使用PyTorch进行知识蒸馏的代码示例
小伙伴们有没有觉得学习科技周边很有意思?有意思就对了!今天就给大家带来《使用PyTorch进行知识蒸馏的代码示例》,以下内容将会涉及到,若是在学习中对其中部分知识点有疑问,或许看了本文就能帮到你!
随着机器学习模型的复杂性和能力不断增加。提高大型复杂模型在小数据集性能的一种有效技术是知识蒸馏,它包括训练一个更小、更有效的模型来模仿一个更大的“教师”模型的行为。

在本文中,我们将探索知识蒸馏的概念,以及如何在PyTorch中实现它。我们将看到如何使用它将一个庞大、笨重的模型压缩成一个更小、更高效的模型,并且仍然保留原始模型的准确性和性能。
我们首先定义知识蒸馏要解决的问题。
我们训练了一个大型深度神经网络来执行复杂的任务,比如图像分类或机器翻译。这个模型可能有数千层和数百万个参数,这使得它很难部署在现实应用程序、边缘设备等中。并且这个超大的模型还需要大量的计算资源来运行,这使得它在一些资源受限的平台上无法工作。
解决这个问题的一种方法是使用知识蒸馏将大模型压缩成较小的模型。这个过程包括训练一个较小的模型来模仿给定任务中大型模型的行为。
我们将使用来自Kaggle的胸部x光数据集进行肺炎分类来进行知识蒸馏的示例。我们使用的数据集被组织成3个文件夹(train, test, val),并包含每个图像类别的子文件夹(Pneumonia/Normal)。共有5,863张x射线图像(JPEG)和2个类别(肺炎/正常)。
比较一下这两个类的图片:

数据的加载和预处理与我们是否使用知识蒸馏或特定模型无关,代码片段可能如下所示:
transforms_train = transforms.Compose([ transforms.Resize((224, 224)), transforms.RandomHorizontalFlip(), transforms.ToTensor(), transforms.Normalize([0.485, 0.456, 0.406], [0.229, 0.224, 0.225])]) transforms_test = transforms.Compose([ transforms.Resize((224, 224)), transforms.ToTensor(), transforms.Normalize([0.485, 0.456, 0.406], [0.229, 0.224, 0.225])]) train_data = ImageFolder(root=train_dir, transform=transforms_train) test_data = ImageFolder(root=test_dir, transform=transforms_test) train_loader = DataLoader(train_data, batch_size=32, shuffle=True) test_loader = DataLoader(test_data, batch_size=32, shuffle=True)
教师模型
在这个背景中教师模型我们使用Resnet-18并且在这个数据集上进行了微调。
import torch import torch.nn as nn import torchvision class TeacherNet(nn.Module): def __init__(self): super().__init__() self.model = torchvision.models.resnet18(pretrained=True) for params in self.model.parameters(): params.requires_grad_ = False n_filters = self.model.fc.in_features self.model.fc = nn.Linear(n_filters, 2) def forward(self, x): x = self.model(x) return x
微调训练的代码如下
def train(model, train_loader, test_loader, optimizer, criterion, device):
dataloaders = {'train': train_loader, 'val': test_loader}
for epoch in range(30):
print('Epoch {}/{}'.format(epoch, num_epochs - 1))
print('-' * 10)
for phase in ['train', 'val']:
if phase == 'train':
model.train()
else:
model.eval()
running_loss = 0.0
running_corrects = 0
for inputs, labels in tqdm.tqdm(dataloaders[phase]):
inputs = inputs.to(device)
labels = labels.to(device)
optimizer.zero_grad()
with torch.set_grad_enabled(phase == 'train'):
outputs = model(inputs)
loss = criterion(outputs, labels)
_, preds = torch.max(outputs, 1)
if phase == 'train':
loss.backward()
optimizer.step()
running_loss += loss.item() * inputs.size(0)
running_corrects += torch.sum(preds == labels.data)
epoch_loss = running_loss / len(dataloaders[phase].dataset)
epoch_acc = running_corrects.double() / len(dataloaders[phase].dataset)
print('{} Loss: {:.4f} Acc: {:.4f}'.format(phase, epoch_loss, epoch_acc))这是一个标准的微调训练步骤,训练后我们可以看到该模型在测试集上达到了91%的准确性,这也就是我们没有选择更大模型的原因,因为作为测试91的准确率已经足够作为基类模型来使用了。
我们知道模型有1170万个参数,因此不一定能够适应边缘设备或其他特定场景。
学生模型
我们的学生是一个更浅的CNN,只有几层和大约100k个参数。
class StudentNet(nn.Module): def __init__(self): super().__init__() self.layer1 = nn.Sequential( nn.Conv2d(3, 4, kernel_size=3, padding=1), nn.BatchNorm2d(4), nn.ReLU(), nn.MaxPool2d(kernel_size=2, stride=2) ) self.fc = nn.Linear(4 * 112 * 112, 2) def forward(self, x): out = self.layer1(x) out = out.view(out.size(0), -1) out = self.fc(out) return out
看代码就非常的简单,对吧。
如果我可以简单地训练这个更小的神经网络,我为什么还要费心进行知识蒸馏呢?我们最后会附上我们通过超参数调整等手段从头训练这个网络的结果最为对比。
但是现在我们继续我们的知识蒸馏的步骤
知识蒸馏训练
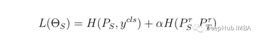
训练的基本步骤是不变的,但是区别是如何计算最终的训练损失,我们将使用教师模型损失,学生模型的损失和蒸馏损失一起来计算最终的损失。
class DistillationLoss: def __init__(self): self.student_loss = nn.CrossEntropyLoss() self.distillation_loss = nn.KLDivLoss() self.temperature = 1 self.alpha = 0.25 def __call__(self, student_logits, student_target_loss, teacher_logits): distillation_loss = self.distillation_loss(F.log_softmax(student_logits / self.temperature, dim=1), F.softmax(teacher_logits / self.temperature, dim=1)) loss = (1 - self.alpha) * student_target_loss + self.alpha * distillation_loss return loss
损失函数是下面两个东西的加权和:
- 分类损失,称为student_target_loss
- 蒸馏损失,学生对数和教师对数之间的交叉熵损失

简单的讲,我们的教师模型需要教导学生如何“思考”的,这就是指的是它的不确定性;例如,如果教师模型的最终输出概率是[0.53,0.47],我们希望学生也得到同样类似结果,这些预测之间的差异就是蒸馏损失。
为了控制损失,还有有两个主要参数:
- 蒸馏损失的权重:0意味着我们只考虑蒸馏损失,反之亦然。
- 温度:衡量教师预测的不确定性。
在上面的要点中,alpha和temperature的值都是根据我们尝试过一些组合得到的最佳结果的值。
结果对比
这是这个实验的表格摘要。

我们可以清楚地看到使用更小(99.14%),更浅的CNN所获得的巨大好处:与无蒸馏训练相比,准确率提升了10点,并且比Resnet-18快11倍!也就是说,我们的小模型真的从大模型中学到了有用的东西。
今天关于《使用PyTorch进行知识蒸馏的代码示例》的内容就介绍到这里了,是不是学起来一目了然!想要了解更多关于机器学习,模型的内容请关注golang学习网公众号!
ChatGPT收费版真来了!每月134元告别排队卡顿,免费的还在,网友:蹲个「青春版」
- 上一篇
- ChatGPT收费版真来了!每月134元告别排队卡顿,免费的还在,网友:蹲个「青春版」
- 下一篇
- 传iPhone 14 不改USB-C 但提升Lightning 传输速度
-
- 科技周边 · 人工智能 | 6小时前 |
- 豆包AI翻译文档使用教程:如何上传PDF?
- 313浏览 收藏
-
- 科技周边 · 人工智能 | 6小时前 |
- 真诚道歉信怎么写?ChatGPT帮你表达真心
- 350浏览 收藏
-
- 科技周边 · 人工智能 | 6小时前 |
- AI绘图参数怎么调?比例种子设置全解析
- 318浏览 收藏
-
- 科技周边 · 人工智能 | 6小时前 | 抖音AI
- 抖音AI智能剪辑多段素材方法
- 265浏览 收藏
-
- 科技周边 · 人工智能 | 7小时前 | Microsoft Teams Teams
- Teams分组讨论技巧与高效组织方法
- 131浏览 收藏
-
- 科技周边 · 人工智能 | 7小时前 | 骡子快跑
- 骡子快跑夜间模式怎么开英雄主题切换方法
- 178浏览 收藏
-
- 科技周边 · 人工智能 | 7小时前 |
- DeepSeekSQL优化无效果?提供表结构让AI重写
- 426浏览 收藏
-
- 科技周边 · 人工智能 | 7小时前 |
- DeepSeek提示词库官网入口地址
- 129浏览 收藏
-
- 科技周边 · 人工智能 | 8小时前 | Perplexity
- Perplexity收藏夹使用教程汇总
- 394浏览 收藏
-
- 科技周边 · 人工智能 | 8小时前 |
- WorkBuddy下载安装教程详解
- 156浏览 收藏
-
- 科技周边 · 人工智能 | 9小时前 | QClaw
- QClaw旧版还能用吗?官方最新回应
- 442浏览 收藏
-
- 科技周边 · 人工智能 | 9小时前 | MuleRun
- MuleRun插件添加教程详解
- 171浏览 收藏
-
- 前端进阶之JavaScript设计模式
- 设计模式是开发人员在软件开发过程中面临一般问题时的解决方案,代表了最佳的实践。本课程的主打内容包括JS常见设计模式以及具体应用场景,打造一站式知识长龙服务,适合有JS基础的同学学习。
- 543次学习
-
- GO语言核心编程课程
- 本课程采用真实案例,全面具体可落地,从理论到实践,一步一步将GO核心编程技术、编程思想、底层实现融会贯通,使学习者贴近时代脉搏,做IT互联网时代的弄潮儿。
- 516次学习
-
- 简单聊聊mysql8与网络通信
- 如有问题加微信:Le-studyg;在课程中,我们将首先介绍MySQL8的新特性,包括性能优化、安全增强、新数据类型等,帮助学生快速熟悉MySQL8的最新功能。接着,我们将深入解析MySQL的网络通信机制,包括协议、连接管理、数据传输等,让
- 500次学习
-
- JavaScript正则表达式基础与实战
- 在任何一门编程语言中,正则表达式,都是一项重要的知识,它提供了高效的字符串匹配与捕获机制,可以极大的简化程序设计。
- 487次学习
-
- 从零制作响应式网站—Grid布局
- 本系列教程将展示从零制作一个假想的网络科技公司官网,分为导航,轮播,关于我们,成功案例,服务流程,团队介绍,数据部分,公司动态,底部信息等内容区块。网站整体采用CSSGrid布局,支持响应式,有流畅过渡和展现动画。
- 485次学习
-
- ChatExcel酷表
- ChatExcel酷表是由北京大学团队打造的Excel聊天机器人,用自然语言操控表格,简化数据处理,告别繁琐操作,提升工作效率!适用于学生、上班族及政府人员。
- 4282次使用
-
- Any绘本
- 探索Any绘本(anypicturebook.com/zh),一款开源免费的AI绘本创作工具,基于Google Gemini与Flux AI模型,让您轻松创作个性化绘本。适用于家庭、教育、创作等多种场景,零门槛,高自由度,技术透明,本地可控。
- 4639次使用
-
- 可赞AI
- 可赞AI,AI驱动的办公可视化智能工具,助您轻松实现文本与可视化元素高效转化。无论是智能文档生成、多格式文本解析,还是一键生成专业图表、脑图、知识卡片,可赞AI都能让信息处理更清晰高效。覆盖数据汇报、会议纪要、内容营销等全场景,大幅提升办公效率,降低专业门槛,是您提升工作效率的得力助手。
- 4520次使用
-
- 星月写作
- 星月写作是国内首款聚焦中文网络小说创作的AI辅助工具,解决网文作者从构思到变现的全流程痛点。AI扫榜、专属模板、全链路适配,助力新人快速上手,资深作者效率倍增。
- 6240次使用
-
- MagicLight
- MagicLight.ai是全球首款叙事驱动型AI动画视频创作平台,专注于解决从故事想法到完整动画的全流程痛点。它通过自研AI模型,保障角色、风格、场景高度一致性,让零动画经验者也能高效产出专业级叙事内容。广泛适用于独立创作者、动画工作室、教育机构及企业营销,助您轻松实现创意落地与商业化。
- 4898次使用
-
- GPT-4王者加冕!读图做题性能炸天,凭自己就能考上斯坦福
- 2023-04-25 501浏览
-
- 单块V100训练模型提速72倍!尤洋团队新成果获AAAI 2023杰出论文奖
- 2023-04-24 501浏览
-
- ChatGPT 真的会接管世界吗?
- 2023-04-13 501浏览
-
- VR的终极形态是「假眼」?Neuralink前联合创始人掏出新产品:科学之眼!
- 2023-04-30 501浏览
-
- 实现实时制造可视性优势有哪些?
- 2023-04-15 501浏览

