GPT-3、Stable Diffusion一起助攻,让模型听懂甲方修图需求
大家好,今天本人给大家带来文章《GPT-3、Stable Diffusion一起助攻,让模型听懂甲方修图需求》,文中内容主要涉及到,如果你对科技周边方面的知识点感兴趣,那就请各位朋友继续看下去吧~希望能真正帮到你们,谢谢!
扩散模型大火之后,很多人将注意力放到了如何利用更有效的 prompt 生成自己想要的图像。在对于一些 AI 作画模型的不断尝试中,人们甚至总结出了让 AI 好好出图的关键词经验:

也就是说,如果掌握了正确的 AI 话术,作图质量提升效果将非常明显(参见:《「羊驼打篮球」怎么画?有人花了 13 美元逼 DALL·E 2 亮出真本事 》)。
此外,还有一部分研究者在往另一个方向努力:如何动动嘴皮子就把一幅画改成我们想要的样子。
前段时间,我们报道了一项来自谷歌研究院等机构的研究。只要说出你想让一幅图变成什么样子,它就能基本满足你的要求,生成照片级的图像,例如让一只小狗坐下:

这里给模型的输入描述是「一只坐下的狗」,但是按照人们的日常交流习惯,最自然的描述应该是「让这只狗坐下」。有研究者认为这是一个应该优化的问题,模型应该更符合人类的语言习惯。
最近,来自 UC 伯克利的研究团队提出了一种根据人类指令编辑图像的新方法 InstructPix2Pix:给定输入图像和告诉模型要做什么的文本描述,模型就能遵循描述指令来编辑图像。

论文地址:https://arxiv.org/pdf/2211.09800.pdf
例如,要把画中的向日葵换成玫瑰,你只需要直接对模型说「把向日葵换成玫瑰」:

为了获得训练数据,该研究将两个大型预训练模型——语言模型 (GPT-3) 和文本到图像生成模型 (Stable Diffusion) 结合起来,生成图像编辑示例的大型成对训练数据集。研究者在这个大型数据集上训练了新模型 InstructPix2Pix,并在推理时泛化到真实图像和用户编写的指令上。
InstructPix2Pix 是一个条件扩散模型,给定一个输入图像和一个编辑图像的文本指令,它就能生成编辑后的图像。该模型直接在前向传播(forward pass)中执行图像编辑,不需要任何额外的示例图像、输入 / 输出图像的完整描述或每个示例的微调,因此该模型仅需几秒就能快速编辑图像。
尽管 InstructPix2Pix 完全是在合成示例(即 GPT-3 生成的文本描述和 Stable Diffusion 生成的图像)上进行训练的,但该模型实现了对任意真实图像和人类编写文本的零样本泛化。该模型支持直观的图像编辑,包括替换对象、更改图像风格等等。

方法概览
研究者将基于指令的图像编辑视为一个监督学习问题:首先,他们生成了一个包含文本编辑指令和编辑前后图像的成对训练数据集(图 2a-c),然后在这个生成的数据集上训练了一个图像编辑扩散模型(图 2d)。尽管训练时使用的是生成的图像和编辑指令,但模型仍然能够使用人工编写的任意指令来编辑真实的图像。下图 2 是方法概述。

生成一个多模态训练数据集
在数据集生成阶段,研究者结合了一个大型语言模型(GPT-3)和一个文本转图像模型(Stable Diffusion)的能力,生成了一个包含文本编辑指令和编辑前后对应图像的多模态训练数据集。这一过程包含以下步骤:
- 微调 GPT-3 以生成文本编辑内容集合:给定一个描述图像的 prompt,生成一个描述要进行的更改的文本指令和一个描述更改后图像的 prompt(图 2a);
- 使用文本转图像模型将两个文本 prompt(即编辑之前和编辑之后)转换为一对对应的图像(图 2b)。
InstructPix2Pix
研究者使用生成的训练数据来训练一个条件扩散模型,该模型基于 Stable Diffusion 模型,可以根据书面指令编辑图像。
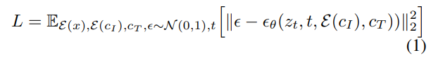
扩散模型学习通过一系列估计数据分布分数(指向高密度数据的方向)的去噪自编码器来生成数据样本。Latent diffusion 通过在预训练的具有编码器和解码器的变分自编码器的潜空间中操作来提高扩散模型的效率和质量。
对于一个图像 x,扩散过程向编码的 latent 中添加噪声,它产生一个有噪声的 latent z_t,其中噪声水平随时间步 t∈T 而增加。研究者学习一个网络,它在给定图像调节 C_I 和文本指令调节 C_T 的情况下,预测添加到带噪 latent z_t 中的噪声。研究者将以下 latent 扩散目标最小化:

此前,曾有研究(Wang et al.)表明,对于图像翻译(image translation)任务,尤其是在成对训练数据有限的情况下,微调大型图像扩散模型优于从头训练。因此在新研究中,作者使用预训练的 Stable Diffusion checkpoint 初始化模型的权重,利用其强大的文本到图像生成能力。
为了支持图像调节,研究人员向第一个卷积层添加额外的输入通道,连接 z_t 和
。扩散模型的所有可用权重都从预训练的 checkpoint 初始化,同时在新添加的输入通道上运行的权重被初始化为零。作者在这里重用最初用于 caption 的相同的文本调节机制,而没有将文本编辑指令 c_T 作为输入。
实验结果
在下面这些图中,作者展示了他们新模型的图像编辑结果。这些结果针对一组不同的真实照片和艺术品。新模型成功地执行了许多具有挑战性的编辑,包括替换对象、改变季节和天气、替换背景、修改材料属性、转换艺术媒介等等。




研究人员将新方法与最近的一些技术,如 SDEdit、Text2Live 等进行了比较。新模型遵循编辑图像的说明,而其他方法(包括基准方法)需要对图像或编辑层进行描述。因此在比较时,作者对后者提供「编辑后」的文本标注代替编辑说明。作者还把新方法和 SDEdit 进行定量比较,使用两个衡量图像一致性和编辑质量的指标。最后,作者展示了生成训练数据的大小和质量如何影响模型性能的消融结果。


今天关于《GPT-3、Stable Diffusion一起助攻,让模型听懂甲方修图需求》的内容就介绍到这里了,是不是学起来一目了然!想要了解更多关于AI,模型的内容请关注golang学习网公众号!
5+ 适用于 Windows 11 的最佳蓝牙适配器
- 上一篇
- 5+ 适用于 Windows 11 的最佳蓝牙适配器
- 下一篇
- Apple 向开发者播种 iOS 15.4 和 iPadOS 15.4 的第三个 Beta
-
- 科技周边 · 人工智能 | 2分钟前 |
- DeepSeek-V3显存需求及部署配置详解
- 120浏览 收藏
-
- 科技周边 · 人工智能 | 12分钟前 |
- Gemini 1.5长上下文处理技巧与选型避坑
- 126浏览 收藏
-
- 科技周边 · 人工智能 | 25分钟前 |
- Kimi一键搜全网资讯技巧分享
- 276浏览 收藏
-
- 科技周边 · 人工智能 | 32分钟前 |
- 长文本模型为何更贵?如何平衡成本与效率?
- 203浏览 收藏
-
- 科技周边 · 人工智能 | 36分钟前 | 讯飞火星AI
- 讯飞火星AI提案撰写技巧与创新设想生成
- 176浏览 收藏
-
- 科技周边 · 人工智能 | 53分钟前 |
- 可伶AI换声音方法及音色切换教程
- 361浏览 收藏
-
- 科技周边 · 人工智能 | 56分钟前 |
- GitHub Copilot代码自动补全怎么用|新手教程
- 175浏览 收藏
-
- 科技周边 · 人工智能 | 59分钟前 |
- Tofai添加动态特效教程,一键让图片动起来
- 400浏览 收藏
-
- 科技周边 · 人工智能 | 1小时前 | Workbuddy
- WorkBuddy远程启动杀毒扫描指南
- 491浏览 收藏
-
- 科技周边 · 人工智能 | 1小时前 |
- MIDI转视觉动画,AI音乐创作新工具
- 175浏览 收藏
-
- 科技周边 · 人工智能 | 1小时前 |
- Claude解析:如何撰写逻辑严谨的金融投资建议书
- 259浏览 收藏
-
- 科技周边 · 人工智能 | 2小时前 |
- Kimi如何分析PDF图片\_文档识图解析教程
- 219浏览 收藏
-
- 前端进阶之JavaScript设计模式
- 设计模式是开发人员在软件开发过程中面临一般问题时的解决方案,代表了最佳的实践。本课程的主打内容包括JS常见设计模式以及具体应用场景,打造一站式知识长龙服务,适合有JS基础的同学学习。
- 543次学习
-
- GO语言核心编程课程
- 本课程采用真实案例,全面具体可落地,从理论到实践,一步一步将GO核心编程技术、编程思想、底层实现融会贯通,使学习者贴近时代脉搏,做IT互联网时代的弄潮儿。
- 516次学习
-
- 简单聊聊mysql8与网络通信
- 如有问题加微信:Le-studyg;在课程中,我们将首先介绍MySQL8的新特性,包括性能优化、安全增强、新数据类型等,帮助学生快速熟悉MySQL8的最新功能。接着,我们将深入解析MySQL的网络通信机制,包括协议、连接管理、数据传输等,让
- 500次学习
-
- JavaScript正则表达式基础与实战
- 在任何一门编程语言中,正则表达式,都是一项重要的知识,它提供了高效的字符串匹配与捕获机制,可以极大的简化程序设计。
- 487次学习
-
- 从零制作响应式网站—Grid布局
- 本系列教程将展示从零制作一个假想的网络科技公司官网,分为导航,轮播,关于我们,成功案例,服务流程,团队介绍,数据部分,公司动态,底部信息等内容区块。网站整体采用CSSGrid布局,支持响应式,有流畅过渡和展现动画。
- 485次学习
-
- ChatExcel酷表
- ChatExcel酷表是由北京大学团队打造的Excel聊天机器人,用自然语言操控表格,简化数据处理,告别繁琐操作,提升工作效率!适用于学生、上班族及政府人员。
- 4251次使用
-
- Any绘本
- 探索Any绘本(anypicturebook.com/zh),一款开源免费的AI绘本创作工具,基于Google Gemini与Flux AI模型,让您轻松创作个性化绘本。适用于家庭、教育、创作等多种场景,零门槛,高自由度,技术透明,本地可控。
- 4611次使用
-
- 可赞AI
- 可赞AI,AI驱动的办公可视化智能工具,助您轻松实现文本与可视化元素高效转化。无论是智能文档生成、多格式文本解析,还是一键生成专业图表、脑图、知识卡片,可赞AI都能让信息处理更清晰高效。覆盖数据汇报、会议纪要、内容营销等全场景,大幅提升办公效率,降低专业门槛,是您提升工作效率的得力助手。
- 4496次使用
-
- 星月写作
- 星月写作是国内首款聚焦中文网络小说创作的AI辅助工具,解决网文作者从构思到变现的全流程痛点。AI扫榜、专属模板、全链路适配,助力新人快速上手,资深作者效率倍增。
- 6181次使用
-
- MagicLight
- MagicLight.ai是全球首款叙事驱动型AI动画视频创作平台,专注于解决从故事想法到完整动画的全流程痛点。它通过自研AI模型,保障角色、风格、场景高度一致性,让零动画经验者也能高效产出专业级叙事内容。广泛适用于独立创作者、动画工作室、教育机构及企业营销,助您轻松实现创意落地与商业化。
- 4870次使用
-
- GPT-4王者加冕!读图做题性能炸天,凭自己就能考上斯坦福
- 2023-04-25 501浏览
-
- 单块V100训练模型提速72倍!尤洋团队新成果获AAAI 2023杰出论文奖
- 2023-04-24 501浏览
-
- ChatGPT 真的会接管世界吗?
- 2023-04-13 501浏览
-
- VR的终极形态是「假眼」?Neuralink前联合创始人掏出新产品:科学之眼!
- 2023-04-30 501浏览
-
- 实现实时制造可视性优势有哪些?
- 2023-04-15 501浏览

