十个机器学习中常用的距离度量方法
在IT行业这个发展更新速度很快的行业,只有不停止的学习,才不会被行业所淘汰。如果你是科技周边学习者,那么本文《十个机器学习中常用的距离度量方法》就很适合你!本篇内容主要包括##content_title##,希望对大家的知识积累有所帮助,助力实战开发!
距离度量是有监督和无监督学习算法的基础,包括k近邻、支持向量机和k均值聚类等。
距离度量的选择影响我们的机器学习结果,因此考虑哪种度量最适合这个问题是很重要的。因此,我们在决定使用哪种测量方法时应该谨慎。但在做出决定之前,我们需要了解距离测量是如何工作的,以及我们可以从哪些测量中进行选择。
本文将简要介绍常用的距离度量方法、它们的工作原理、如何用Python计算它们以及何时使用它们。这样可以加深知识和理解,提高机器学习算法和结果。

在更深入地研究不同的距离测量之前,我们先要有一个关于它们如何工作以及如何选择合适的测量的大致概念。
距离度量用于计算给定问题空间中两个对象之间的差异,即数据集中的特征。然后可以使用该距离来确定特征之间的相似性, 距离越小特征越相似。
对于距离的度量,我们可以在几何距离测量和统计距离测量之间进行选择,应该选择哪种距离度量取决于数据的类型。特征可能有不同的数据类型(例如,真实值、布尔值、分类值),数据可能是多维的或由地理空间数据组成。
几何距离测量
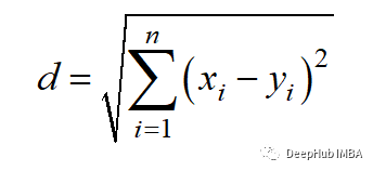
1、欧氏距离 Euclidean distance
欧氏距离度量两个实值向量之间的最短距离。由于其直观,使用简单和对许多用例有良好结果,所以它是最常用的距离度量和许多应用程序的默认距离度量。

欧氏距离也可称为l2范数,其计算方法为:

Python代码如下
from scipy.spatial import distance distance.euclidean(vector_1, vector_2)
欧氏距离有两个主要缺点。首先,距离测量不适用于比2D或3D空间更高维度的数据。第二,如果我们不将特征规范化和/或标准化,距离可能会因为单位的不同而倾斜。
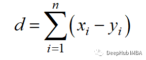
2、曼哈顿距离 Manhattan distance
曼哈顿距离也被称为出租车或城市街区距离,因为两个实值向量之间的距离是根据一个人只能以直角移动计算的。这种距离度量通常用于离散和二元属性,这样可以获得真实的路径。

曼哈顿距离以l1范数为基础,计算公式为:

Python代码如下
from scipy.spatial import distance distance.cityblock(vector_1, vector_2)
曼哈顿的距离有两个主要的缺点。它不如高维空间中的欧氏距离直观,它也没有显示可能的最短路径。虽然这可能没有问题,但我们应该意识到这并不是最短的距离。
3、切比雪夫距离 Chebyshev distance
切比雪夫距离也称为棋盘距离,因为它是两个实值向量之间任意维度上的最大距离。它通常用于仓库物流中,其中最长的路径决定了从一个点到另一个点所需的时间。

切比雪夫距离由l -无穷范数计算:

Python代码如下
from scipy.spatial import distance distance.chebyshev(vector_1, vector_2)
切比雪夫距离只有非常特定的用例,因此很少使用。
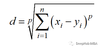
4、闵可夫斯基距离 Minkowski distance
闵可夫斯基距离是上述距离度量的广义形式。它可以用于相同的用例,同时提供高灵活性。我们可以选择 p 值来找到最合适的距离度量。

闵可夫斯基距离的计算方法为:

Python代码如下
from scipy.spatial import distance distance.minkowski(vector_1, vector_2, p)
由于闵可夫斯基距离表示不同的距离度量,它就有与它们相同的主要缺点,例如在高维空间的问题和对特征单位的依赖。此外,p值的灵活性也可能是一个缺点,因为它可能降低计算效率,因为找到正确的p值需要进行多次计算。
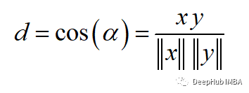
5、余弦相似度和距离 Cosine similarity
余弦相似度是方向的度量,他的大小由两个向量之间的余弦决定,并且忽略了向量的大小。余弦相似度通常用于与数据大小无关紧要的高维,例如,推荐系统或文本分析。

余弦相似度可以介于-1(相反方向)和1(相同方向)之间,计算方法为:

余弦相似度常用于范围在0到1之间的正空间中。余弦距离就是用1减去余弦相似度,位于0(相似值)和1(不同值)之间。
Python代码如下
from scipy.spatial import distance distance.cosine(vector_1, vector_2)
余弦距离的主要缺点是它不考虑大小而只考虑向量的方向。因此,没有充分考虑到值的差异。
6、半正矢距离 Haversine distance
半正矢距离测量的是球面上两点之间的最短距离。因此常用于导航,其中经度和纬度和曲率对计算都有影响。

半正矢距离的公式如下:

其中r为球面半径,φ和λ为经度和纬度。
Python代码如下
from sklearn.metrics.pairwise import haversine_distances haversine_distances([vector_1, vector_2])
半正矢距离的主要缺点是假设是一个球体,而这种情况很少出现。
7、汉明距离
汉明距离衡量两个二进制向量或字符串之间的差异。

对向量按元素进行比较,并对差异的数量进行平均。如果两个向量相同,得到的距离是0之间,如果两个向量完全不同,得到的距离是1。
Python代码如下
from scipy.spatial import distance distance.hamming(vector_1, vector_2)
汉明距离有两个主要缺点。距离测量只能比较相同长度的向量,它不能给出差异的大小。所以当差异的大小很重要时,不建议使用汉明距离。
统计距离测量
统计距离测量可用于假设检验、拟合优度检验、分类任务或异常值检测。
8、杰卡德指数和距离 Jaccard Index
Jaccard指数用于确定两个样本集之间的相似性。它反映了与整个数据集相比存在多少一对一匹配。Jaccard指数通常用于二进制数据比如图像识别的深度学习模型的预测与标记数据进行比较,或者根据单词的重叠来比较文档中的文本模式。

Jaccard距离的计算方法为:

Python代码如下
from scipy.spatial import distance distance.jaccard(vector_1, vector_2)
Jaccard指数和距离的主要缺点是,它受到数据规模的强烈影响,即每个项目的权重与数据集的规模成反比。
9、Sorensen-Dice指数
Sörensen-Dice指数类似于Jaccard指数,它可以衡量的是样本集的相似性和多样性。该指数更直观,因为它计算重叠的百分比。Sörensen-Dice索引常用于图像分割和文本相似度分析。

计算公式如下:

Python代码如下
from scipy.spatial import distance distance.dice(vector_1, vector_2)
它的主要缺点也是受数据集大小的影响很大。
10、动态时间规整 Dynamic Time Warping
动态时间规整是测量两个不同长度时间序列之间距离的一种重要方法。可以用于所有时间序列数据的用例,如语音识别或异常检测。

为什么我们需要一个为时间序列进行距离测量的度量呢?如果时间序列长度不同或失真,则上述面说到的其他距离测量无法确定良好的相似性。比如欧几里得距离计算每个时间步长的两个时间序列之间的距离。但是如果两个时间序列的形状相同但在时间上发生了偏移,那么尽管时间序列非常相似,但欧几里得距离会表现出很大的差异。
动态时间规整通过使用多对一或一对多映射来最小化两个时间序列之间的总距离来避免这个问题。当搜索最佳对齐时,这会产生更直观的相似性度量。通过动态规划找到一条弯曲的路径最小化距离,该路径必须满足以下条件:
- 边界条件:弯曲路径在两个时间序列的起始点和结束点开始和结束
- 单调性条件:保持点的时间顺序,避免时间倒流
- 连续条件:路径转换限制在相邻的时间点上,避免时间跳跃
- 整经窗口条件(可选):允许的点落入给定宽度的整经窗口
- 坡度条件(可选):限制弯曲路径坡度,避免极端运动
我们可以使用 Python 中的 fastdtw 包:
from scipy.spatial.distance import euclidean from fastdtw import fastdtw distance, path = fastdtw(timeseries_1, timeseries_2, dist=euclidean)
动态时间规整的一个主要缺点是与其他距离测量方法相比,它的计算工作量相对较高。
总结
在这篇文章中,简要介绍了十种常用的距离测量方法。本文中已经展示了它们是如何工作的,如何在Python中实现它们,以及经常使用它们解决什么问题。如果你认为我错过了一个重要的距离测量,请留言告诉我。
今天关于《十个机器学习中常用的距离度量方法》的内容就介绍到这里了,是不是学起来一目了然!想要了解更多关于机器学习,数据集,距离度量的内容请关注golang学习网公众号!
Windows 11:如何在动态更新期间绕过 TPM 检查
- 上一篇
- Windows 11:如何在动态更新期间绕过 TPM 检查
- 下一篇
- Apple Watch 跌倒检测的工作原理、自定义和使用方法教程
-
- 科技周边 · 人工智能 | 2小时前 |
- Mac Studio集群:多机跑70B大模型教程
- 370浏览 收藏
-
- 科技周边 · 人工智能 | 2小时前 | CanvaAI Canva可画
- Canva Pro会员价格及权益详解
- 246浏览 收藏
-
- 科技周边 · 人工智能 | 2小时前 | Hermes Agent HermesAgent
- Hermes Agent缓存清理方法【技巧】
- 420浏览 收藏
-
- 科技周边 · 人工智能 | 2小时前 | 骡子快跑
- 骡子快跑模拟面试怎么设置
- 382浏览 收藏
-
- 科技周边 · 人工智能 | 3小时前 | CodeGeeX
- 判断今天日期是否为指定日期
- 296浏览 收藏
-
- 科技周边 · 人工智能 | 3小时前 |
- DeepSeek替代ChatGPT优势解析
- 264浏览 收藏
-
- 科技周边 · 人工智能 | 3小时前 |
- 如何查看Perplexity API账单?进入Settings Billing管理面板
- 263浏览 收藏
-
- 科技周边 · 人工智能 | 3小时前 |
- 矢量图天花板!Recraft一键生成SVG全流程
- 446浏览 收藏
-
- 科技周边 · 人工智能 | 4小时前 | Hermes Agent HermesAgent
- HermesAgent数据归档:策略集成实战教程
- 104浏览 收藏
-
- 科技周边 · 人工智能 | 4小时前 |
- WorkBuddy一键配置文件下发方法
- 170浏览 收藏
-
- 科技周边 · 人工智能 | 4小时前 | Midjourney
- Midjourney生成表情包Gif制作教程
- 383浏览 收藏
-
- 前端进阶之JavaScript设计模式
- 设计模式是开发人员在软件开发过程中面临一般问题时的解决方案,代表了最佳的实践。本课程的主打内容包括JS常见设计模式以及具体应用场景,打造一站式知识长龙服务,适合有JS基础的同学学习。
- 543次学习
-
- GO语言核心编程课程
- 本课程采用真实案例,全面具体可落地,从理论到实践,一步一步将GO核心编程技术、编程思想、底层实现融会贯通,使学习者贴近时代脉搏,做IT互联网时代的弄潮儿。
- 516次学习
-
- 简单聊聊mysql8与网络通信
- 如有问题加微信:Le-studyg;在课程中,我们将首先介绍MySQL8的新特性,包括性能优化、安全增强、新数据类型等,帮助学生快速熟悉MySQL8的最新功能。接着,我们将深入解析MySQL的网络通信机制,包括协议、连接管理、数据传输等,让
- 500次学习
-
- JavaScript正则表达式基础与实战
- 在任何一门编程语言中,正则表达式,都是一项重要的知识,它提供了高效的字符串匹配与捕获机制,可以极大的简化程序设计。
- 487次学习
-
- 从零制作响应式网站—Grid布局
- 本系列教程将展示从零制作一个假想的网络科技公司官网,分为导航,轮播,关于我们,成功案例,服务流程,团队介绍,数据部分,公司动态,底部信息等内容区块。网站整体采用CSSGrid布局,支持响应式,有流畅过渡和展现动画。
- 485次学习
-
- ChatExcel酷表
- ChatExcel酷表是由北京大学团队打造的Excel聊天机器人,用自然语言操控表格,简化数据处理,告别繁琐操作,提升工作效率!适用于学生、上班族及政府人员。
- 4510次使用
-
- Any绘本
- 探索Any绘本(anypicturebook.com/zh),一款开源免费的AI绘本创作工具,基于Google Gemini与Flux AI模型,让您轻松创作个性化绘本。适用于家庭、教育、创作等多种场景,零门槛,高自由度,技术透明,本地可控。
- 4862次使用
-
- 可赞AI
- 可赞AI,AI驱动的办公可视化智能工具,助您轻松实现文本与可视化元素高效转化。无论是智能文档生成、多格式文本解析,还是一键生成专业图表、脑图、知识卡片,可赞AI都能让信息处理更清晰高效。覆盖数据汇报、会议纪要、内容营销等全场景,大幅提升办公效率,降低专业门槛,是您提升工作效率的得力助手。
- 4739次使用
-
- 星月写作
- 星月写作是国内首款聚焦中文网络小说创作的AI辅助工具,解决网文作者从构思到变现的全流程痛点。AI扫榜、专属模板、全链路适配,助力新人快速上手,资深作者效率倍增。
- 6581次使用
-
- MagicLight
- MagicLight.ai是全球首款叙事驱动型AI动画视频创作平台,专注于解决从故事想法到完整动画的全流程痛点。它通过自研AI模型,保障角色、风格、场景高度一致性,让零动画经验者也能高效产出专业级叙事内容。广泛适用于独立创作者、动画工作室、教育机构及企业营销,助您轻松实现创意落地与商业化。
- 5098次使用
-
- GPT-4王者加冕!读图做题性能炸天,凭自己就能考上斯坦福
- 2023-04-25 501浏览
-
- 单块V100训练模型提速72倍!尤洋团队新成果获AAAI 2023杰出论文奖
- 2023-04-24 501浏览
-
- ChatGPT 真的会接管世界吗?
- 2023-04-13 501浏览
-
- VR的终极形态是「假眼」?Neuralink前联合创始人掏出新产品:科学之眼!
- 2023-04-30 501浏览
-
- 实现实时制造可视性优势有哪些?
- 2023-04-15 501浏览

