聊聊图像识别:循环神经网络
今日不肯埋头,明日何以抬头!每日一句努力自己的话哈哈~哈喽,今天我将给大家带来一篇《聊聊图像识别:循环神经网络》,主要内容是讲解等等,感兴趣的朋友可以收藏或者有更好的建议在评论提出,我都会认真看的!大家一起进步,一起学习!
本文转载自微信公众号「活在信息时代」,作者活在信息时代。转载本文请联系活在信息时代公众号。
循环神经网络(Recurrent Neural Network,RNN)主要是用来解决序列数据问题。它之所以成为循环神经网络,是因为一个序列的当前输出与前面的输出也是有关的。RNN网络对之前时刻的信息进行记忆,并运用到当前输出计算中,与卷积神经网络不同,循环神经网络隐藏层之间的神经元是相互连接的,隐藏层中神经元的输入是由输入层的输出和上一时刻隐藏神经元的输出共同构成。虽然RNN网络取得了一些显著成果,但是有一些缺点和局限,如:训练难度大、准确度低、效率低、时间长等,故基于RNN之上的一些改进的网络模型逐渐被研发出来,如:长短时记忆网络(Long Short-Term Memory,LSTM),双向RNN,双向LSTM、GRU等。这些改进的RNN模型在图像识别领域表现出了显出的效果,并被广泛应用。以LSTM网络为例,介绍下其主要网络结构。
长短时记忆网络(Long Short-Term Memory,LSTM)解决了RNN存在着梯度消失或梯度爆炸等问题,可以学习长期依赖问题。其结构如下。

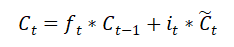
LSTM拥有三个门来让信息选择式通过:遗忘门、输入门、输出门。其中遗忘门决定着哪些信息可以通过这个cell。它通过一个sigmoid神经层来实现。它的输入是,输出是一个数值在(0,1)之间的向量,表示着让的各部分信息通过的比重。0表示“不让任何信息通过”,1表示“让所有信息通过”。

输入门决定着让多少新的信息加入到cell状态中来,一个tanh层生成一个向量,也就是备选的用来更新的内容。

更新cell状态:

输出门决定中的哪部分信息被输出:

GRU网络模型也同样解决了RNN存在着梯度消失或梯度爆炸等问题,能够学习长期依赖关系,是LSTM的一种变形,结构比LSTM简单,具有更少的参数,训练时间也较LSTM有所缩短。也广泛应用于语音识别、图像描述、自然语言处理等场景。
本篇关于《聊聊图像识别:循环神经网络》的介绍就到此结束啦,但是学无止境,想要了解学习更多关于科技周边的相关知识,请关注golang学习网公众号!
集成AI和ML 以很大限度地提高运营效率的好处
- 上一篇
- 集成AI和ML 以很大限度地提高运营效率的好处
- 下一篇
- 与上次不同,据报道 Surface Laptop 5 使用最新的 Ryzen 6000 Rembrandt APU
-
- 科技周边 · 人工智能 | 5分钟前 | Hermes Agent HermesAgent
- HermesAgent与OpenClaw合作解析
- 180浏览 收藏
-
- 科技周边 · 人工智能 | 5分钟前 |
- 关闭Perplexity自动续费全攻略
- 249浏览 收藏
-
- 科技周边 · 人工智能 | 14分钟前 | 骡子快跑
- 骡子快跑能生成目录吗?
- 135浏览 收藏
-
- 科技周边 · 人工智能 | 20分钟前 |
- 豆包AI生成表格方法及Markdown导出技巧
- 160浏览 收藏
-
- 科技周边 · 人工智能 | 20分钟前 | 夸克AI 夸克AI大模型
- 夸克AI快速提取名片信息方法
- 464浏览 收藏
-
- 科技周边 · 人工智能 | 26分钟前 | ToClawI
- ToClaw技能库大全:100+技能使用教程
- 493浏览 收藏
-
- 科技周边 · 人工智能 | 26分钟前 |
- WorkBuddy微信订阅号接入教程
- 235浏览 收藏
-
- 科技周边 · 人工智能 | 32分钟前 | CodeGeeX CodeGeeX生成Go代码保姆级教程
- CodeGeeX生成Go代码覆盖率报告教程
- 170浏览 收藏
-
- 科技周边 · 人工智能 | 41分钟前 | openclaw
- OpenClawAISD卡识别问题解决方法
- 429浏览 收藏
-
- 科技周边 · 人工智能 | 44分钟前 |
- Windows部署Core成本:内存与SSD影响总费用
- 111浏览 收藏
-
- 科技周边 · 人工智能 | 44分钟前 |
- 禁用冷门技能,优化WorkBuddy资源消耗
- 433浏览 收藏
-
- 前端进阶之JavaScript设计模式
- 设计模式是开发人员在软件开发过程中面临一般问题时的解决方案,代表了最佳的实践。本课程的主打内容包括JS常见设计模式以及具体应用场景,打造一站式知识长龙服务,适合有JS基础的同学学习。
- 543次学习
-
- GO语言核心编程课程
- 本课程采用真实案例,全面具体可落地,从理论到实践,一步一步将GO核心编程技术、编程思想、底层实现融会贯通,使学习者贴近时代脉搏,做IT互联网时代的弄潮儿。
- 516次学习
-
- 简单聊聊mysql8与网络通信
- 如有问题加微信:Le-studyg;在课程中,我们将首先介绍MySQL8的新特性,包括性能优化、安全增强、新数据类型等,帮助学生快速熟悉MySQL8的最新功能。接着,我们将深入解析MySQL的网络通信机制,包括协议、连接管理、数据传输等,让
- 500次学习
-
- JavaScript正则表达式基础与实战
- 在任何一门编程语言中,正则表达式,都是一项重要的知识,它提供了高效的字符串匹配与捕获机制,可以极大的简化程序设计。
- 487次学习
-
- 从零制作响应式网站—Grid布局
- 本系列教程将展示从零制作一个假想的网络科技公司官网,分为导航,轮播,关于我们,成功案例,服务流程,团队介绍,数据部分,公司动态,底部信息等内容区块。网站整体采用CSSGrid布局,支持响应式,有流畅过渡和展现动画。
- 485次学习
-
- ChatExcel酷表
- ChatExcel酷表是由北京大学团队打造的Excel聊天机器人,用自然语言操控表格,简化数据处理,告别繁琐操作,提升工作效率!适用于学生、上班族及政府人员。
- 4484次使用
-
- Any绘本
- 探索Any绘本(anypicturebook.com/zh),一款开源免费的AI绘本创作工具,基于Google Gemini与Flux AI模型,让您轻松创作个性化绘本。适用于家庭、教育、创作等多种场景,零门槛,高自由度,技术透明,本地可控。
- 4827次使用
-
- 可赞AI
- 可赞AI,AI驱动的办公可视化智能工具,助您轻松实现文本与可视化元素高效转化。无论是智能文档生成、多格式文本解析,还是一键生成专业图表、脑图、知识卡片,可赞AI都能让信息处理更清晰高效。覆盖数据汇报、会议纪要、内容营销等全场景,大幅提升办公效率,降低专业门槛,是您提升工作效率的得力助手。
- 4711次使用
-
- 星月写作
- 星月写作是国内首款聚焦中文网络小说创作的AI辅助工具,解决网文作者从构思到变现的全流程痛点。AI扫榜、专属模板、全链路适配,助力新人快速上手,资深作者效率倍增。
- 6514次使用
-
- MagicLight
- MagicLight.ai是全球首款叙事驱动型AI动画视频创作平台,专注于解决从故事想法到完整动画的全流程痛点。它通过自研AI模型,保障角色、风格、场景高度一致性,让零动画经验者也能高效产出专业级叙事内容。广泛适用于独立创作者、动画工作室、教育机构及企业营销,助您轻松实现创意落地与商业化。
- 5080次使用
-
- GPT-4王者加冕!读图做题性能炸天,凭自己就能考上斯坦福
- 2023-04-25 501浏览
-
- 单块V100训练模型提速72倍!尤洋团队新成果获AAAI 2023杰出论文奖
- 2023-04-24 501浏览
-
- ChatGPT 真的会接管世界吗?
- 2023-04-13 501浏览
-
- VR的终极形态是「假眼」?Neuralink前联合创始人掏出新产品:科学之眼!
- 2023-04-30 501浏览
-
- 实现实时制造可视性优势有哪些?
- 2023-04-15 501浏览

