生成式语义分割新范式GMMSeg,可同时处理闭集和开集识别
怎么入门科技周边编程?需要学习哪些知识点?这是新手们刚接触编程时常见的问题;下面golang学习网就来给大家整理分享一些知识点,希望能够给初学者一些帮助。本篇文章就来介绍《生成式语义分割新范式GMMSeg,可同时处理闭集和开集识别》,涉及到,有需要的可以收藏一下
当前主流语义分割算法本质上是基于 softmax 分类器的判别式分类模型,直接对 p (class|pixel feature) 进行建模,而完全忽略了潜在的像素数据分布,即 p (class|pixel feature)。这限制了模型的表达能力以及在 OOD (out-of-distribution) 数据上的泛化性。
在最近的一项研究中,来自浙江大学、悉尼科技大学、百度研究院的研究者们提出了一种全新的语义分割范式 —— 基于高斯混合模型(GMM)的生成式语义分割模型 GMMSeg。

- 论文链接:https://arxiv.org/abs/2210.02025
- 代码链接:https://github.com/leonnnop/GMMSeg
GMMSeg 对像素与类别的联合分布进行建模,通过 EM 算法在像素特征空间学习高斯混合分类器 (GMM Classifier),以生成式范式对每一个类别的像素特征分布进行精细捕捉。与此同时,GMMSeg 采用判别式损失来端到端的优化深度特征提取器。这使得 GMMSeg 同时具备判别式与生成式模型的优势。
实验结果表明,GMMSeg 在多种分割网络架构 (segmentation architecture) 及骨干网络 (backbone network) 上都获得了性能提升;同时,无需任何后处理或微调,GMMSeg 可以直接被应用到异常分割 (anomaly segmentation) 任务。
迄今为止,这是第一次有语义分割方法能够使用单一的模型实例,在闭集 (closed-set) 及开放世界 (open-world) 条件下同时取得先进性能。这也是生成式分类器第一次在大规模视觉任务中展示出优势。
判别式 v.s. 生成式分类器

在深入探讨现有分割范式以及所提方法之前,这里简略引入判别式以及生成式分类器的概念。
假设有数据集合 D,其包含成对的样本 - 标签对 (x, y);分类器的最终目标是预测样本分类概率 p (y|x)。分类方法可以被分为两类:判别式分类器以及生成式分类器。
- 判别式分类器:直接建模条件概率 p (y|x);其仅仅学习分类的最优决策边界,而完全不考虑样本本身的分布,也因此无法反映样本的特性。
- 生成式分类器:首先建模联合概率分布 p (x, y),而后通过贝叶斯定理推导出分类条件概率;其显式地对数据本身的分布进行建模,往往针对每一个类别都会建立对应的模型。相比于判别式分类器,其充分考虑了样本的特征信息。

主流语义分割范式:判别式 Softmax 分类器
目前主流的逐像素分割模型大多使用深度网络抽取像素特征,而后使用 softmax 分类器进行像素特征分类。其网络架构由两部分组成:
第一部分为像素特征提取器,其典型架构为编码器 - 解码器对,通过将 RGB 空间的像素输入映射到 D - 维度的高维空间获取像素特征。
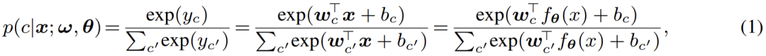
第二部分为像素分类器,即主流的 softmax 分类器;其将输入的像素特征编码为 C - 类实数输出(logits),而后利用 softmax 函数对输出(logits)归一化并赋予概率意义,即利用 logits 计算像素分类的后验概率:

最终,由两个部分构成的完整模型将通过 cross-entropy 损失进行端到端的优化:

在此过程中,模型忽略了像素本身的分布,而直接对像素分类预测的条件概率 p (c|x) 进行估计。由此可见,主流的 softmax 分类器本质为判别式分类器。
判别式分类器结构简单,并因其优化目标直接针对于缩小判别误差,往往能够取得优异的判别性能。然而与此同时,其有一些尚未引起已有工作重视的致命缺点,极大的影响了 softmax 分类器的分类性能及泛化性:
- 首先,其仅仅对决策边界进行建模;完全忽视了像素特征的分布,也因而无法对每一个类别的具体特性进行建模与利用;削弱了其泛化性以及表达能力。
- 其次,其使用单一的参数对 (w,b) 建模一个类别;换言之,softmax 分类器依赖于单模分布 (unimodality) 假设;这种极强且过于简化的假设在实际应用往往不能成立,这导致其只能够取得次优的性能。
- 最后,softmax 分类器的输出无法准确反映真实的概率意义;其最终的预测只能作为与其他类别进行比较时的参考。这也正是大量主流分割模型较难检测出 OOD 输入的根本原因。
针对这些问题,作者认为应该对目前主流的判别式范式进行重新思考,并在本文中给出了对应的方案:生成式语义分割模型 ——GMMSeg。
生成式语义分割模型:GMMSeg
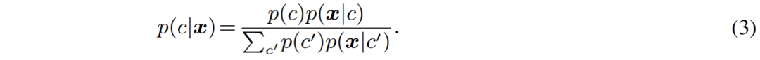
作者从生成式模型的角度重新梳理了语义分割过程。相较于直接建模分类概率 p (c|x),生成式分类器对联合分布 p (x, c) 进行建模,而后使用贝叶斯定理推导出分类概率:

其中,出于泛化性考虑,类别先验 p (c) 往往被设置为 uniform 分布,而如何对像素特征的类别条件分布 p (x|c) 进行建模,就成为了当前的首要问题。
在本文中,即 GMMSeg 中,采用高斯混合模型对 p (x|c) 进行建模,其形式如下:

在分模型 (component) 数目不受限的情况下,高斯混合模型理论上能够拟合任意的分布,因而十分优雅且强大;同时,其混合模型的本质也使得建模多模分布 (multimodality),即建模类内变化,变得可行。基于此,本文采用极大似然估计来优化模型的参数:

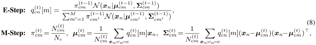
其经典的解法为 EM 算法,即通过交替执行 E-M - 两步逐步优化 F - 函数:

具体到高斯混合模型的优化;EM 算法实际上在 E - 步中,对数据点属于每一个分模型的概率进行了重新估计。换言之,其相当于在 E - 步中对像素点进行了软聚类 (soft clustering);而后,在 M - 步,即可利用聚类结果,再次更新模型参数。

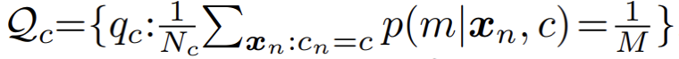
然而在实际应用中,作者发现标准的 EM 算法收敛缓慢,且最终结果较差。作者怀疑是由于 EM 算法对参数优化初始值过于敏感,导致其难以收敛到更优的局部极值点。受到近期一系列基于最优传输理论 (optimal transport) 的聚类算法的启发,作者对混合分模型分布额外引入了一个 uniform 先验:

相应的,参数优化过程中的 E - 步骤被转化为约束优化问题,如下:

这个过程可以被直观的理解成,对聚类过程引入了一个均分的约束:在聚类过程中,数据点能够被一定程度上均匀的分配给每一个分模型。引入此约束之后,此优化过程就等价于下式列出的最优传输问题:

此式可以利用 Sinkhorn-Knopp 算法快速求解。而整个改进过后的优化过程被命名为 Sinkhorn EM,其被一些理论工作证明,具有与标准 EM 算法相同的全局最优解,且更不容易陷入局部最优解。
在线混合 (Online Hybrid) 优化
之后,在完整的优化过程中,文章中使用了一种在线混合 (online hybrid) 的优化模式:通过生成式 Sinkhorn EM,在逐渐更新的特征空间中,不断对高斯混合分类器进行优化;而对于完整框架中另一个部分,即像素特征提取器部分,则基于生成式分类器的预测结果,使用判别式 cross-entropy 损失进行优化。两个部分交替优化,互相对齐,使得整个模型紧密耦合,并且能够进行端到端的训练:

在此过程中,特征提取部分只通过梯度反向传播优化;而生成式分类器部分,则只通过 SinkhornEM 进行优化。正是这种交替式优化的设计,使得整个模型能够紧凑的融合在一起,并同时继承来自判别式以及生成式模型的优势。

最终,GMMSeg 受益于其生成式分类的架构以及在线混合的训练策略,展示出了判别式 softmax 分类器所不具有的优势:
- 其一,受益于其通用的架构,GMMSeg 与大部分主流分割模型兼容,即与使用 softmax 进行分类的模型兼容:只需要替换掉判别式 softmax 分类器,即可无痛增强现有模型的性能。
- 其二,由于 hybrid 训练模式的应用,GMMSeg 兼并了生成式以及判别式分类器的优点,且一定程度上解决了 softmax 无法建模类内变化的问题;使得其判别性能大大提升。
- 其三,GMMSeg 显式建模了像素特征的分布,即 p (x|c);GMMSeg 能够直接给出样本属于各个类别的概率,这使得其能够自然的处理未曾见过的 OOD 数据。
实验结果
实验结果表明,不论是基于 CNN 架构或者是基于 Transformer 架构,在广泛使用的语义分割数据集 (ADE20K, Cityscapes, COCO-Stuff) 上,GMMSeg 都能够取得稳定且明显的性能提升。


除此之外,在异常分割任务中,无需对在闭集任务,即常规语义分割任务中训练完毕的模型做任何的修改,GMMSeg 即可在所有通用评价指标上,超越其他需要特殊后处理的方法。



以上就是《生成式语义分割新范式GMMSeg,可同时处理闭集和开集识别》的详细内容,更多关于模型的资料请关注golang学习网公众号!
修复:在 Windows 11 或 10 中玩游戏时 PC 不断崩溃
- 上一篇
- 修复:在 Windows 11 或 10 中玩游戏时 PC 不断崩溃
- 下一篇
- 建筑中的AI:人工智能如何为智能施工铺平道路?
-
- 科技周边 · 人工智能 | 16分钟前 |
- ScalenutAI如何结合SEO制图?
- 171浏览 收藏
-
- 科技周边 · 人工智能 | 18分钟前 |
- Gamma自动生成PPT怎么用?操作指南
- 231浏览 收藏
-
- 科技周边 · 人工智能 | 20分钟前 |
- 无需注册的AI视频生成网站 推荐体验
- 217浏览 收藏
-
- 科技周边 · 人工智能 | 25分钟前 | Workbuddy
- 高频工作固化技巧,WorkBuddy自定义流教程
- 311浏览 收藏
-
- 科技周边 · 人工智能 | 39分钟前 |
- 3步打造个人AI知识体系攻略
- 433浏览 收藏
-
- 科技周边 · 人工智能 | 58分钟前 | Microsoft Teams Teams
- Microsoft Teams屏幕共享与远程协助教程
- 146浏览 收藏
-
- 科技周边 · 人工智能 | 1小时前 |
- 文心一言官网入口及体验地址
- 482浏览 收藏
-
- 科技周边 · 人工智能 | 1小时前 |
- AI周报生成工具推荐\_一键总结工作神器
- 192浏览 收藏
-
- 科技周边 · 人工智能 | 2小时前 |
- ElevenLabs自然配音生成教程及操作指南
- 363浏览 收藏
-
- 科技周边 · 人工智能 | 2小时前 |
- Gemini对话重置方法_Gemini会话刷新详解
- 442浏览 收藏
-
- 科技周边 · 人工智能 | 2小时前 |
- Minimax防范Prompt注入方法与部署建议
- 156浏览 收藏
-
- 科技周边 · 人工智能 | 2小时前 | 即梦AI 即梦4.0
- 即梦4.0场景扩展技巧与使用方法
- 382浏览 收藏
-
- 前端进阶之JavaScript设计模式
- 设计模式是开发人员在软件开发过程中面临一般问题时的解决方案,代表了最佳的实践。本课程的主打内容包括JS常见设计模式以及具体应用场景,打造一站式知识长龙服务,适合有JS基础的同学学习。
- 543次学习
-
- GO语言核心编程课程
- 本课程采用真实案例,全面具体可落地,从理论到实践,一步一步将GO核心编程技术、编程思想、底层实现融会贯通,使学习者贴近时代脉搏,做IT互联网时代的弄潮儿。
- 516次学习
-
- 简单聊聊mysql8与网络通信
- 如有问题加微信:Le-studyg;在课程中,我们将首先介绍MySQL8的新特性,包括性能优化、安全增强、新数据类型等,帮助学生快速熟悉MySQL8的最新功能。接着,我们将深入解析MySQL的网络通信机制,包括协议、连接管理、数据传输等,让
- 500次学习
-
- JavaScript正则表达式基础与实战
- 在任何一门编程语言中,正则表达式,都是一项重要的知识,它提供了高效的字符串匹配与捕获机制,可以极大的简化程序设计。
- 487次学习
-
- 从零制作响应式网站—Grid布局
- 本系列教程将展示从零制作一个假想的网络科技公司官网,分为导航,轮播,关于我们,成功案例,服务流程,团队介绍,数据部分,公司动态,底部信息等内容区块。网站整体采用CSSGrid布局,支持响应式,有流畅过渡和展现动画。
- 485次学习
-
- ChatExcel酷表
- ChatExcel酷表是由北京大学团队打造的Excel聊天机器人,用自然语言操控表格,简化数据处理,告别繁琐操作,提升工作效率!适用于学生、上班族及政府人员。
- 4246次使用
-
- Any绘本
- 探索Any绘本(anypicturebook.com/zh),一款开源免费的AI绘本创作工具,基于Google Gemini与Flux AI模型,让您轻松创作个性化绘本。适用于家庭、教育、创作等多种场景,零门槛,高自由度,技术透明,本地可控。
- 4606次使用
-
- 可赞AI
- 可赞AI,AI驱动的办公可视化智能工具,助您轻松实现文本与可视化元素高效转化。无论是智能文档生成、多格式文本解析,还是一键生成专业图表、脑图、知识卡片,可赞AI都能让信息处理更清晰高效。覆盖数据汇报、会议纪要、内容营销等全场景,大幅提升办公效率,降低专业门槛,是您提升工作效率的得力助手。
- 4489次使用
-
- 星月写作
- 星月写作是国内首款聚焦中文网络小说创作的AI辅助工具,解决网文作者从构思到变现的全流程痛点。AI扫榜、专属模板、全链路适配,助力新人快速上手,资深作者效率倍增。
- 6171次使用
-
- MagicLight
- MagicLight.ai是全球首款叙事驱动型AI动画视频创作平台,专注于解决从故事想法到完整动画的全流程痛点。它通过自研AI模型,保障角色、风格、场景高度一致性,让零动画经验者也能高效产出专业级叙事内容。广泛适用于独立创作者、动画工作室、教育机构及企业营销,助您轻松实现创意落地与商业化。
- 4861次使用
-
- GPT-4王者加冕!读图做题性能炸天,凭自己就能考上斯坦福
- 2023-04-25 501浏览
-
- 单块V100训练模型提速72倍!尤洋团队新成果获AAAI 2023杰出论文奖
- 2023-04-24 501浏览
-
- ChatGPT 真的会接管世界吗?
- 2023-04-13 501浏览
-
- VR的终极形态是「假眼」?Neuralink前联合创始人掏出新产品:科学之眼!
- 2023-04-30 501浏览
-
- 实现实时制造可视性优势有哪些?
- 2023-04-15 501浏览

