达摩院开源低成本大规模分类框架FFC
小伙伴们有没有觉得学习科技周边很有意思?有意思就对了!今天就给大家带来《达摩院开源低成本大规模分类框架FFC》,以下内容将会涉及到,若是在学习中对其中部分知识点有疑问,或许看了本文就能帮到你!

论文链接:https://arxiv.org/pdf/2105.10375.pdf
应用 & 代码:
- https://modelscope.cn/models/damo/cv_ir50_face-recognition_arcface/summary
- https://modelscope.cn/models/damo/cv_resnet_face-recognition_facemask/summary
背景
图像分类是当前 AI 最为成功的实际应用技术之一,已经融入了人们的日常生活。被广泛应用于计算机视觉的大部分任务中,比如图像分类、图像搜索、OCR、内容审核、识别认证等领域。目前已形成一个普遍共识:“当数据集越大 ID 越多时,只要训练得当,相应分类任务的效果就会越好”。但是当面对千万 ID 甚至上亿 ID 时,当下流行的 DL 框架,很难低成本的直接进行如此超大规模的分类训练。
解决该问题最直观的方式是通过集群的方式消耗更多的显卡资源,但即便如此,海量 ID 下的分类问题,依然会有如下几个问题:
1)成本问题:分布式训练框架 + 海量数据情况下,内存开销、多机通信、数据存储与加载都会消耗更多的资源。
2)长尾问题:实际场景中,当数据集达到上亿 ID 时,往往其绝大部分 ID 内的图片样本数量会很少,数据长尾分布非常明显,直接训练难以获得较好效果。
本文余下章节将重点介绍超大规模分类框架现有解决方案,以及低成本分类框架 FFC 的相应原理及 trick 介绍。
方法
在介绍方法之前,本文首先回顾了当前超大规模分类存在的主要挑战点:
挑战点 1:成本居高不下
ID 数目越大分类器显存需求越大,如下示意图所示:

显存越大所需机器卡数越多,成本也就越高,相应多机协同的硬件基础设施成本也越高。与此同时,当分类 ID 数目达到极超大规模的时候,主要计算量将浪费在最后一层分类器上,骨架网络消耗的时间可忽略不计。
挑战点 2:长尾学习困难
在实际场景下,上亿 ID 中的绝大部分 ID 内的图片样本数量会很少,长尾数据分布非常明显,直接训练难以收敛。如果按照同等权重训练,则长尾样本会被淹没学习不充分。此时,一般采用 imbalanced sample,在这个研究课题上,有非常多的方法可以借鉴,采取怎样的方式融入到简易超大规模分类框架上较为合适呢?
带着上述两个挑战点,首先来看下现有可行的方案有哪些,是否能很好的解决上述两个挑战。
可行方法 1:度量学习

可行方法 2:PFC 框架

可行方法 3:VFC 框架

本论文方法:FFC 框架
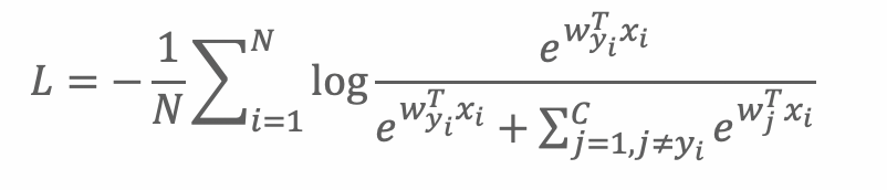
大规模分类采用 FC 训练时损失函数如下:

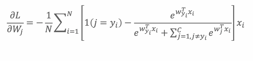
在每一次反传过程中,所有的类中心都会更新:

但 FC 太大了,直观的思路是合理地选择一定比例的类中心,即如下 Vj 为 1 部分:

由上述动机,引出了如下初步的方案:

首先,为了解决长尾带来的影响,本文引入两个 loaders,分别是基于 id 采样的 id_loader 和基于样本采样的 instance_loader,有了这两个 loader。在每个 epoch 当中,样本多的类和样本少的(few-shot)类能够有机会被训练到。
其次,在训练开始之前,先将一部分样本送入 id group,这里假设放入 10% id 的样本进入 group。这时候 gallery 用的是随机参数。
然后,训练开始时,batch 样本挨个进入 probe net。然后对于每个 batch 里面的样本就有两种情况:1.)group 中存在此样本同样 id 的特征,2.)group 中不存在同类样本的特征。对于这两种情况,分别称之为 existing id 和 fresh id。对于 existing 的样本,用特征和 group 里面的特征做内积,计算与标签的交叉熵损失函数,后回传。对于 fresh 的样本,与 group 里面的样本进行最小化余弦相似度。
最后,对 group 里面特征更新,采取新类中心替换,依据现有类中心加权的原则。对于 gallery net,采用 moving average 策略把 probe 里面的参数渐渐更新进去。
本论文方法:trick 介绍
1.)引入的 ID Group,其 size 是个可调参数,一般默认为 3 万。
2.)为达到稳定训练,参考 moco 类方法,引入 moving average,相应收敛情况分别为:

实验结果
1. 双 Loader 消融实验

2. SOTA 方法效果对比

3. 显存与样本吞吐对比

以上就是《达摩院开源低成本大规模分类框架FFC》的详细内容,更多关于开源,框架的资料请关注golang学习网公众号!
Games with Gold: Aerial_Knight's Never Yield 和 Band of Bugs 现已免费
- 上一篇
- Games with Gold: Aerial_Knight's Never Yield 和 Band of Bugs 现已免费
- 下一篇
- 索尼AI击溃顶级真人赛车手,以1.5秒优势打败人类
-
- 科技周边 · 人工智能 | 35分钟前 | 人工智能
- 微信情感陪伴:OpenClaw人设聊天体验
- 420浏览 收藏
-
- 科技周边 · 人工智能 | 59分钟前 |
- 月之暗面申请KimiClaw商标,或推硬件新品
- 431浏览 收藏
-
- 科技周边 · 人工智能 | 59分钟前 |
- 一键直达ChatGPT官网入口
- 330浏览 收藏
-
- 科技周边 · 人工智能 | 1小时前 | 骡子快跑
- 骡子快跑能打卡吗_行为追踪设置方法
- 224浏览 收藏
-
- 科技周边 · 人工智能 | 9小时前 |
- 高效短视频脚本创作:通义千问打造多版本创意大纲
- 152浏览 收藏
-
- 科技周边 · 人工智能 | 9小时前 | Midjourney
- Midjourney生成校园恋爱樱花特效场景
- 435浏览 收藏
-
- 科技周边 · 人工智能 | 9小时前 |
- Minimax视频违规申诉指南
- 394浏览 收藏
-
- 科技周边 · 人工智能 | 9小时前 |
- Figma AI重命名需联网?揭秘云端数据处理流程
- 479浏览 收藏
-
- 科技周边 · 人工智能 | 9小时前 |
- Recraft AI 如何批量生成图标?设计师必备效率神器
- 232浏览 收藏
-
- 科技周边 · 人工智能 | 9小时前 | 千问AI购物助手
- 千问AI购物助手秒杀攻略
- 407浏览 收藏
-
- 科技周边 · 人工智能 | 9小时前 | 豆包AI
- 豆包AI助你规划播客选题与内容结构
- 482浏览 收藏
-
- 前端进阶之JavaScript设计模式
- 设计模式是开发人员在软件开发过程中面临一般问题时的解决方案,代表了最佳的实践。本课程的主打内容包括JS常见设计模式以及具体应用场景,打造一站式知识长龙服务,适合有JS基础的同学学习。
- 543次学习
-
- GO语言核心编程课程
- 本课程采用真实案例,全面具体可落地,从理论到实践,一步一步将GO核心编程技术、编程思想、底层实现融会贯通,使学习者贴近时代脉搏,做IT互联网时代的弄潮儿。
- 516次学习
-
- 简单聊聊mysql8与网络通信
- 如有问题加微信:Le-studyg;在课程中,我们将首先介绍MySQL8的新特性,包括性能优化、安全增强、新数据类型等,帮助学生快速熟悉MySQL8的最新功能。接着,我们将深入解析MySQL的网络通信机制,包括协议、连接管理、数据传输等,让
- 500次学习
-
- JavaScript正则表达式基础与实战
- 在任何一门编程语言中,正则表达式,都是一项重要的知识,它提供了高效的字符串匹配与捕获机制,可以极大的简化程序设计。
- 487次学习
-
- 从零制作响应式网站—Grid布局
- 本系列教程将展示从零制作一个假想的网络科技公司官网,分为导航,轮播,关于我们,成功案例,服务流程,团队介绍,数据部分,公司动态,底部信息等内容区块。网站整体采用CSSGrid布局,支持响应式,有流畅过渡和展现动画。
- 485次学习
-
- ChatExcel酷表
- ChatExcel酷表是由北京大学团队打造的Excel聊天机器人,用自然语言操控表格,简化数据处理,告别繁琐操作,提升工作效率!适用于学生、上班族及政府人员。
- 4524次使用
-
- Any绘本
- 探索Any绘本(anypicturebook.com/zh),一款开源免费的AI绘本创作工具,基于Google Gemini与Flux AI模型,让您轻松创作个性化绘本。适用于家庭、教育、创作等多种场景,零门槛,高自由度,技术透明,本地可控。
- 4875次使用
-
- 可赞AI
- 可赞AI,AI驱动的办公可视化智能工具,助您轻松实现文本与可视化元素高效转化。无论是智能文档生成、多格式文本解析,还是一键生成专业图表、脑图、知识卡片,可赞AI都能让信息处理更清晰高效。覆盖数据汇报、会议纪要、内容营销等全场景,大幅提升办公效率,降低专业门槛,是您提升工作效率的得力助手。
- 4749次使用
-
- 星月写作
- 星月写作是国内首款聚焦中文网络小说创作的AI辅助工具,解决网文作者从构思到变现的全流程痛点。AI扫榜、专属模板、全链路适配,助力新人快速上手,资深作者效率倍增。
- 6624次使用
-
- MagicLight
- MagicLight.ai是全球首款叙事驱动型AI动画视频创作平台,专注于解决从故事想法到完整动画的全流程痛点。它通过自研AI模型,保障角色、风格、场景高度一致性,让零动画经验者也能高效产出专业级叙事内容。广泛适用于独立创作者、动画工作室、教育机构及企业营销,助您轻松实现创意落地与商业化。
- 5113次使用
-
- GPT-4王者加冕!读图做题性能炸天,凭自己就能考上斯坦福
- 2023-04-25 501浏览
-
- 单块V100训练模型提速72倍!尤洋团队新成果获AAAI 2023杰出论文奖
- 2023-04-24 501浏览
-
- ChatGPT 真的会接管世界吗?
- 2023-04-13 501浏览
-
- VR的终极形态是「假眼」?Neuralink前联合创始人掏出新产品:科学之眼!
- 2023-04-30 501浏览
-
- 实现实时制造可视性优势有哪些?
- 2023-04-15 501浏览

