生成的未见类伪样本所完善,先前的分类器以最大化全局准确率为优化目标:


其中
为全局准确率,
表示分类器输出,
表示样本分布,
为样本 X 对应标签。而 GZSL 的评测指标为:


其中
和
分别代表可见类和未见类集合。训练目标和测试目标的不一致意味着先前的分类器训练策略没有考虑可见类和未见类的差异。自然而然地,我们试图通过对
进行推导来实现训练与测试目标一致的结果。经过推导,我们得到了其下界:

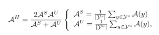
其中
代表可见类 - 未见类先验,其与数据无关,在实验中作为超参数进行调整,
代表可见类或未见类内部先验,在实现过程中用可见类样本频率或均匀分布代替。通过最大化
的下界,我们得到了最终的优化目标:

由此,我们的分类建模目标相较先前发生了以下改变:

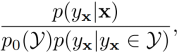
通过使用交叉熵(cross-entropy)拟合后验概率
,我们得到分类器损失为:

这与长尾学习中的逻辑调整(Logit Adjustment)类似,因此我们称之为零样本逻辑调整(ZLA)。至此,我们实现了通过引入参数化先验将可见类与未见类的类别不平衡作为归纳偏置植入到分类器训练中,并且在代码实现中只需对原始 logits 加上额外偏置项就能达到以上效果。

2. 引入语义先验
到目前为止,零样本迁移的核心,即语义先验(semantic prior)仅在训练生成器与生成伪样本阶段发挥作用,对未见类的识别完全取决于生成的未见类伪样本的质量。显然,如果能够在分类器训练阶段引入语义先验,将会有助于未见类的识别。在零样本学习领域有一类基于嵌入(embedding-based)的方法能够实现这一功能。然而,这一类方法与生成模型学习到的知识是相似的,即语义与视觉间的联系(semantic-visual link),这导致在先前的生成型框架中(参照论文 f-CLSWGAN)直接引入基于嵌入的分类器无法取得比原先更好的效果(除非这种分类器本身就有更好的零样本性能)。通过本文提出的 ZLA 策略,我们能够改变生成的未见类伪样本在分类器训练中扮演的角色。从原先的提供不可见类信息到现在的调整不可见类与可见类间的决策界限(decision boundary),我们得以在分类器训练阶段引入语义先验。具体地,我们采用了原型学习的方法将每个类别的语义映射为视觉原型(即分类器权值),再将调整的后验概率(adjusted posterior)建模为样本与视觉原型间的余弦相似度(cosine similarity),即

其中
为温度系数。在测试阶段,样本被预测为与其余弦相似度最大的视觉原型对应类别。

实验
我们将所提出的分类器与基础 WGAN 结合,在每个未见类生成 10 个样本的情况下达到了媲美 SoTAs 的效果。另外我们将其插入到更加先进的 CE-GZSL 方法中,在不改变其他参数(包括生成样本数量)的情况下提升了初始效果。

在消融实验中,我们将基于生成的原型学习器(prototype learner)与纯原型学习器进行了比较。我们发现,最后一个 ReLU 层对于纯原型学习器的成功至关重要,因为将负数置零可以增大类别原型与未见类特征的相似度(未见类特征同样经过 ReLU 激活)。然而将部分数值置零也限制了原型的表达,不利于更进一步的识别性能。借助伪未见类样本来弥补未见类信息不仅能在使用 RuLU 时达到更高性能,更能在没有 ReLU 层的情况下实现进一步的性能超越。

在另一项消融研究中,我们将原型学习器与初始分类器进行比较。结果显示当生成大量未见类样本时,原型学习器与初始分类器相比没有优势。而在使用本文提出的 ZLA 技术时,原型学习器显示出其优越性。正如前文所说,这是因为原型学习器和生成模型都在学习语义 - 视觉联系,所以语义信息很难被充分利用。ZLA 使生成的未见类样本能够调整决策边界,而不是仅仅提供未见类信息,从而对原型学习器起到激活作用。

以上就是《用一行代码大幅提升零样本学习方法效果,南京理工&牛津提出即插即用分类器模块》的详细内容,更多关于机器学习,代码的资料请关注golang学习网公众号!
ChatGPT 到底能颠覆什么?
- 上一篇
- ChatGPT 到底能颠覆什么?
- 下一篇
- 使用人工智能来个性化和优化与客户的互动
-
- 科技周边 · 人工智能 | 5分钟前 |
- 千问AI写诗技巧与平仄检测方法
- 176浏览 收藏
-
- 科技周边 · 人工智能 | 9分钟前 | Perplexity
- Perplexity批量搜索技巧,高效指令提升效率
- 322浏览 收藏
-
- 科技周边 · 人工智能 | 18分钟前 | 腾讯元宝
- 腾讯元宝AI官网及内容生成链接
- 193浏览 收藏
-
- 科技周边 · 人工智能 | 19分钟前 |
- AI图文转视频,一键生成短视频教程
- 174浏览 收藏
-
- 科技周边 · 人工智能 | 31分钟前 |
- 小荷与京东AI医生哪个好?
- 234浏览 收藏
-
- 科技周边 · 人工智能 | 51分钟前 |
- DeepSeekAPI支持流式返回吗?如何开启stream模式
- 381浏览 收藏
-
- 科技周边 · 人工智能 | 1小时前 |
- Gemini论文润色技巧,提升表达地道度
- 477浏览 收藏
-
- 科技周边 · 人工智能 | 1小时前 |
- Gemini写诗技巧入门教程详解
- 477浏览 收藏
-
- 科技周边 · 人工智能 | 2小时前 | AI翻译
- 讯飞搜狗翻译AI医报准确度提升解析
- 128浏览 收藏
-
- 科技周边 · 人工智能 | 2小时前 |
- 千问AI视频制作入门指南
- 131浏览 收藏
-
- 科技周边 · 人工智能 | 2小时前 |
- Claude3.7国内使用教程详解
- 337浏览 收藏
-
- 科技周边 · 人工智能 | 2小时前 |
- Minimax材质纹理技巧与实战应用
- 287浏览 收藏
-
- 前端进阶之JavaScript设计模式
- 设计模式是开发人员在软件开发过程中面临一般问题时的解决方案,代表了最佳的实践。本课程的主打内容包括JS常见设计模式以及具体应用场景,打造一站式知识长龙服务,适合有JS基础的同学学习。
- 543次学习
-
- GO语言核心编程课程
- 本课程采用真实案例,全面具体可落地,从理论到实践,一步一步将GO核心编程技术、编程思想、底层实现融会贯通,使学习者贴近时代脉搏,做IT互联网时代的弄潮儿。
- 516次学习
-
- 简单聊聊mysql8与网络通信
- 如有问题加微信:Le-studyg;在课程中,我们将首先介绍MySQL8的新特性,包括性能优化、安全增强、新数据类型等,帮助学生快速熟悉MySQL8的最新功能。接着,我们将深入解析MySQL的网络通信机制,包括协议、连接管理、数据传输等,让
- 500次学习
-
- JavaScript正则表达式基础与实战
- 在任何一门编程语言中,正则表达式,都是一项重要的知识,它提供了高效的字符串匹配与捕获机制,可以极大的简化程序设计。
- 487次学习
-
- 从零制作响应式网站—Grid布局
- 本系列教程将展示从零制作一个假想的网络科技公司官网,分为导航,轮播,关于我们,成功案例,服务流程,团队介绍,数据部分,公司动态,底部信息等内容区块。网站整体采用CSSGrid布局,支持响应式,有流畅过渡和展现动画。
- 485次学习
-
- ChatExcel酷表
- ChatExcel酷表是由北京大学团队打造的Excel聊天机器人,用自然语言操控表格,简化数据处理,告别繁琐操作,提升工作效率!适用于学生、上班族及政府人员。
- 4257次使用
-
- Any绘本
- 探索Any绘本(anypicturebook.com/zh),一款开源免费的AI绘本创作工具,基于Google Gemini与Flux AI模型,让您轻松创作个性化绘本。适用于家庭、教育、创作等多种场景,零门槛,高自由度,技术透明,本地可控。
- 4614次使用
-
- 可赞AI
- 可赞AI,AI驱动的办公可视化智能工具,助您轻松实现文本与可视化元素高效转化。无论是智能文档生成、多格式文本解析,还是一键生成专业图表、脑图、知识卡片,可赞AI都能让信息处理更清晰高效。覆盖数据汇报、会议纪要、内容营销等全场景,大幅提升办公效率,降低专业门槛,是您提升工作效率的得力助手。
- 4499次使用
-
- 星月写作
- 星月写作是国内首款聚焦中文网络小说创作的AI辅助工具,解决网文作者从构思到变现的全流程痛点。AI扫榜、专属模板、全链路适配,助力新人快速上手,资深作者效率倍增。
- 6192次使用
-
- MagicLight
- MagicLight.ai是全球首款叙事驱动型AI动画视频创作平台,专注于解决从故事想法到完整动画的全流程痛点。它通过自研AI模型,保障角色、风格、场景高度一致性,让零动画经验者也能高效产出专业级叙事内容。广泛适用于独立创作者、动画工作室、教育机构及企业营销,助您轻松实现创意落地与商业化。
- 4873次使用
-
- GPT-4王者加冕!读图做题性能炸天,凭自己就能考上斯坦福
- 2023-04-25 501浏览
-
- 单块V100训练模型提速72倍!尤洋团队新成果获AAAI 2023杰出论文奖
- 2023-04-24 501浏览
-
- ChatGPT 真的会接管世界吗?
- 2023-04-13 501浏览
-
- VR的终极形态是「假眼」?Neuralink前联合创始人掏出新产品:科学之眼!
- 2023-04-30 501浏览
-
- 实现实时制造可视性优势有哪些?
- 2023-04-15 501浏览

