深度学习必须掌握的13种概率分布
小伙伴们有没有觉得学习科技周边很有意思?有意思就对了!今天就给大家带来《深度学习必须掌握的13种概率分布》,以下内容将会涉及到,若是在学习中对其中部分知识点有疑问,或许看了本文就能帮到你!

一. 概率分布概述

- 共轭意味着它有共轭分布的关系。
- 在贝叶斯概率论中,如果后验分布 p(θx)与先验概率分布 p(θ)在同一概率分布族中,则先验和后验称为共轭分布,先验称为似然函数的共轭先验。共轭先验维基百科在这里(https://en.wikipedia.org/wiki/Conjugate_prior)。
- 多分类表示随机方差大于 2。
- n 次意味着我们也考虑了先验概率 p(x)。
- 为了进一步了解概率,我建议阅读 [pattern recognition and machine learning,Bishop 2006]。
二. 分布概率与特征
1.均匀分布(连续)
代码:https://github.com/graykode/distribution-is-all-you-need/blob/master/uniform.py
均匀分布在 [a,b] 上具有相同的概率值,是简单概率分布。

2.伯努利分布(离散)
代码:https://github.com/graykode/distribution-is-all-you-need/blob/master/bernoulli.py
- 先验概率 p(x)不考虑伯努利分布。因此,如果我们对最大似然进行优化,那么我们很容易被过度拟合。
- 利用二元交叉熵对二项分类进行分类。它的形式与伯努利分布的负对数相同。图片
3.二项分布(离散)
代码:https://github.com/graykode/distribution-is-all-you-need/blob/master/binomial.py
- 参数为 n 和 p 的二项分布是一系列 n 个独立实验中成功次数的离散概率分布。
- 二项式分布是指通过指定要提前挑选的数量而考虑先验概率的分布。

4.多伯努利分布,分类分布(离散)
代码:https://github.com/graykode/distribution-is-all-you-need/blob/master/categorical.py
- 多伯努利称为分类分布。
- 交叉熵和采取负对数的多伯努利分布具有相同的形式。

5.多项式分布(离散)
代码:https://github.com/graykode/distribution-is-all-you-need/blob/master/multinomial.py
多项式分布与分类分布的关系与伯努尔分布与二项分布的关系相同。

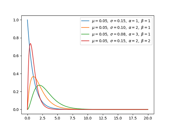
6.β分布(连续)
代码:https://github.com/graykode/distribution-is-all-you-need/blob/master/beta.py
- β分布与二项分布和伯努利分布共轭。
- 利用共轭,利用已知的先验分布可以更容易地得到后验分布。
- 当β分布满足特殊情况(α=1,β=1)时,均匀分布是相同的。

7.Dirichlet 分布(连续)
代码:https://github.com/graykode/distribution-is-all-you-need/blob/master/dirichlet.py
- dirichlet 分布与多项式分布是共轭的。
- 如果 k=2,则为β分布。

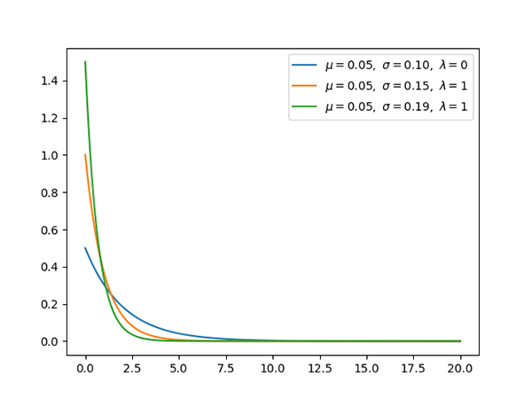
8.伽马分布(连续)
代码:https://github.com/graykode/distribution-is-all-you-need/blob/master/gamma.py
- 如果 gamma(a,1)/gamma(a,1)+gamma(b,1)与 beta(a,b)相同,则 gamma 分布为β分布。
- 指数分布和卡方分布是伽马分布的特例。

9.指数分布(连续)
代码:https://github.com/graykode/distribution-is-all-you-need/blob/master/exponential.py
指数分布是 α 为 1 时 γ 分布的特例。

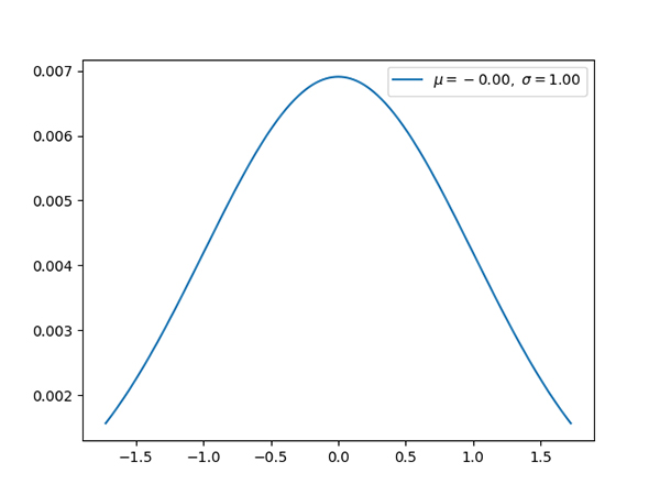
10.高斯分布(连续)
代码:https://github.com/graykode/distribution-is-all-you-need/blob/master/gaussian.py
高斯分布是一种非常常见的连续概率分布。

11.正态分布(连续)
代码:https://github.com/graykode/distribution-is-all-you-need/blob/master/normal.py
正态分布为标准高斯分布,平均值为 0,标准差为 1。

12.卡方分布(连续)
代码:https://github.com/graykode/distribution-is-all-you-need/blob/master/chi-squared.py
- k 自由度的卡方分布是 k 个独立标准正态随机变量的平方和的分布。
- 卡方分布是 β 分布的特例

13.t 分布(连续)
代码:https://github.com/graykode/distribution-is-all-you-need/blob/master/student-t.py
t 分布是对称的钟形分布,与正态分布类似,但尾部较重,这意味着它更容易产生远低于平均值的值。

via:https://github.com/graykode/distribution-is-all-you-needa
今天带大家了解了的相关知识,希望对你有所帮助;关于科技周边的技术知识我们会一点点深入介绍,欢迎大家关注golang学习网公众号,一起学习编程~
2022年的科技与创新,你知道吗?
- 上一篇
- 2022年的科技与创新,你知道吗?
- 下一篇
- 阿里达摩院获SemEval最佳论文 让AI更懂人类语言
-
- 科技周边 · 人工智能 | 5小时前 |
- Mac Studio集群:多机跑70B大模型教程
- 370浏览 收藏
-
- 科技周边 · 人工智能 | 5小时前 | CanvaAI Canva可画
- Canva Pro会员价格及权益详解
- 246浏览 收藏
-
- 科技周边 · 人工智能 | 5小时前 | Hermes Agent HermesAgent
- Hermes Agent缓存清理方法【技巧】
- 420浏览 收藏
-
- 科技周边 · 人工智能 | 5小时前 | 骡子快跑
- 骡子快跑模拟面试怎么设置
- 382浏览 收藏
-
- 科技周边 · 人工智能 | 5小时前 | CodeGeeX
- 判断今天日期是否为指定日期
- 296浏览 收藏
-
- 科技周边 · 人工智能 | 6小时前 |
- DeepSeek替代ChatGPT优势解析
- 264浏览 收藏
-
- 科技周边 · 人工智能 | 6小时前 |
- 如何查看Perplexity API账单?进入Settings Billing管理面板
- 263浏览 收藏
-
- 科技周边 · 人工智能 | 6小时前 |
- 矢量图天花板!Recraft一键生成SVG全流程
- 446浏览 收藏
-
- 科技周边 · 人工智能 | 6小时前 | Hermes Agent HermesAgent
- HermesAgent数据归档:策略集成实战教程
- 104浏览 收藏
-
- 科技周边 · 人工智能 | 6小时前 |
- WorkBuddy一键配置文件下发方法
- 170浏览 收藏
-
- 科技周边 · 人工智能 | 7小时前 | Midjourney
- Midjourney生成表情包Gif制作教程
- 383浏览 收藏
-
- 前端进阶之JavaScript设计模式
- 设计模式是开发人员在软件开发过程中面临一般问题时的解决方案,代表了最佳的实践。本课程的主打内容包括JS常见设计模式以及具体应用场景,打造一站式知识长龙服务,适合有JS基础的同学学习。
- 543次学习
-
- GO语言核心编程课程
- 本课程采用真实案例,全面具体可落地,从理论到实践,一步一步将GO核心编程技术、编程思想、底层实现融会贯通,使学习者贴近时代脉搏,做IT互联网时代的弄潮儿。
- 516次学习
-
- 简单聊聊mysql8与网络通信
- 如有问题加微信:Le-studyg;在课程中,我们将首先介绍MySQL8的新特性,包括性能优化、安全增强、新数据类型等,帮助学生快速熟悉MySQL8的最新功能。接着,我们将深入解析MySQL的网络通信机制,包括协议、连接管理、数据传输等,让
- 500次学习
-
- JavaScript正则表达式基础与实战
- 在任何一门编程语言中,正则表达式,都是一项重要的知识,它提供了高效的字符串匹配与捕获机制,可以极大的简化程序设计。
- 487次学习
-
- 从零制作响应式网站—Grid布局
- 本系列教程将展示从零制作一个假想的网络科技公司官网,分为导航,轮播,关于我们,成功案例,服务流程,团队介绍,数据部分,公司动态,底部信息等内容区块。网站整体采用CSSGrid布局,支持响应式,有流畅过渡和展现动画。
- 485次学习
-
- ChatExcel酷表
- ChatExcel酷表是由北京大学团队打造的Excel聊天机器人,用自然语言操控表格,简化数据处理,告别繁琐操作,提升工作效率!适用于学生、上班族及政府人员。
- 4512次使用
-
- Any绘本
- 探索Any绘本(anypicturebook.com/zh),一款开源免费的AI绘本创作工具,基于Google Gemini与Flux AI模型,让您轻松创作个性化绘本。适用于家庭、教育、创作等多种场景,零门槛,高自由度,技术透明,本地可控。
- 4863次使用
-
- 可赞AI
- 可赞AI,AI驱动的办公可视化智能工具,助您轻松实现文本与可视化元素高效转化。无论是智能文档生成、多格式文本解析,还是一键生成专业图表、脑图、知识卡片,可赞AI都能让信息处理更清晰高效。覆盖数据汇报、会议纪要、内容营销等全场景,大幅提升办公效率,降低专业门槛,是您提升工作效率的得力助手。
- 4740次使用
-
- 星月写作
- 星月写作是国内首款聚焦中文网络小说创作的AI辅助工具,解决网文作者从构思到变现的全流程痛点。AI扫榜、专属模板、全链路适配,助力新人快速上手,资深作者效率倍增。
- 6583次使用
-
- MagicLight
- MagicLight.ai是全球首款叙事驱动型AI动画视频创作平台,专注于解决从故事想法到完整动画的全流程痛点。它通过自研AI模型,保障角色、风格、场景高度一致性,让零动画经验者也能高效产出专业级叙事内容。广泛适用于独立创作者、动画工作室、教育机构及企业营销,助您轻松实现创意落地与商业化。
- 5099次使用
-
- GPT-4王者加冕!读图做题性能炸天,凭自己就能考上斯坦福
- 2023-04-25 501浏览
-
- 单块V100训练模型提速72倍!尤洋团队新成果获AAAI 2023杰出论文奖
- 2023-04-24 501浏览
-
- ChatGPT 真的会接管世界吗?
- 2023-04-13 501浏览
-
- VR的终极形态是「假眼」?Neuralink前联合创始人掏出新产品:科学之眼!
- 2023-04-30 501浏览
-
- 实现实时制造可视性优势有哪些?
- 2023-04-15 501浏览

