PNAS最新研究:81%解题率,神经网络 Codex 推开高等数学世界大门
小伙伴们有没有觉得学习科技周边很有意思?有意思就对了!今天就给大家带来《PNAS最新研究:81%解题率,神经网络 Codex 推开高等数学世界大门》,以下内容将会涉及到,若是在学习中对其中部分知识点有疑问,或许看了本文就能帮到你!
近日,一项新研究发布于PNAS,再次刷新了神经网络的能力。这次神经网络被用来解决了高等数学题,而且还是麻省理工数学课程难度的数学题!
在这项新研究中,研究团队证明了 OpenAI 的 Codex 模型可以进行程序合成从而解决大规模的数学问题,并通过小样本学习自动解决数据集中 81%的数学课程问题,并且 Codex 在这些任务的表现上达到了人类水平。

原文链接:https://www.pnas.org/doi/10.1073/pnas.2123433119
这项研究的出现,颠覆了人们普遍认为神经网络无法解决高等数学问题的共识。研究团队指出,Codex 之所以能做到实现这样的能力,正是因为团队进行了一大创新,过去那些不成功的研究只使用了基于文本的预训练,而此次现身的 Codex 神经网络不仅要基于文本进行预训练,并且还对代码进行了微调。
研究的问题数据集选用来自 MIT 的六门数学课程和哥伦比亚大学的一门数学课程,从七门课程中随机抽取 25 个问题:MIT的单变量微积分、多变量微积分、微分方程、概率与统计概论、线性代数和 计算机科学数学和哥伦比亚大学的 COMS3251 计算线性代数。
同时,研究团队使用了一个用于评估数学推理的最新高级数学问题基准 MATH,用 MATH 来检测OpenAI Codex 的能力,MATH 从6大数学板块:初级代数,代数,计数和概率,中级代数,数论,和初级微积分中各抽取15个问题。

图注:研究中使用的课程问题数据集和MATH基准测试
研究显示,Codex 解决了问题数据集和 MATH 数据集中的 265 个问题,其中有 213 个是自动解决的。
1 创新何所在
在 Transformer 发布后,基于 Transformer 的语言模型在各种自然语言处理 (NLP) 任务,包括在零样本和少样本语言任务中取得了巨大成功。但是因为 Transformer 仅在文本上进行了预训练,所以这些模型基本上不能解决数学问题,GPT-3就是一个典型例子。
后来,通过小样本学习(few-shot learning)和思维链 (Chain-of-thought, CoT) 提示,GPT-3 的数学推理能力得到了提高;然而,在没有代码的情况下,即便有小样本学习和 CoT 提示, GPT-3 在大学水平数学问题和 MATH 基准测试中仍然无能为力。
过去关于解数学题的研究,可能在相对简单的数学水平上有一定成绩。举个例子,基于协同训练输出来验证或预测表达式树的技术,比如MAWPS 和 Math23k,能够以超过 81% 的准确率解决小学级别的数学问题,但是其不能解决高中、奥林匹克数学或大学难度的课程。协同训练与图神经网络 (GNN) 相结合以预测算术表达式树,能够以高达 95% 的准确率解决机器学习中的大学水平问题。但是这项工作也仅限于数字答案,并且产生了过拟合,不能推广到其他课程。
而这项工作的最大创新点之一就是,不仅对Codex 这种Transformer 模型进行了文本上的预训练,还在代码上进行了微调,使得其可以生成大规模解决数学问题的程序。

研究团队从数据集中随机选择不需要输入图像或证明的问题样本来进行测试。其中,仅对文本进行预训练的语言模型 (GPT-3 text-davinci-002) 仅自动解决了课程问题中的18%和 MATH基准测试问题中的25.5%。
相比之下,使用零样本学习和对文本进行预训练并在代码上进行微调的神经网络(OpenAI Codex code-davinci-002)合成的程序可以自动解决课程问题中的 71%和 MATH 基准测试问题中的72.2%。
而使用相同的神经网络 Codex 再加上少样本学习,便可自动解决课程中81%的问题和 MATH 基准测试中81.1%的问题。而其余模型无法自动解决的19%的课程问题和18.9%的MATH基准问题,最后通过手动提示解决。
小样本学习方式的补充,则是这项研究的第二大创新点。从上图中可以看出,当零样本学习无法解答问题时,便会使用(问题,代码)对(pair)执行小样本学习:
1) 使用 OpenAI 的 text-similarity-babbage-001 嵌入引擎嵌入所有问题;
2) 使用嵌入的余弦相似度从其课程中计算与未解决问题最相似的已解决问题;
3) 将最相似的问题及其相应的代码作为小样本问题的示例。

图注:4种方式的自动解题率对比
上图分别是Codex的零样本学习、小样本学习和GPT-3的零样本学习、小样本学习4种方式的自动解题率对比。图上可以看出,橙色条状所代表的小样本学习 Codex 在自动解题率上的优秀表现,基本上在每个数学领域上的表现都强于其他3种方式。
这项研究的第三大创新点,便是提供了一条解决数学问题和解释为何如此解答的管道,下图展示了MIT 5门数学课程中管道的执行流程。

以 18.01 单变量微积分问题为例,给定一个问题和自动生成的前缀“使用 SymPy”,Codex 被提示并输出一个程序。运行程序会产生正确答案的方程式。然后,程序会自动提示再次输入 Codex,从而生成生成的代码解释。
2 问题解决之后
除了解决数学问题和解释答案,Codex 也被用于为每门课程生成新问题。
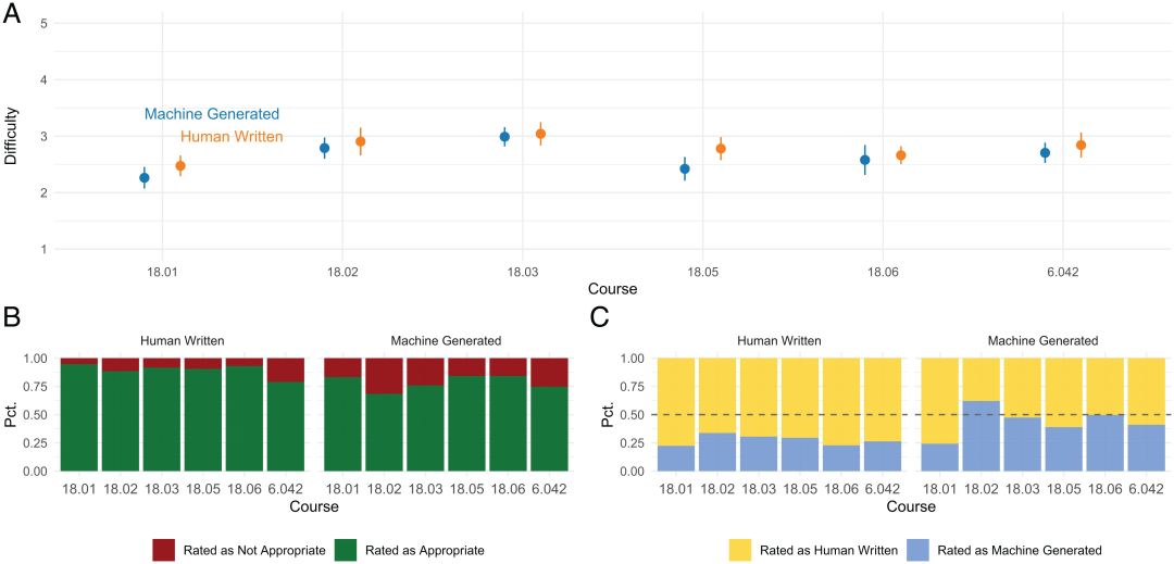
为了评估生成的问题水平,团队在参加过这些课程或者同水平课程的MIT学生中做了调查,主要是比较机器生成的问题和人工编写问题的质量和难度。
在MIT的6门课程中,每门选择5个人工编写问题和5个模型生成问题混合起来并且随机呈现。对于 60 个问题中的每一个问题,参与调查的学生都需要回答 3 个调查问题:
1)你认为这个问题是人工编写的还是机器生成的?
2)你认为这个问题适合还是不适合特定课程?
3 ) 在 1(最简单)和 5(最难)之间,你认为这个问题的难度级别是多少?

在收回的问卷中,学生调查结果总结如下:
- 机器生成和人工编写的问题难度相似。
- 人工编写的问题比机器生成的问题更适合课程。
- 人工编写的答案很难被识别错,而机器生成的问题被学生认为既可能是机器生成的,也可能是人工编写的。
机器生成的问题已经能让学生无法辨别,说明Codex 在生成新内容方面已达到了人类的表现水平。
但是,该模型也有无法解决的问题,比如,如果问题以图像或其他非文本形式出现,它就无法回答;带有需要证明的解决方案的问题,或者计算上难以解决的问题,比如分解非常大的素数,该模型也无法解决。不过,最后一种问题也不应出现在任何数学课程作业中,因为就算是真人学生也没法回答。
终于介绍完啦!小伙伴们,这篇关于《PNAS最新研究:81%解题率,神经网络 Codex 推开高等数学世界大门》的介绍应该让你收获多多了吧!欢迎大家收藏或分享给更多需要学习的朋友吧~golang学习网公众号也会发布科技周边相关知识,快来关注吧!
开局打爆谷歌,微软ChatGPT版必应亲测:强到发指!
- 上一篇
- 开局打爆谷歌,微软ChatGPT版必应亲测:强到发指!
- 下一篇
- Apple 在 15.4 beta 4 版本中为 HomePod 上的 Siri 添加了荷兰语语音识别功能
-
- 科技周边 · 人工智能 | 21分钟前 | 通义千问
- 怎么优化通义千问总结精度:重点标记+权重调整
- 302浏览 收藏
-
- 科技周边 · 人工智能 | 35分钟前 |
- Google Gemini 助力 Android Studio 开发
- 410浏览 收藏
-
- 科技周边 · 人工智能 | 42分钟前 | openclaw
- OpenClaw技能日志怎么开|调试教程详解
- 392浏览 收藏
-
- 科技周边 · 人工智能 | 51分钟前 |
- Codeium支持哪些编程语言?开发环境兼容性详解
- 412浏览 收藏
-
- 科技周边 · 人工智能 | 9小时前 |
- Kimi长视频总结技巧:提炼会议核心与行动项
- 297浏览 收藏
-
- 科技周边 · 人工智能 | 9小时前 |
- Claude官网登录失败?问题排查指南
- 427浏览 收藏
-
- 科技周边 · 人工智能 | 9小时前 | Perplexity
- Perplexity能离线使用吗?离线保存技巧分享
- 331浏览 收藏
-
- 科技周边 · 人工智能 | 9小时前 |
- DeepSeek生成JSON数据方法解析
- 176浏览 收藏
-
- 科技周边 · 人工智能 | 9小时前 | Capybara
- CapybaraAI批量任务操作方法详解
- 486浏览 收藏
-
- 科技周边 · 人工智能 | 9小时前 |
- 零基础设计LOGO,DALL-E 3精准提示出图教程
- 204浏览 收藏
-
- 科技周边 · 人工智能 | 9小时前 |
- AI写作鱼如何一键生成产品描述
- 175浏览 收藏
-
- 科技周边 · 人工智能 | 10小时前 |
- workbuddy团队动态查看方法及进度追踪技巧
- 463浏览 收藏
-
- 前端进阶之JavaScript设计模式
- 设计模式是开发人员在软件开发过程中面临一般问题时的解决方案,代表了最佳的实践。本课程的主打内容包括JS常见设计模式以及具体应用场景,打造一站式知识长龙服务,适合有JS基础的同学学习。
- 543次学习
-
- GO语言核心编程课程
- 本课程采用真实案例,全面具体可落地,从理论到实践,一步一步将GO核心编程技术、编程思想、底层实现融会贯通,使学习者贴近时代脉搏,做IT互联网时代的弄潮儿。
- 516次学习
-
- 简单聊聊mysql8与网络通信
- 如有问题加微信:Le-studyg;在课程中,我们将首先介绍MySQL8的新特性,包括性能优化、安全增强、新数据类型等,帮助学生快速熟悉MySQL8的最新功能。接着,我们将深入解析MySQL的网络通信机制,包括协议、连接管理、数据传输等,让
- 500次学习
-
- JavaScript正则表达式基础与实战
- 在任何一门编程语言中,正则表达式,都是一项重要的知识,它提供了高效的字符串匹配与捕获机制,可以极大的简化程序设计。
- 487次学习
-
- 从零制作响应式网站—Grid布局
- 本系列教程将展示从零制作一个假想的网络科技公司官网,分为导航,轮播,关于我们,成功案例,服务流程,团队介绍,数据部分,公司动态,底部信息等内容区块。网站整体采用CSSGrid布局,支持响应式,有流畅过渡和展现动画。
- 485次学习
-
- ChatExcel酷表
- ChatExcel酷表是由北京大学团队打造的Excel聊天机器人,用自然语言操控表格,简化数据处理,告别繁琐操作,提升工作效率!适用于学生、上班族及政府人员。
- 4226次使用
-
- Any绘本
- 探索Any绘本(anypicturebook.com/zh),一款开源免费的AI绘本创作工具,基于Google Gemini与Flux AI模型,让您轻松创作个性化绘本。适用于家庭、教育、创作等多种场景,零门槛,高自由度,技术透明,本地可控。
- 4585次使用
-
- 可赞AI
- 可赞AI,AI驱动的办公可视化智能工具,助您轻松实现文本与可视化元素高效转化。无论是智能文档生成、多格式文本解析,还是一键生成专业图表、脑图、知识卡片,可赞AI都能让信息处理更清晰高效。覆盖数据汇报、会议纪要、内容营销等全场景,大幅提升办公效率,降低专业门槛,是您提升工作效率的得力助手。
- 4465次使用
-
- 星月写作
- 星月写作是国内首款聚焦中文网络小说创作的AI辅助工具,解决网文作者从构思到变现的全流程痛点。AI扫榜、专属模板、全链路适配,助力新人快速上手,资深作者效率倍增。
- 6125次使用
-
- MagicLight
- MagicLight.ai是全球首款叙事驱动型AI动画视频创作平台,专注于解决从故事想法到完整动画的全流程痛点。它通过自研AI模型,保障角色、风格、场景高度一致性,让零动画经验者也能高效产出专业级叙事内容。广泛适用于独立创作者、动画工作室、教育机构及企业营销,助您轻松实现创意落地与商业化。
- 4837次使用
-
- GPT-4王者加冕!读图做题性能炸天,凭自己就能考上斯坦福
- 2023-04-25 501浏览
-
- 单块V100训练模型提速72倍!尤洋团队新成果获AAAI 2023杰出论文奖
- 2023-04-24 501浏览
-
- ChatGPT 真的会接管世界吗?
- 2023-04-13 501浏览
-
- VR的终极形态是「假眼」?Neuralink前联合创始人掏出新产品:科学之眼!
- 2023-04-30 501浏览
-
- 实现实时制造可视性优势有哪些?
- 2023-04-15 501浏览

