机器学习基础之数字上的距离:点在空间中的距离
一分耕耘,一分收获!既然都打开这篇《机器学习基础之数字上的距离:点在空间中的距离》,就坚持看下去,学下去吧!本文主要会给大家讲到等等知识点,如果大家对本文有好的建议或者看到有不足之处,非常欢迎大家积极提出!在后续文章我会继续更新科技周边相关的内容,希望对大家都有所帮助!
本文转载自微信公众号「活在信息时代」,作者活在信息时代。转载本文请联系活在信息时代公众号。
在机器学习中,一个基础的概念就是如何判断两个样本之间的差异,从而能够评价两个样本之间的相似性和类别等信息。而判断这种相似性的度量就是两个样本在特征空间内的距离。
根据数据特征的不同,度量方法有很多种。一般而言,对两个数据样本x,y,定义一个函数d(x,y),如果定义其为两个样本之间的距离,那么d(x,y)则需要满足以下几条基本性质:
- 非负性:d(x,y)>=0
- 同一性:d(x,y)=0 ⇔ x=y
- 对称性:d(x,y)= d(y,x)
- 三角不等式:d(x,y)
通常来讲,常见的距离度量包括:点在空间中的距离、字符串间的距离、集合的相似度、变量/概念分布间的距离四种。
今天我们首先来介绍一下最为常用的点在空间中的距离。
点在空间中的距离包括以下几种:
1、欧几里得距离(Ecllidean Distance)
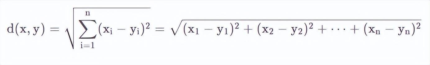
毫无疑问,欧氏距离是人们最熟悉的距离,它即是两点之间的直线距离。学过初中数学的同学都知道在笛卡尔坐标系中如何计算二维空间两个点之间的距离

其计算公式为:

推广到N维空间的欧氏距离即为:

2、曼哈顿距离(Manhattan Distance)
曼哈顿距离又称为出租车距离,其概念来源于纽约曼哈顿区这样有很多横平竖直的街区,在这种街区中,出租车司机如果想从一个点走到另一个点的话,计算直线距离是没有用的,因为出租车不可能从建筑物上飞过去。因此,这种距离通常是将两个点的东西向、南北向距离分别相减再相加,这也就是出租车实际要经过的距离。

如图所示,红线和黄线就是两种不同路径的曼哈顿距离。数学上,二维空间的曼哈顿距离计算方法如下:

3、切比雪夫距离(Chebyshev Distance)
切比雪夫距离定义为两个点之间各坐标数值差的最大值。
其最直观的例子即是国际象棋中的国王,因为它可以横走直走斜走,但是每次都只能走一格,所以切比雪夫距离就是他要走到另一个格子所需要的最小距离。

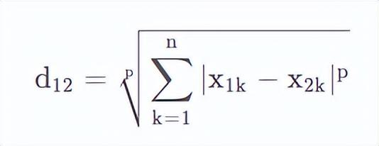
4、闵可夫斯基距离(Minkowski Distance)
闵氏距离本身不是一个特别的距离,而是将多个距离(曼哈顿距离、欧氏距离、切比雪夫距离)合并成为的一个公式。
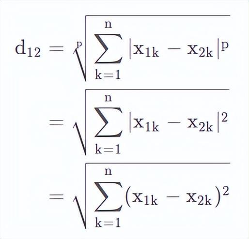
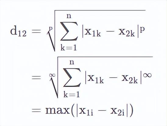
其定义为,对于两个n维变量,闵氏距离为:

当p=1时,可以看到

此时为曼哈顿距离。
当p=2时,可以看到

此时即为欧氏距离。
当p=∞时,可以看到

此时即为切比雪夫距离。
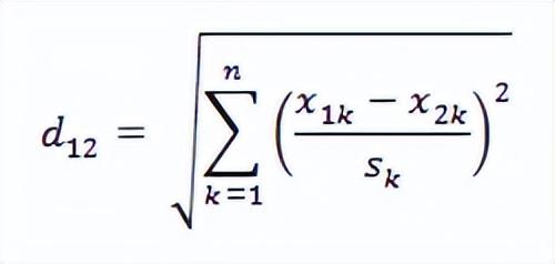
5、标准化的欧几里得距离(Standardized Euclidean Distance)
欧氏距离可以测量两个点之间的直线距离,但是在某些情况下,可能会受到单位不同的影响。例如同时是差5,差5毫米的身高和差5公斤的体重,观感可能是完全不同的。如果我们想对三个模特进行聚类,她们各自的属性如下:
A:65000000毫克(即65公斤),1.74米
B:60000000毫克(即60公斤),1.70米
C:65000000毫克(即65公斤),1.40米
按我们正常的理解,A和B是身材比较好的模特,应该归到一类。但是以上述单位实际计算的时候,却发现A和B的差异大于A和C之间的差异。原因在于属性计量单位的不同导致数值差异过大。同样的数据如果换个单位。
A:65千克,174厘米
B:60千克,170厘米
C:65千克,140厘米
那么就会得到我们想到的结果,将A和B归为一类了。因此,为避免出现这种由于计量单位的不同而出现的差异,我们就需要引入标准化欧氏距离。在这种距离计算中,会将各个分量都标准化到均值、方差相等的区间。
假设样本集X的均值(mean)为m,标准差(standard deviation)为s,那么X的“标准化变量”表示为:

其中,标准化后的值 = ( 标准化前的值 - 分量的均值 ) /分量的标准差。经过简单的推导就可以得到两个n维向量间的标准化欧氏距离公式为:

如果将方差的倒数看成是一个权重,这个公式可以看成是一种加权欧氏距离(Weighted Euclidean distance)。通过这种操作,我们就有效的消除了不同计重单位之间的差异。
6、兰氏距离(Lance and Willianms Distance)
兰氏距离又称为堪培拉距离,

它是一个无量纲的指标,克服了闵氏距离与各指标的量纲有关的缺点,并且对于较大的奇异值不敏感,特别适合调度偏倚的数据。但是这种距离也没有考虑到变量间的相关性。所以如果需要考虑变量之间的相关性的话,还是需要马氏距离。
7、马氏距离(Mahalanobis Distance)
对数值进行标准化之后,就一定不会出问题吗?也不一定。例如在一个一维的例子中,如果有两个类,一个类均值为0,方差为0.1,而另一个类均值为5,方差为5。那么如果一个值为2的点应该属于哪一类呢?我们直觉上认为它肯定是第二类,因为第一类显然不太可能在数值上达到2。但是实际上从距离上计算的话2这个数就得属于第一类。
所以,在一个方差较小的维度下,很小的差别就可能成为离群点。例如说下图,A与B相对于原点的距离是相同的,但是由于样本整体沿着横轴分布,所以B点更有可能是样本中的点,而A点则更有可能是离群点。

而在维度间不独立同分布的情况下,也会出现问题,例如说下图中的A点与B点到原点的距离相等,但是主要分布类似于f(x)=x,所以A更像是一个离群点。

因此,我们可以看到,在这种情况下,标准化的欧氏距离也会有问题,所以我们需要引入马氏距离。
马氏距离将变量按照主成分进行旋转,让维度间相互独立,然后再进行标准化,让维度同分布。而主成分即为特征向量方向,所以只需要按照特征向量的方向进行旋转,然后缩放特征值倍就可以了。例如上图变换之后会得到下面的结果:

可以看出离群点被成功分离了。
马氏距离是由印度数学家马哈拉诺比斯提出的,表示数据的协方差距离。它是一种有效地计算两个未知样本集的相似度的方法。
对于一个均值为

,协方差矩阵为Σ的多变量矢量

,其马氏距离(单个数据点的马氏距离)为:

对于两个服从同一分布并且其协方差矩阵为Σ的随机变量X与Y的差异程度,数据点x, y之间的马氏距离为:

如果协方差矩阵为单位矩阵,那么马氏距离就简化成了欧氏距离。如果协方差矩阵为对角阵,那么马氏距离就变成了标准化的欧氏距离。
8、余弦距离(Cosine Distance)
顾名思义,余弦距离来源于几何中的夹角余弦,它可用来衡量两个向量方向的差异,而非距离或长度上。当余弦值为0时,两向量正交,夹角为90度。夹角越小,余弦值越接近于1,方向更趋同。
在N维空间中,余弦距离为:
值得指出的是,余弦距离不满足三角不等式。
9、测地距离(Geodesic Distance)
测地距离最初是指球体表面之间的最短距离。当特征空间为平面时,测地距离即为欧氏距离。在非欧几何中,球面上两点间距离最短的线是连接这两点的大圆弧,在球面上的三角形、多边形的边也是由这些大圆弧组成的。

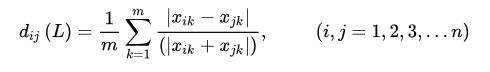
10、布雷柯蒂斯距离(Bray Curtis Distance)
布雷柯蒂斯距离主要用于植物学、生态学和环境科学,它可以用来计算样本之间的差异。其公式为:

其取值在[0, 1]之间,如果两个向量坐标都为0的话,那么值就无意义。
今天带大家了解了的相关知识,希望对你有所帮助;关于科技周边的技术知识我们会一点点深入介绍,欢迎大家关注golang学习网公众号,一起学习编程~
为什么所有GPT-3复现都失败了?使用ChatGPT你应该知道这些
- 上一篇
- 为什么所有GPT-3复现都失败了?使用ChatGPT你应该知道这些
- 下一篇
- EVGA RTX 3090 Ti Kingpin 采用双 12 针电源连接器,最高可达到 1275W
-
- 科技周边 · 人工智能 | 11小时前 |
- Kimi长文分析怎么用?20万字文档解析技巧【干货】
- 293浏览 收藏
-
- 科技周边 · 人工智能 | 13小时前 | Workbuddy
- WorkBuddy自动处理群消息设置技巧
- 209浏览 收藏
-
- 科技周边 · 人工智能 | 13小时前 | QClaw
- QClaw提示词优化技巧提升稳定性
- 245浏览 收藏
-
- 科技周边 · 人工智能 | 13小时前 | AI眼镜 LEANTS乐蚁J5智能眼镜
- LEANTS乐蚁J5屏幕超时设置方法
- 362浏览 收藏
-
- 科技周边 · 人工智能 | 13小时前 | 豆包AI 创意插画
- 豆包AI+绘图AI,轻松打造创意插画教程
- 206浏览 收藏
-
- 科技周边 · 人工智能 | 13小时前 |
- Minimax视频有马赛克怎么处理
- 446浏览 收藏
-
- 科技周边 · 人工智能 | 13小时前 |
- ChatGPT官网入口汇总及访问地址
- 268浏览 收藏
-
- 科技周边 · 人工智能 | 14小时前 |
- 思维链 Prompt 提升 Gemini 决策能力详解
- 490浏览 收藏
-
- 科技周边 · 人工智能 | 14小时前 |
- Midjourney以图生图教程及参考图设置方法
- 212浏览 收藏
-
- 科技周边 · 人工智能 | 14小时前 |
- DeepSeek精准翻译中英科技文献指南
- 206浏览 收藏
-
- 科技周边 · 人工智能 | 14小时前 |
- 千问视频生成是否收费?
- 204浏览 收藏
-
- 科技周边 · 人工智能 | 14小时前 |
- Pika 1.5怎么制作动画 Pika视频生成教程
- 258浏览 收藏
-
- 前端进阶之JavaScript设计模式
- 设计模式是开发人员在软件开发过程中面临一般问题时的解决方案,代表了最佳的实践。本课程的主打内容包括JS常见设计模式以及具体应用场景,打造一站式知识长龙服务,适合有JS基础的同学学习。
- 543次学习
-
- GO语言核心编程课程
- 本课程采用真实案例,全面具体可落地,从理论到实践,一步一步将GO核心编程技术、编程思想、底层实现融会贯通,使学习者贴近时代脉搏,做IT互联网时代的弄潮儿。
- 516次学习
-
- 简单聊聊mysql8与网络通信
- 如有问题加微信:Le-studyg;在课程中,我们将首先介绍MySQL8的新特性,包括性能优化、安全增强、新数据类型等,帮助学生快速熟悉MySQL8的最新功能。接着,我们将深入解析MySQL的网络通信机制,包括协议、连接管理、数据传输等,让
- 500次学习
-
- JavaScript正则表达式基础与实战
- 在任何一门编程语言中,正则表达式,都是一项重要的知识,它提供了高效的字符串匹配与捕获机制,可以极大的简化程序设计。
- 487次学习
-
- 从零制作响应式网站—Grid布局
- 本系列教程将展示从零制作一个假想的网络科技公司官网,分为导航,轮播,关于我们,成功案例,服务流程,团队介绍,数据部分,公司动态,底部信息等内容区块。网站整体采用CSSGrid布局,支持响应式,有流畅过渡和展现动画。
- 485次学习
-
- ChatExcel酷表
- ChatExcel酷表是由北京大学团队打造的Excel聊天机器人,用自然语言操控表格,简化数据处理,告别繁琐操作,提升工作效率!适用于学生、上班族及政府人员。
- 4229次使用
-
- Any绘本
- 探索Any绘本(anypicturebook.com/zh),一款开源免费的AI绘本创作工具,基于Google Gemini与Flux AI模型,让您轻松创作个性化绘本。适用于家庭、教育、创作等多种场景,零门槛,高自由度,技术透明,本地可控。
- 4588次使用
-
- 可赞AI
- 可赞AI,AI驱动的办公可视化智能工具,助您轻松实现文本与可视化元素高效转化。无论是智能文档生成、多格式文本解析,还是一键生成专业图表、脑图、知识卡片,可赞AI都能让信息处理更清晰高效。覆盖数据汇报、会议纪要、内容营销等全场景,大幅提升办公效率,降低专业门槛,是您提升工作效率的得力助手。
- 4472次使用
-
- 星月写作
- 星月写作是国内首款聚焦中文网络小说创作的AI辅助工具,解决网文作者从构思到变现的全流程痛点。AI扫榜、专属模板、全链路适配,助力新人快速上手,资深作者效率倍增。
- 6136次使用
-
- MagicLight
- MagicLight.ai是全球首款叙事驱动型AI动画视频创作平台,专注于解决从故事想法到完整动画的全流程痛点。它通过自研AI模型,保障角色、风格、场景高度一致性,让零动画经验者也能高效产出专业级叙事内容。广泛适用于独立创作者、动画工作室、教育机构及企业营销,助您轻松实现创意落地与商业化。
- 4847次使用
-
- GPT-4王者加冕!读图做题性能炸天,凭自己就能考上斯坦福
- 2023-04-25 501浏览
-
- 单块V100训练模型提速72倍!尤洋团队新成果获AAAI 2023杰出论文奖
- 2023-04-24 501浏览
-
- ChatGPT 真的会接管世界吗?
- 2023-04-13 501浏览
-
- VR的终极形态是「假眼」?Neuralink前联合创始人掏出新产品:科学之眼!
- 2023-04-30 501浏览
-
- 实现实时制造可视性优势有哪些?
- 2023-04-15 501浏览

