物理学家狂喜的AI工具开源了!靠实验数据直接发现物理公式,笔记本就能跑
对于一个科技周边开发者来说,牢固扎实的基础是十分重要的,golang学习网就来带大家一点点的掌握基础知识点。今天本篇文章带大家了解《物理学家狂喜的AI工具开源了!靠实验数据直接发现物理公式,笔记本就能跑》,主要介绍了,希望对大家的知识积累有所帮助,快点收藏起来吧,否则需要时就找不到了!
一个让物理学家狂喜的AI工具,在GitHub上开源了!
它名叫Φ-SO ,能直接从数据中找到隐藏的规律,而且一步到位,直接给出对应公式。

整个过程也不需要动用超算,一台笔记本大概4个小时就能搞定爱因斯坦的质能方程。

这项成果来自德国斯特拉斯堡大学与澳大利亚联邦科学与工业研究组织Data61部门,据论文一作透露,研究用了1.5年时间,受到学术界广泛关注。

代码一经开源,涨星也是飞快。

除了物理学者直呼Amazing之外,还有其他学科研究者赶来探讨,能不能把同款方法迁移到他们的领域。


强化学习+物理条件约束
Φ-SO背后的技术被叫做“深度符号回归”,使用循环神经网络(RNN)+强化学习实现。
首先将前一个符号和上下文信息输入给RNN,预测出后一个符号的概率分布,重复此步骤,可以生成出大量表达式。

同时将物理条件作为先验知识纳入学习过程中,避免AI搞出没有实际含义的公式,可以大大减少搜索空间。

再引入强化学习,让AI学会生成与原始数据拟合最好的公式。
与强化学习用来下棋、操控机器人等不同,在符号回归任务上只需要关心如何找到最佳的那个公式,而不关心神经网络的平均表现。
于是强化学习的规则被设计成,只对找出前5%的候选公式做奖励,找出另外95%也不做惩罚,鼓励模型充分探索搜索空间。
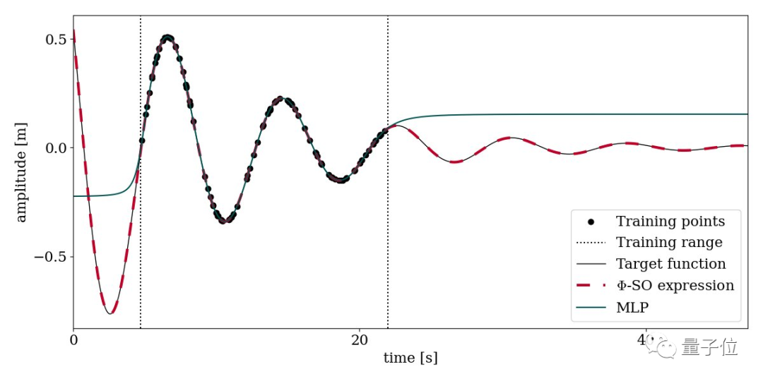
研究团队用阻尼谐振子解析表达式、爱因斯坦能量公式,牛顿的万有引力公式等经典公式来做实验。
Φ-SO都能100%的从数据中还原这些公式,并且以上方法缺一不可。

与其他方法入MLP相比,Φ-SO在训练范围之外的表现也要更好。

研究团队在最后表示,虽然算法本身还有一定改进空间,不过他们的首要任务已经改成用新工具去发现未知的物理规律去了。

GitHub:https://github.com/WassimTenachi/PhySO
论文:https://arxiv.org/abs/2303.03192
参考链接:[1]https://twitter.com/astro_wassim/status/1633645134934949888
文中关于工具,AI,物理学家的知识介绍,希望对你的学习有所帮助!若是受益匪浅,那就动动鼠标收藏这篇《物理学家狂喜的AI工具开源了!靠实验数据直接发现物理公式,笔记本就能跑》文章吧,也可关注golang学习网公众号了解相关技术文章。
适用于工作站的 Windows 11 Pro:您需要知道的一切
- 上一篇
- 适用于工作站的 Windows 11 Pro:您需要知道的一切
- 下一篇
- 人工智能能否在物联网应用中提供价值?
-
- 科技周边 · 人工智能 | 18分钟前 | AI绘画
- AI绘画LoRA训练步骤详解
- 301浏览 收藏
-
- 科技周边 · 人工智能 | 19分钟前 |
- 即梦AI赛博朋克风生成技巧
- 113浏览 收藏
-
- 科技周边 · 人工智能 | 25分钟前 | kimi ai
- Kimi AI官网最新链接及在线使用入口
- 461浏览 收藏
-
- 科技周边 · 人工智能 | 27分钟前 |
- Gemini Advanced免费试用方法及福利领取指南
- 358浏览 收藏
-
- 科技周边 · 人工智能 | 34分钟前 |
- Claude中文镜像站靠谱吗?使用风险全解析
- 237浏览 收藏
-
- 科技周边 · 人工智能 | 51分钟前 |
- 即梦AI背景修改技巧与抠图教程
- 297浏览 收藏
-
- 科技周边 · 人工智能 | 57分钟前 |
- DeepSeek V4MoE加载方式与显存驻留解析
- 261浏览 收藏
-
- 科技周边 · 人工智能 | 1小时前 |
- 豆包AI智能体角色扮演互动技巧解析
- 165浏览 收藏
-
- 科技周边 · 人工智能 | 1小时前 | DeepSeek
- DeepSeek如何评估回答可信度及标注方法
- 413浏览 收藏
-
- 科技周边 · 人工智能 | 1小时前 |
- Perplexity AI如何深入追问?多轮对话技巧全解析
- 213浏览 收藏
-
- 科技周边 · 人工智能 | 1小时前 |
- DeepSeek API负载均衡方案解析
- 240浏览 收藏
-
- 科技周边 · 人工智能 | 1小时前 |
- 使用 Claude 编写自动化脚本的效率提升方案
- 303浏览 收藏
-
- 前端进阶之JavaScript设计模式
- 设计模式是开发人员在软件开发过程中面临一般问题时的解决方案,代表了最佳的实践。本课程的主打内容包括JS常见设计模式以及具体应用场景,打造一站式知识长龙服务,适合有JS基础的同学学习。
- 543次学习
-
- GO语言核心编程课程
- 本课程采用真实案例,全面具体可落地,从理论到实践,一步一步将GO核心编程技术、编程思想、底层实现融会贯通,使学习者贴近时代脉搏,做IT互联网时代的弄潮儿。
- 516次学习
-
- 简单聊聊mysql8与网络通信
- 如有问题加微信:Le-studyg;在课程中,我们将首先介绍MySQL8的新特性,包括性能优化、安全增强、新数据类型等,帮助学生快速熟悉MySQL8的最新功能。接着,我们将深入解析MySQL的网络通信机制,包括协议、连接管理、数据传输等,让
- 500次学习
-
- JavaScript正则表达式基础与实战
- 在任何一门编程语言中,正则表达式,都是一项重要的知识,它提供了高效的字符串匹配与捕获机制,可以极大的简化程序设计。
- 487次学习
-
- 从零制作响应式网站—Grid布局
- 本系列教程将展示从零制作一个假想的网络科技公司官网,分为导航,轮播,关于我们,成功案例,服务流程,团队介绍,数据部分,公司动态,底部信息等内容区块。网站整体采用CSSGrid布局,支持响应式,有流畅过渡和展现动画。
- 485次学习
-
- ChatExcel酷表
- ChatExcel酷表是由北京大学团队打造的Excel聊天机器人,用自然语言操控表格,简化数据处理,告别繁琐操作,提升工作效率!适用于学生、上班族及政府人员。
- 4512次使用
-
- Any绘本
- 探索Any绘本(anypicturebook.com/zh),一款开源免费的AI绘本创作工具,基于Google Gemini与Flux AI模型,让您轻松创作个性化绘本。适用于家庭、教育、创作等多种场景,零门槛,高自由度,技术透明,本地可控。
- 4863次使用
-
- 可赞AI
- 可赞AI,AI驱动的办公可视化智能工具,助您轻松实现文本与可视化元素高效转化。无论是智能文档生成、多格式文本解析,还是一键生成专业图表、脑图、知识卡片,可赞AI都能让信息处理更清晰高效。覆盖数据汇报、会议纪要、内容营销等全场景,大幅提升办公效率,降低专业门槛,是您提升工作效率的得力助手。
- 4740次使用
-
- 星月写作
- 星月写作是国内首款聚焦中文网络小说创作的AI辅助工具,解决网文作者从构思到变现的全流程痛点。AI扫榜、专属模板、全链路适配,助力新人快速上手,资深作者效率倍增。
- 6583次使用
-
- MagicLight
- MagicLight.ai是全球首款叙事驱动型AI动画视频创作平台,专注于解决从故事想法到完整动画的全流程痛点。它通过自研AI模型,保障角色、风格、场景高度一致性,让零动画经验者也能高效产出专业级叙事内容。广泛适用于独立创作者、动画工作室、教育机构及企业营销,助您轻松实现创意落地与商业化。
- 5100次使用
-
- GPT-4王者加冕!读图做题性能炸天,凭自己就能考上斯坦福
- 2023-04-25 501浏览
-
- 单块V100训练模型提速72倍!尤洋团队新成果获AAAI 2023杰出论文奖
- 2023-04-24 501浏览
-
- ChatGPT 真的会接管世界吗?
- 2023-04-13 501浏览
-
- VR的终极形态是「假眼」?Neuralink前联合创始人掏出新产品:科学之眼!
- 2023-04-30 501浏览
-
- 实现实时制造可视性优势有哪些?
- 2023-04-15 501浏览

