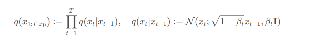
基于Diffusion Model的图像生成
学习知识要善于思考,思考,再思考!今天golang学习网小编就给大家带来《基于Diffusion Model的图像生成》,以下内容主要包含等知识点,如果你正在学习或准备学习科技周边,就都不要错过本文啦~让我们一起来看看吧,能帮助到你就更好了!
Part 01
● 发展历史 ●
1.1 起源
2015年在Deep Unsupervised Learning using Nonequilibrium Thermodynamics 这篇文章中提出,当时的生成模型比如VAE,有一个很大的难点,就是这类模型是先定义了条件分布,然后再定义变分后验去适配,最后会导致需要同时优化条件分布和变分后验,然而这是很困难的。如果我们可以定义一个简单的过程,把数据分布映射到标准高斯,“生成器”的任务就变成了简单的拟合这个过程的逆过程的每一小步,这,就是diffusion model的核心思想。然而这篇文章当时并没有掀起什么波澜。
1.2 发展
时间来到2020年,基于前人的思想,提出了DDPM模型(Denoising Diffusion Probabilistic Models),相对于基础的扩散模型,作者结合了扩散模型和去噪分数,来引导训练以及采样的过程,带来了生成图像样本适量的提升,使其在训练更简单稳定的条件下,最后的结果可以和GAN模型相当。

图2-DDPM的生成结果
然而DDPM模型也并非完美无缺,由于扩散过程是一个马尔科夫链,其缺点就是需要比较大的扩散步数才可以获得比较良好的效果,这导致了样本生成很慢。
于是继DDPM之后,时间来到2021年,Song等人提出了DDIM(Denoising Diffusioin Implicit Model),其改造了DDPM的扩散过程的采样方法,将传统的马尔可夫扩散过程推广到了非马尔可夫过程,可以用更小的采样步数来加速样本生成,大大的提高了效率。
后续也有一些改进的工作,将扩散模型和传统的生成网络进行融合,比如将VAE和DM模型结合,GAN+DM的结合等等,笔者再此就不一一赘述了。
1.3 爆发
2022年,谷歌基于扩散模型推出了一款新的AI系统,可以将文字描述转为逼真图像。

图3

图4
由谷歌给出的原理图可以看出,输入的文本首先经过编码,然后由一个文字转图像的扩散模型转化为64*64的小图,进一步的,利用超分辨率扩散模型对小图进行处理,在进一步的迭代过程中提升图像的分辨率,得到最后的生成结果——一张1024*1024的最终图像。这个神奇的过程就像是大家使用中所感受到的一样,输入了一段文字——一只穿着红色点点高领衫,戴着蓝色方格帽子的金毛狗狗,然后程序就自动生成了上面你所看到的狗狗图片。
另一款热度颇高的现象级应用——novalAI,这本来是一个致力于AI写作的网站,基于当前火热的图像生成,它结合网络上的图片资源,训练了一个专注于二次元的图像生成模型,从效果上看已经初具人类画手的水平。

图5
除了传统的输入文字从而产出图片之外,它还支持输入图片作为参考,可以让AI基于已知的图片基础上生成新的图片,一定程度上解决了AI生成结果不可控的问题。
Part 02
● 原理阐述 ●
那么,如此强大的AI技术,其工作过程到底是怎样的呢?这里我们以比较经典的DDPM模型作为例子给出简要的过程:
2.1 前向过程
前向过程是一个往图片上加噪声的过程,目的是为了构建训练样本GT。
对于给定的初始数据分布x0~q(x),我们逐步向数据分布中添加高斯噪声,这个过程有T次,每一步的结果是x1,x2,...,xt,噪声的标准差表示为,则加噪过程可以表述为:

正如前文所述,这是一个马尔科夫链过程。最终会使得数据趋向于各向同性的高斯分布。
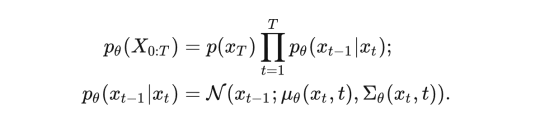
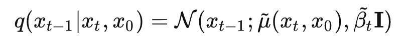
2.2 逆扩散过程
逆向过程是一个去噪的过程,如果得知
,就可以从完全的标准高斯分布中还原出x0, 经过证明如果
满足高斯分布且
足够小,那么
仍然是一个高斯分布,然后
无法简单推断得到,所以我们利用一个参数为
的深度学习模型去预测它,于是有:

如果得知x0,则通过贝叶斯公式有:

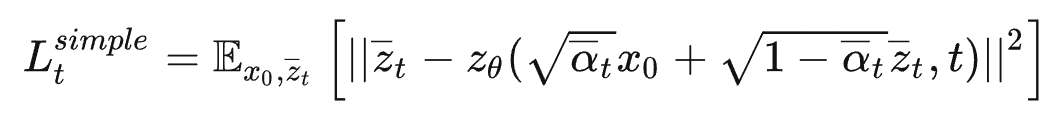
2.3 训练过程
如果对于机器学习有所了解的读者应该知道,所有模型的训练都是为了能够最优化模型的参数,从而得到靠谱的均值和方差,我们最大化模型预测分布的对数似然,即:

经过一系列的推导,DDPM模型得到了最后的loss函数表达:

总结一下训练的过程:
- 1.获取输入的x0, 从1...T中随机采样一个t
- 2.从标准高斯分布采样一个噪声

- 3.计算出损失并迭代最小化损失函数

图6
Part 03
● 总结 ●
扩散模型已经展示出了巨大的潜力,其相对于VAE模型不需要对准后验分布,也不需要像GAN那样训练额外的判别器,在包括计算机视觉,生物信息学,语音处理等方面都有应用,其在图像生成方面的应用,将助力于提升图像创作的效率,可能让AI生成根据条件生成若干图片,人类对其结果进行筛选和修改会是将来2D绘画领域的新的工作模式,这可能会很大程度上提升2D数字资产的生产效率。
然而伴随着AI技术的发展,总是会有一些争议,图像生成领域也不例外,除了AI技术本身的问题,如生成的图片结构错误,不合理之外,还伴随着一些法律方面的纠纷,比如AI作品本身的版权问题。技术的问题可以通过技术本身的发展来解决,我们有理由相信随着AI技术的发展,图像生成最后会达到一个很高的水平,这会消灭大部分低端的绘画相关的工作,极大的解放人类的生产力。版权问题可能还是需要政府部门对于相关产业的发展投入足够多的关注,完善相关的政策和制度,需要我们对于新兴的领域有更多的思考,从而让AI技术更好的服务于我们。
参考文献
https://github.com/Yutong-Zhou-cv/Awesome-Text-to-Image
https://lilianweng.github.io/posts/2021-07-11-diffusion-models/#forward-diffusion-process
https://link.zhihu.com/?target=https%3A//gweb-research-imagen.appspot.com/paper.pdf
好了,本文到此结束,带大家了解了《基于Diffusion Model的图像生成》,希望本文对你有所帮助!关注golang学习网公众号,给大家分享更多科技周边知识!
文心一言升级,文心千帆面世!MaaS开始卷了吗?
- 上一篇
- 文心一言升级,文心千帆面世!MaaS开始卷了吗?
- 下一篇
- 微软宣布Power Platform将为企业用户提供AI新功能
-
- 科技周边 · 人工智能 | 23分钟前 | Kimi Kimi智能助手
- KIMI官网登录入口与个人中心教程
- 133浏览 收藏
-
- 科技周边 · 人工智能 | 32分钟前 |
- Kaggle用AI做交互式聚类图方法
- 169浏览 收藏
-
- 科技周边 · 人工智能 | 33分钟前 |
- WorkBuddy 离线安全防护解析
- 419浏览 收藏
-
- 科技周边 · 人工智能 | 35分钟前 | ToClawI
- ToClaw截图教程:自动长图保存技巧
- 424浏览 收藏
-
- 科技周边 · 人工智能 | 42分钟前 |
- Claude挖掘SEO关键词实战教程
- 125浏览 收藏
-
- 科技周边 · 人工智能 | 51分钟前 | Hermes Agent HermesAgent
- HermesAgent公平性集成实战教程
- 275浏览 收藏
-
- 科技周边 · 人工智能 | 56分钟前 |
- AI快速识别合同风险条款方法
- 161浏览 收藏
-
- 科技周边 · 人工智能 | 1小时前 |
- OpenAI指令泄露,GPT-5.5禁谈哥布林?
- 312浏览 收藏
-
- 科技周边 · 人工智能 | 1小时前 |
- 即梦AI文字艺术感提升方法
- 354浏览 收藏
-
- 科技周边 · 人工智能 | 1小时前 |
- ChatGPT如何修改昵称?在Settings里操作
- 204浏览 收藏
-
- 科技周边 · 人工智能 | 1小时前 | Workbuddy
- WorkBuddy批量转图教程详解
- 406浏览 收藏
-
- 科技周边 · 人工智能 | 1小时前 |
- Perplexity面试题库整理技巧:分类搜索与总结方法
- 173浏览 收藏
-
- 前端进阶之JavaScript设计模式
- 设计模式是开发人员在软件开发过程中面临一般问题时的解决方案,代表了最佳的实践。本课程的主打内容包括JS常见设计模式以及具体应用场景,打造一站式知识长龙服务,适合有JS基础的同学学习。
- 543次学习
-
- GO语言核心编程课程
- 本课程采用真实案例,全面具体可落地,从理论到实践,一步一步将GO核心编程技术、编程思想、底层实现融会贯通,使学习者贴近时代脉搏,做IT互联网时代的弄潮儿。
- 516次学习
-
- 简单聊聊mysql8与网络通信
- 如有问题加微信:Le-studyg;在课程中,我们将首先介绍MySQL8的新特性,包括性能优化、安全增强、新数据类型等,帮助学生快速熟悉MySQL8的最新功能。接着,我们将深入解析MySQL的网络通信机制,包括协议、连接管理、数据传输等,让
- 500次学习
-
- JavaScript正则表达式基础与实战
- 在任何一门编程语言中,正则表达式,都是一项重要的知识,它提供了高效的字符串匹配与捕获机制,可以极大的简化程序设计。
- 487次学习
-
- 从零制作响应式网站—Grid布局
- 本系列教程将展示从零制作一个假想的网络科技公司官网,分为导航,轮播,关于我们,成功案例,服务流程,团队介绍,数据部分,公司动态,底部信息等内容区块。网站整体采用CSSGrid布局,支持响应式,有流畅过渡和展现动画。
- 485次学习
-
- ChatExcel酷表
- ChatExcel酷表是由北京大学团队打造的Excel聊天机器人,用自然语言操控表格,简化数据处理,告别繁琐操作,提升工作效率!适用于学生、上班族及政府人员。
- 4477次使用
-
- Any绘本
- 探索Any绘本(anypicturebook.com/zh),一款开源免费的AI绘本创作工具,基于Google Gemini与Flux AI模型,让您轻松创作个性化绘本。适用于家庭、教育、创作等多种场景,零门槛,高自由度,技术透明,本地可控。
- 4819次使用
-
- 可赞AI
- 可赞AI,AI驱动的办公可视化智能工具,助您轻松实现文本与可视化元素高效转化。无论是智能文档生成、多格式文本解析,还是一键生成专业图表、脑图、知识卡片,可赞AI都能让信息处理更清晰高效。覆盖数据汇报、会议纪要、内容营销等全场景,大幅提升办公效率,降低专业门槛,是您提升工作效率的得力助手。
- 4703次使用
-
- 星月写作
- 星月写作是国内首款聚焦中文网络小说创作的AI辅助工具,解决网文作者从构思到变现的全流程痛点。AI扫榜、专属模板、全链路适配,助力新人快速上手,资深作者效率倍增。
- 6494次使用
-
- MagicLight
- MagicLight.ai是全球首款叙事驱动型AI动画视频创作平台,专注于解决从故事想法到完整动画的全流程痛点。它通过自研AI模型,保障角色、风格、场景高度一致性,让零动画经验者也能高效产出专业级叙事内容。广泛适用于独立创作者、动画工作室、教育机构及企业营销,助您轻松实现创意落地与商业化。
- 5070次使用
-
- GPT-4王者加冕!读图做题性能炸天,凭自己就能考上斯坦福
- 2023-04-25 501浏览
-
- 单块V100训练模型提速72倍!尤洋团队新成果获AAAI 2023杰出论文奖
- 2023-04-24 501浏览
-
- ChatGPT 真的会接管世界吗?
- 2023-04-13 501浏览
-
- VR的终极形态是「假眼」?Neuralink前联合创始人掏出新产品:科学之眼!
- 2023-04-30 501浏览
-
- 实现实时制造可视性优势有哪些?
- 2023-04-15 501浏览

