ChatGPT核心方法可用于AI绘画,效果飞升47%,通讯作者:已跳槽OpenAI
今天golang学习网给大家带来了《ChatGPT核心方法可用于AI绘画,效果飞升47%,通讯作者:已跳槽OpenAI》,其中涉及到的知识点包括等等,无论你是小白还是老手,都适合看一看哦~有好的建议也欢迎大家在评论留言,若是看完有所收获,也希望大家能多多点赞支持呀!一起加油学习~
ChatGPT中有这样一个核心训练方法,名叫“人类反馈强化学习(RLHF)”。
它可以让模型更安全、输出结果更遵循人类意图。
现在,来自谷歌Research和UC伯克利的研究人员发现,将该方法用在AI绘画上,“治疗”图像跟输入不完全匹配的情况,效果也奇好——
可以实现高达47%的改进。

△ 左为Stable Diffusion,右为改进后效果
这一刻,AIGC领域中两类大火的模型,似乎找到了某种“共鸣”。
如何将RLHF用于AI绘画?
RLHF,全称“Reinforcement Learning from Human Feedback”,是OpenAI和DeepMind于2017年合作开发的一种强化学习技术。
正如其名,RLHF就是用人类对模型输出结果的评价(即反馈)来直接优化模型,在LLM中,它可以使得“模型价值观”更符合人类价值观。
而在AI图像生成模型中,它可以让生成图像与文本提示得到充分对齐。
具体而言,首先,收集人类反馈数据。
在这里,研究人员一共生成了27000余个“文本图像对”,然后让一些人类来打分。
为了简单起见,文本提示只包括以下四种类别,分别关乎数量、颜色、背景和混合选项;人类的反馈则只分“好”、“坏”与“不知道(skip)”。

其次,学习奖励函数。
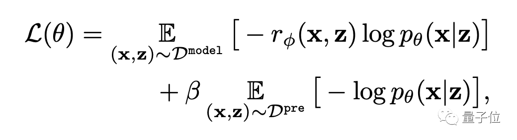
这一步,就是利用刚刚获得的人类评价组成的数据集,训练出奖励函数,然后用该函数来预测人类对模型输出的满意度(公式红色部分)。
这样,模型就知道自己的结果究竟有几分符合文本。

除了奖励函数,作者还提出了一个辅助任务(公式蓝色部分)。
也就是当图像生成完成后,模型再给一堆文本,但其中只有一个是原始文本,让奖励模型“自己检查”图像是否跟该文本相匹配。
这种逆向操作可以让效果得到“双重保险”(可以辅助下图中的step2进行理解)。

最后,就是微调了。
即通过奖励加权最大似然估计(reward-weighted likelihood maximization)(下公式第一项),更新文本-图像生成模型。

为了避免过拟合,作者对预训练数据集上的NLL值(公式第二项)进行了最小化。这种做法类似于InstructionGPT (ChatGPT的“直系前辈”)。
效果提升47%,但清晰度下滑5%
如下一系列效果所示,相比原始的Stable Diffusion,用RLHF微调过后的模型可以:
(1)更正确地get文本里的“两只”和“绿色”;

(2)不会忽略“大海”作为背景的要求;
(3)想要红老虎,能给出“更红”的结果。
从具体数据来看,微调后的模型人类满意度为50%,相比原来的模型(3%),得到了47%的提高。
不过,代价是失去了5%的图像清晰度。

从下图我们也能很清楚的看到,右边的狼明显比左边的糊一些:
对此,作者表示,使用更大的人类评价数据集和更好的优化 (RL) 方法,可以改善这种情况。
关于作者
本文一共9位作者。

一作为谷歌AI研究科学家Kimin Lee,韩国科学技术院博士,博士后研究在UC伯克利大学展开。

华人作者三位:
Liu Hao,UC伯克利在读博士生,主要研究兴趣为反馈神经网络。
Du Yuqing,同UC伯克利博士在读,主要研究方向为无监督强化学习方法。
Shixiang Shane Gu (顾世翔),通讯作者,本科师从三巨头之一Hinton,博士毕业于剑桥大学。

△ 顾世翔
值得一提的是,写这篇文章时他还是谷歌人,如今已经跳槽至OpenAI,并在那里直接向ChatGPT负责人报告。
论文地址:
https://arxiv.org/abs/2302.12192
参考链接:[1]https://twitter.com/kimin_le2/status/1629158733736718336
[2]https://openai.com/blog/instruction-following/
以上就是本文的全部内容了,是否有顺利帮助你解决问题?若是能给你带来学习上的帮助,请大家多多支持golang学习网!更多关于科技周边的相关知识,也可关注golang学习网公众号。
现有法律解决不了?AIGC版权归属难题:真正的创作者是谁
- 上一篇
- 现有法律解决不了?AIGC版权归属难题:真正的创作者是谁
- 下一篇
- 无缝支持Hugging Face社区,Colossal-AI低成本轻松加速大模型
-
- 科技周边 · 人工智能 | 4分钟前 |
- Figma UI3自定义工具栏位置方法
- 126浏览 收藏
-
- 科技周边 · 人工智能 | 8分钟前 |
- 即梦AI LoRA模型是什么?如何加载使用教程
- 463浏览 收藏
-
- 科技周边 · 人工智能 | 24分钟前 |
- 可灵AI vs Runway Gen-3:中文理解与场景生成差距实测
- 402浏览 收藏
-
- 科技周边 · 人工智能 | 30分钟前 |
- DeepSeek提示402余额不足,刚充值怎么处理?
- 486浏览 收藏
-
- 科技周边 · 人工智能 | 35分钟前 | Seedance 2.0
- 二次元动态漫制作教程:Seedance 2.0微调指南
- 315浏览 收藏
-
- 科技周边 · 人工智能 | 36分钟前 | 纳米AI
- 纳米AI能做人物背景信息搜集吗?
- 330浏览 收藏
-
- 科技周边 · 人工智能 | 40分钟前 |
- WorkBuddy如何解析微服务架构?能否生成架构图?
- 147浏览 收藏
-
- 科技周边 · 人工智能 | 40分钟前 |
- 零代码用Hermes Agent,非开发者教程
- 464浏览 收藏
-
- 科技周边 · 人工智能 | 47分钟前 |
- 夸克AI助游戏主播高效写直播预告与互动话术
- 229浏览 收藏
-
- 科技周边 · 人工智能 | 1小时前 |
- 画面杂乱?教你减负技巧
- 105浏览 收藏
-
- 科技周边 · 人工智能 | 1小时前 | CodeBuddy
- CodeBuddy如何生成MyBatis Mapper文件?
- 265浏览 收藏
-
- 科技周边 · 人工智能 | 1小时前 | QClaw
- QClaw商务PPT内容大纲生成效果如何?
- 175浏览 收藏
-
- 前端进阶之JavaScript设计模式
- 设计模式是开发人员在软件开发过程中面临一般问题时的解决方案,代表了最佳的实践。本课程的主打内容包括JS常见设计模式以及具体应用场景,打造一站式知识长龙服务,适合有JS基础的同学学习。
- 543次学习
-
- GO语言核心编程课程
- 本课程采用真实案例,全面具体可落地,从理论到实践,一步一步将GO核心编程技术、编程思想、底层实现融会贯通,使学习者贴近时代脉搏,做IT互联网时代的弄潮儿。
- 516次学习
-
- 简单聊聊mysql8与网络通信
- 如有问题加微信:Le-studyg;在课程中,我们将首先介绍MySQL8的新特性,包括性能优化、安全增强、新数据类型等,帮助学生快速熟悉MySQL8的最新功能。接着,我们将深入解析MySQL的网络通信机制,包括协议、连接管理、数据传输等,让
- 500次学习
-
- JavaScript正则表达式基础与实战
- 在任何一门编程语言中,正则表达式,都是一项重要的知识,它提供了高效的字符串匹配与捕获机制,可以极大的简化程序设计。
- 487次学习
-
- 从零制作响应式网站—Grid布局
- 本系列教程将展示从零制作一个假想的网络科技公司官网,分为导航,轮播,关于我们,成功案例,服务流程,团队介绍,数据部分,公司动态,底部信息等内容区块。网站整体采用CSSGrid布局,支持响应式,有流畅过渡和展现动画。
- 485次学习
-
- ChatExcel酷表
- ChatExcel酷表是由北京大学团队打造的Excel聊天机器人,用自然语言操控表格,简化数据处理,告别繁琐操作,提升工作效率!适用于学生、上班族及政府人员。
- 4737次使用
-
- Any绘本
- 探索Any绘本(anypicturebook.com/zh),一款开源免费的AI绘本创作工具,基于Google Gemini与Flux AI模型,让您轻松创作个性化绘本。适用于家庭、教育、创作等多种场景,零门槛,高自由度,技术透明,本地可控。
- 5091次使用
-
- 可赞AI
- 可赞AI,AI驱动的办公可视化智能工具,助您轻松实现文本与可视化元素高效转化。无论是智能文档生成、多格式文本解析,还是一键生成专业图表、脑图、知识卡片,可赞AI都能让信息处理更清晰高效。覆盖数据汇报、会议纪要、内容营销等全场景,大幅提升办公效率,降低专业门槛,是您提升工作效率的得力助手。
- 4969次使用
-
- 星月写作
- 星月写作是国内首款聚焦中文网络小说创作的AI辅助工具,解决网文作者从构思到变现的全流程痛点。AI扫榜、专属模板、全链路适配,助力新人快速上手,资深作者效率倍增。
- 6921次使用
-
- MagicLight
- MagicLight.ai是全球首款叙事驱动型AI动画视频创作平台,专注于解决从故事想法到完整动画的全流程痛点。它通过自研AI模型,保障角色、风格、场景高度一致性,让零动画经验者也能高效产出专业级叙事内容。广泛适用于独立创作者、动画工作室、教育机构及企业营销,助您轻松实现创意落地与商业化。
- 5331次使用
-
- GPT-4王者加冕!读图做题性能炸天,凭自己就能考上斯坦福
- 2023-04-25 501浏览
-
- 单块V100训练模型提速72倍!尤洋团队新成果获AAAI 2023杰出论文奖
- 2023-04-24 501浏览
-
- ChatGPT 真的会接管世界吗?
- 2023-04-13 501浏览
-
- VR的终极形态是「假眼」?Neuralink前联合创始人掏出新产品:科学之眼!
- 2023-04-30 501浏览
-
- 实现实时制造可视性优势有哪些?
- 2023-04-15 501浏览

