数据科学必知必会:10个重要概念+22张图表含义
小伙伴们对科技周边编程感兴趣吗?是否正在学习相关知识点?如果是,那么本文《数据科学必知必会:10个重要概念+22张图表含义》,就很适合你,本篇文章讲解的知识点主要包括。在之后的文章中也会多多分享相关知识点,希望对大家的知识积累有所帮助!
01 偏差-方差权衡
这是一个总是在机器学习最重要理论中名列前茅的概念。机器学习中的几乎所有算法(包括深度学习)都努力在偏差和方差之间取得适当的平衡,这个图清楚地解释了二者的对立关系。


02 基尼不纯度与熵
Gini(缺乏同质性的度量)和 Entropy(随机性的度量)都是决策树中节点不纯度的度量。



对于这两个概念更重要的是要了解它们之间的关系,以便能够在给定的场景中选择正确的指标。
基尼不纯度(系数)通常比熵更容易计算(因为熵涉及对数计算)。
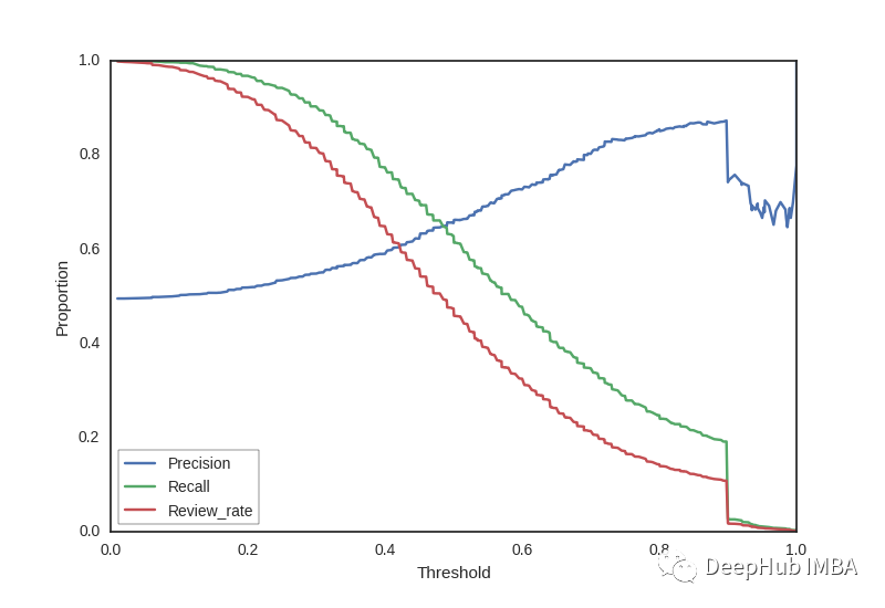
03 精度与召回曲线
精度-召回曲线显示了不同阈值的精度和召回率之间的权衡。曲线下面积大代表高召回率和高精度,其中高精度与低误报率相关,高召回率与低误报率相关。
它可以帮助我们根据需要选择正确的阈值。例如,如果我们的目标是减少类型 1 错误,我们需要选择高精度,而如果我们的目标是最小化类型 2 错误,那么我们应该选择一个阈值,使得召回率很高。
- 精度分母是一个变量:即假阳性(归类为阳性的负样本)每次都会变化。
- 召回分母是一个常数:它代表真值的总数,因此将始终保持不变。
这就是为什么下图 Precision 在结束时有一个波动,而召回始终保持平稳的原因。

04 ROC曲线
ROC 曲线是显示分类模型在所有分类阈值下的性能的图表。
这条曲线绘制了两个参数:
真阳性率<br>误报率

此曲线下的面积(称为 AUC),也可用作性能指标。AUC 越高,模型越好。

05 弯头曲线
用于K-means算法中最优簇数的选择。WCSS(簇内平方和)是给定簇中每个点与质心之间的平方距离之和。当我们用 K(簇数)值绘制 WCSS 时,该图看起来像一个肘部(弯头)。
随着聚类数量的增加,WCSS 值将开始下降。K = 1时WCSS值最大

06三块地块
它帮助我们在对高维数据执行主成分分析后,可视化每个主成分解释的变异百分比。为了选择正确数量的主成分来考虑我们的模型,我们通常会绘制此图并选择能够为我们提供足够好的总体方差百分比的值。



07线性和逻辑回归曲线

对于线性可分数据,我们可以进行线性回归或逻辑回归,二者都可以作为决策边界曲线/线。但是,在逻辑回归的情况下,由于通常只有 2 个类别,因此具有线性直线决策边界可能不起作用,在一条直线上值从低到高非常均匀地上升,因为它不够陡峭在值突然上升后会得到很多临界的高值或者低值,最终会错误分类。因此,"边界"区域,即概率从高到低转变的区域并不真正存在。所以一般情况下会应用 sigmoid 变换将其转换为 sigmoid 曲线,该曲线在极端情况下是平滑的,在中间几乎是线性的。

08支持向量机(几何理解)

09标准正态分布规则(z-分布)
均值为0,标准差为1的特殊正态分布。
经验法则指出,按照正态分布观察到的数据中有 99.7% 位于平均值的 3 个标准差以内。根据该规则,68% 的数据在一个标准差内,95% 在两个标准差内,99.7% 在三个标准差内。10学生T分布T 分布(也称为学生 T 分布)是一系列分布,看起来几乎与正态分布曲线相同,只是更短和更宽/更胖。当我们有较小的样本时,我们使用 T分布而不是正态分布。样本量越大,t 分布越像正态分布。事实上,在 30 个样本之后,T 分布几乎与正态分布完全一样。

总结
我们可能会遇到许多小而关键的概念,这些概念构成了我们做出决定或选择正确模型的基础。本文中提到的重要概念都可以通过相关的图表进行表示,这些概念是非常重要的,需要我们在看到其第一眼时就知道他的含义,如果你已经对上面的概念都掌握了,那么可以试试说明下图代表了什么:

好了,本文到此结束,带大家了解了《数据科学必知必会:10个重要概念+22张图表含义》,希望本文对你有所帮助!关注golang学习网公众号,给大家分享更多科技周边知识!
五年时间被引用3.8万次,Transformer宇宙发展成了这样
- 上一篇
- 五年时间被引用3.8万次,Transformer宇宙发展成了这样
- 下一篇
- 又一机器学习模型解释神器:Shapash
-
- 科技周边 · 人工智能 | 7小时前 |
- 用 Gemini 分析演示视频,优化销售话术
- 420浏览 收藏
-
- 科技周边 · 人工智能 | 8小时前 |
- DeepSeek联飞书,团队协作智能化方案
- 225浏览 收藏
-
- 科技周边 · 人工智能 | 8小时前 | 骡子快跑
- 骡子快跑支持OKR制定吗?目标管理辅助功能解析
- 428浏览 收藏
-
- 科技周边 · 人工智能 | 8小时前 |
- OpenClaw单机部署详解与教程
- 254浏览 收藏
-
- 科技周边 · 人工智能 | 8小时前 | openclaw
- OpenClawAI支持通义千问吗?配置技巧分享
- 406浏览 收藏
-
- 科技周边 · 人工智能 | 8小时前 | Perplexity
- Perplexity网页摘要提取教程
- 404浏览 收藏
-
- 科技周边 · 人工智能 | 9小时前 |
- Workbuddy部署测试全攻略
- 317浏览 收藏
-
- 科技周边 · 人工智能 | 9小时前 | 骡子快跑
- 骡子快跑如何避免抄袭,改写与 paraphrase 方法
- 189浏览 收藏
-
- 科技周边 · 人工智能 | 9小时前 |
- OpenClaw安装方法及教程指南
- 206浏览 收藏
-
- 科技周边 · 人工智能 | 9小时前 | 华为AI眼镜
- 华为AI眼镜延时摄影怎么拍
- 487浏览 收藏
-
- 科技周边 · 人工智能 | 9小时前 |
- 文心一言如何做职场汇报PPT
- 183浏览 收藏
-
- 科技周边 · 人工智能 | 9小时前 | Perplexity
- Perplexity搜索不准怎么优化?Prompt技巧全解析
- 205浏览 收藏
-
- 前端进阶之JavaScript设计模式
- 设计模式是开发人员在软件开发过程中面临一般问题时的解决方案,代表了最佳的实践。本课程的主打内容包括JS常见设计模式以及具体应用场景,打造一站式知识长龙服务,适合有JS基础的同学学习。
- 543次学习
-
- GO语言核心编程课程
- 本课程采用真实案例,全面具体可落地,从理论到实践,一步一步将GO核心编程技术、编程思想、底层实现融会贯通,使学习者贴近时代脉搏,做IT互联网时代的弄潮儿。
- 516次学习
-
- 简单聊聊mysql8与网络通信
- 如有问题加微信:Le-studyg;在课程中,我们将首先介绍MySQL8的新特性,包括性能优化、安全增强、新数据类型等,帮助学生快速熟悉MySQL8的最新功能。接着,我们将深入解析MySQL的网络通信机制,包括协议、连接管理、数据传输等,让
- 500次学习
-
- JavaScript正则表达式基础与实战
- 在任何一门编程语言中,正则表达式,都是一项重要的知识,它提供了高效的字符串匹配与捕获机制,可以极大的简化程序设计。
- 487次学习
-
- 从零制作响应式网站—Grid布局
- 本系列教程将展示从零制作一个假想的网络科技公司官网,分为导航,轮播,关于我们,成功案例,服务流程,团队介绍,数据部分,公司动态,底部信息等内容区块。网站整体采用CSSGrid布局,支持响应式,有流畅过渡和展现动画。
- 485次学习
-
- ChatExcel酷表
- ChatExcel酷表是由北京大学团队打造的Excel聊天机器人,用自然语言操控表格,简化数据处理,告别繁琐操作,提升工作效率!适用于学生、上班族及政府人员。
- 4241次使用
-
- Any绘本
- 探索Any绘本(anypicturebook.com/zh),一款开源免费的AI绘本创作工具,基于Google Gemini与Flux AI模型,让您轻松创作个性化绘本。适用于家庭、教育、创作等多种场景,零门槛,高自由度,技术透明,本地可控。
- 4594次使用
-
- 可赞AI
- 可赞AI,AI驱动的办公可视化智能工具,助您轻松实现文本与可视化元素高效转化。无论是智能文档生成、多格式文本解析,还是一键生成专业图表、脑图、知识卡片,可赞AI都能让信息处理更清晰高效。覆盖数据汇报、会议纪要、内容营销等全场景,大幅提升办公效率,降低专业门槛,是您提升工作效率的得力助手。
- 4480次使用
-
- 星月写作
- 星月写作是国内首款聚焦中文网络小说创作的AI辅助工具,解决网文作者从构思到变现的全流程痛点。AI扫榜、专属模板、全链路适配,助力新人快速上手,资深作者效率倍增。
- 6143次使用
-
- MagicLight
- MagicLight.ai是全球首款叙事驱动型AI动画视频创作平台,专注于解决从故事想法到完整动画的全流程痛点。它通过自研AI模型,保障角色、风格、场景高度一致性,让零动画经验者也能高效产出专业级叙事内容。广泛适用于独立创作者、动画工作室、教育机构及企业营销,助您轻松实现创意落地与商业化。
- 4853次使用
-
- GPT-4王者加冕!读图做题性能炸天,凭自己就能考上斯坦福
- 2023-04-25 501浏览
-
- 单块V100训练模型提速72倍!尤洋团队新成果获AAAI 2023杰出论文奖
- 2023-04-24 501浏览
-
- ChatGPT 真的会接管世界吗?
- 2023-04-13 501浏览
-
- VR的终极形态是「假眼」?Neuralink前联合创始人掏出新产品:科学之眼!
- 2023-04-30 501浏览
-
- 实现实时制造可视性优势有哪些?
- 2023-04-15 501浏览

