10行代码搞定图Transformer,图神经网络框架DGL迎来1.0版本
你在学习科技周边相关的知识吗?本文《10行代码搞定图Transformer,图神经网络框架DGL迎来1.0版本》,主要介绍的内容就涉及到,如果你想提升自己的开发能力,就不要错过这篇文章,大家要知道编程理论基础和实战操作都是不可或缺的哦!
2019 年,纽约大学、亚马逊云科技联手推出图神经网络框架 DGL (Deep Graph Library)。如今 DGL 1.0 正式发布!DGL 1.0 总结了过去三年学术界或工业界对图深度学习和图神经网络(GNN)技术的各类需求。从最先进模型的学术研究到将 GNN 扩展到工业级应用,DGL 1.0 为所有用户提供全面且易用的解决方案,以更好的利用图机器学习的优势。

DGL 1.0 为不同场景提供的解决方案。
DGL 1.0 采用分层和模块化的设计,以满足各种用户需求。本次发布的关键特性包括:
- 100 多个开箱即用的 GNN 模型示例,15 多个在 Open Graph Benchmark(OGB)上排名靠前的基准模型;
- 150 多个 GNN 常用模块,包括 GNN 层、数据集、图数据转换模块、图采样器等,可用于构建新的模型架构或基于 GNN 的解决方案;
- 灵活高效的消息传递和稀疏矩阵抽象,用于开发新的 GNN 模块;
- 多 GPU 和分布式训练能力,支持在百亿规模的图上进行训练。

DGL 1.0 技术栈图

地址:https://github.com/dmlc/dgl
此版本的亮点之一是引入了 DGL-Sparse,这是一个全新的编程接口,使用了稀疏矩阵作为核心的编程抽象。DGL-Sparse 不仅可以简化现有的 GNN 模型(例如图卷积网络)的开发,而且还适用于最新的模型,包括基于扩散的 GNN,超图神经网络和图 Transformer。
DGL 1.0 版本的发布在外网引起了热烈反响,深度学习三巨头之一 Yann Lecun、新加坡国立大学副教授 Xavier Bresson 等学者都点赞并转发。


在接下来的文章中,作者概述了两种主流的 GNN 范式,即消息传递视图和矩阵视图。这些范式可以帮助研究人员更好地理解 GNN 的内部工作机制,而矩阵视角也是 DGL Sparse 开发的动机之一。
消息传递视图和矩阵视图
电影《降临》中有这么一句话:「你所使用的语言决定了你的思维方式,并影响了你对事物的看法。」这句话也适合 GNN。
表示图神经网络有两种不同的范式。第一种称为消息传递视图,从细粒度、局部的角度表达 GNN 模型,详细描述如何沿边交换消息以及节点状态如何进行相应的更新。第二种是矩阵视角,由于图与稀疏邻接矩阵具有代数等价性,许多研究人员选择从粗粒度、全局的角度来表达 GNN 模型,强调涉及稀疏邻接矩阵和特征向量的操作。

消息传递视角揭示了 GNN 与 Weisfeiler Lehman (WL)图同构测试之间的联系,后者也依赖于从邻居聚合信息。而矩阵视角则从代数角度来理解 GNN,引发了一些有趣的发现,比如过度平滑问题。
总之,这两种视角都是研究 GNN 不可或缺的工具,它们互相补充,帮助研究人员更好地理解和描述 GNN 模型的本质和特性。正是基于这个原因,DGL 1.0 发布的主要动机之一就是在已有的消息传递接口基础之上,增加对于矩阵视角的支持。
DGL Sparse:为图机器学习设计的稀疏矩阵库
DGL 1.0 版本中新增了一个名为 DGL Sparse 的库(dgl.sparse),它和 DGL 中的消息传递接口一起,完善了对于全类型的图神经网络模型的支持。DGL Sparse 提供专门用于 图机器学习的稀疏矩阵类和操作,使得在矩阵视角下编写 GNN 变得更加容易。在下一节中,作者演示多个 GNN 示例,展示它们在 DGL Sparse 中的数学公式和相应的代码实现。
图卷积网络(Graph Convolutional Network)
GCN 是 GNN 建模的先驱之一。GCN 可以同时用消息传递视图和矩阵视图来表示。下面的代码比较了 DGL 中用这两种方法实现的区别。


使用消息传递 API 实现 GCN

使用 DGL Sparse 实现 GCN
基于图扩散的 GNN
图扩散是沿边传播或平滑节点特征或信号的过程。PageRank 等许多经典图算法都属于这一类。一系列研究表明,将图扩散与神经网络相结合是增强模型预测有效且高效的方法。下面的等式描述了其中比较有代表性的模型 APPNP 的核心计算。它可以直接在 DGL Sparse 中实现。


超图神经网络
超图是图的推广,其中边可以连接任意数量的节点(称为超边)。超图在需要捕获高阶关系的场景中特别有用,例如电子商务平台中的共同购买行为,或引文网络中的共同作者等。超图的典型特征是其稀疏的关联矩阵,因此超图神经网络 (HGNN) 通常使用稀疏矩阵定义。以下是超图卷积网络(Feng et al., 2018)和其代码实现。


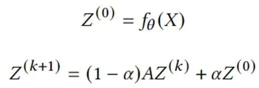
图 Transformer
Transformer 模型已经成为自然语言处理中最成功的模型架构。研究人员也开始将 Transformer 扩展到图机器学习。Dwivedi 等人开创性地提出将所有多头注意力限制为图中连接的节点对。通过 DGL Sparse 工具,只需 10 行代码即可轻松实现该模型。


DGL Sparse 的关键特性
相比 scipy.sparse 或 torch.sparse 等稀疏矩阵库,DGL Sparse 的整体设计是为图机器学习服务,其中包括了以下关键特性:
- 自动稀疏格式选择:DGL Sparse 的设计让用户不必为了选择正确的数据结构存储稀疏矩阵(也称为稀疏格式)而烦恼。用户只需要记住 dgl.sparse.spmatrix 创建稀疏矩阵,而 DGL 在内部则会根据调用的算子来自动选择最优格式;
- 标量或矢量非零元素:很多 GNN 模型会在边上学习多个权重(如 Graph Transformer 示例中演示的多头注意力向量)。为了适应这种情况,DGL Sparse 允许非零元素具有向量形状,并扩展了常见的稀疏操作,例如稀疏 - 稠密 - 矩阵乘法(SpMM)等。可以参考 Graph Transformer 示例中的 bspmm 操作。
通过利用这些设计特性,与之前使用消息传递接口的矩阵视图模型的实现相比,DGL Sparse 将代码长度平均降低了 2.7 倍。简化的代码还使框架的开销减少 43%。此外DGL Sparse 与 PyTorch 兼容,可以轻松与 PyTorch 生态系统中的各种工具和包集成。
开始使用 DGL 1.0
DGL 1.0 已经在全平台发布,并可以使用 pip 或 conda 轻松安装。除了前面介绍的示例之外,DGL Sparse 的第一个版本还包括 5 个教程和 11 个端到端示例,所有教程都可以在 Google Colab 中直接体验,无需本地安装。
想了解更多关于 DGL 1.0 的新功能,请参阅作者的发布日志。如果您在使用 DGL 的过程中遇到任何问题或者有任何建议和反馈,也可以通过 Discuss 论坛或者 Slack 联系到 DGL 团队。
今天关于《10行代码搞定图Transformer,图神经网络框架DGL迎来1.0版本》的内容就介绍到这里了,是不是学起来一目了然!想要了解更多关于机器学习,代码的内容请关注golang学习网公众号!
数据层是否可以独立为RPC?
- 上一篇
- 数据层是否可以独立为RPC?
- 下一篇
- Apple 仍在为未来的 iPhone 研发屏下 Face ID 和 Touch ID
-
- 科技周边 · 人工智能 | 6小时前 |
- WorkBuddyAI做数据报表教程
- 205浏览 收藏
-
- 科技周边 · 人工智能 | 6小时前 | 人工智能工具
- NotionAI数据库字段分类技巧
- 315浏览 收藏
-
- 科技周边 · 人工智能 | 7小时前 |
- Perplexity快速上手Playwright测试教程
- 422浏览 收藏
-
- 科技周边 · 人工智能 | 7小时前 |
- ClaudeMythos市场分析与应用教程
- 110浏览 收藏
-
- 科技周边 · 人工智能 | 7小时前 |
- 龙虾机器人AI工具评测推荐
- 167浏览 收藏
-
- 科技周边 · 人工智能 | 7小时前 |
- 千问AI解析Swift闭包语法详解
- 223浏览 收藏
-
- 科技周边 · 人工智能 | 7小时前 |
- DeepSeekR1量化精度测试解析
- 115浏览 收藏
-
- 科技周边 · 人工智能 | 7小时前 | CanvaAI Canva可画
- CanvaPPT使用记录查询与开票指南
- 484浏览 收藏
-
- 科技周边 · 人工智能 | 7小时前 |
- PerplexityRSS订阅配置教程
- 163浏览 收藏
-
- 科技周边 · 人工智能 | 7小时前 | Llama 3
- Llama3双显卡报错:核显独显切换配置详解
- 267浏览 收藏
-
- 科技周边 · 人工智能 | 7小时前 |
- WorkBuddy AI进销存操作教程【进阶】
- 228浏览 收藏
-
- 科技周边 · 人工智能 | 7小时前 |
- Claude如何写高效启发式提示词?
- 185浏览 收藏
-
- 前端进阶之JavaScript设计模式
- 设计模式是开发人员在软件开发过程中面临一般问题时的解决方案,代表了最佳的实践。本课程的主打内容包括JS常见设计模式以及具体应用场景,打造一站式知识长龙服务,适合有JS基础的同学学习。
- 543次学习
-
- GO语言核心编程课程
- 本课程采用真实案例,全面具体可落地,从理论到实践,一步一步将GO核心编程技术、编程思想、底层实现融会贯通,使学习者贴近时代脉搏,做IT互联网时代的弄潮儿。
- 516次学习
-
- 简单聊聊mysql8与网络通信
- 如有问题加微信:Le-studyg;在课程中,我们将首先介绍MySQL8的新特性,包括性能优化、安全增强、新数据类型等,帮助学生快速熟悉MySQL8的最新功能。接着,我们将深入解析MySQL的网络通信机制,包括协议、连接管理、数据传输等,让
- 500次学习
-
- JavaScript正则表达式基础与实战
- 在任何一门编程语言中,正则表达式,都是一项重要的知识,它提供了高效的字符串匹配与捕获机制,可以极大的简化程序设计。
- 487次学习
-
- 从零制作响应式网站—Grid布局
- 本系列教程将展示从零制作一个假想的网络科技公司官网,分为导航,轮播,关于我们,成功案例,服务流程,团队介绍,数据部分,公司动态,底部信息等内容区块。网站整体采用CSSGrid布局,支持响应式,有流畅过渡和展现动画。
- 485次学习
-
- ChatExcel酷表
- ChatExcel酷表是由北京大学团队打造的Excel聊天机器人,用自然语言操控表格,简化数据处理,告别繁琐操作,提升工作效率!适用于学生、上班族及政府人员。
- 4503次使用
-
- Any绘本
- 探索Any绘本(anypicturebook.com/zh),一款开源免费的AI绘本创作工具,基于Google Gemini与Flux AI模型,让您轻松创作个性化绘本。适用于家庭、教育、创作等多种场景,零门槛,高自由度,技术透明,本地可控。
- 4856次使用
-
- 可赞AI
- 可赞AI,AI驱动的办公可视化智能工具,助您轻松实现文本与可视化元素高效转化。无论是智能文档生成、多格式文本解析,还是一键生成专业图表、脑图、知识卡片,可赞AI都能让信息处理更清晰高效。覆盖数据汇报、会议纪要、内容营销等全场景,大幅提升办公效率,降低专业门槛,是您提升工作效率的得力助手。
- 4730次使用
-
- 星月写作
- 星月写作是国内首款聚焦中文网络小说创作的AI辅助工具,解决网文作者从构思到变现的全流程痛点。AI扫榜、专属模板、全链路适配,助力新人快速上手,资深作者效率倍增。
- 6573次使用
-
- MagicLight
- MagicLight.ai是全球首款叙事驱动型AI动画视频创作平台,专注于解决从故事想法到完整动画的全流程痛点。它通过自研AI模型,保障角色、风格、场景高度一致性,让零动画经验者也能高效产出专业级叙事内容。广泛适用于独立创作者、动画工作室、教育机构及企业营销,助您轻松实现创意落地与商业化。
- 5095次使用
-
- GPT-4王者加冕!读图做题性能炸天,凭自己就能考上斯坦福
- 2023-04-25 501浏览
-
- 单块V100训练模型提速72倍!尤洋团队新成果获AAAI 2023杰出论文奖
- 2023-04-24 501浏览
-
- ChatGPT 真的会接管世界吗?
- 2023-04-13 501浏览
-
- VR的终极形态是「假眼」?Neuralink前联合创始人掏出新产品:科学之眼!
- 2023-04-30 501浏览
-
- 实现实时制造可视性优势有哪些?
- 2023-04-15 501浏览

