首个在ImageNet上精度超过80%的二值神经网络BNext问世,-1与+1的五年辛路历程
哈喽!今天心血来潮给大家带来了《首个在ImageNet上精度超过80%的二值神经网络BNext问世,-1与+1的五年辛路历程》,想必大家应该对科技周边都不陌生吧,那么阅读本文就都不会很困难,以下内容主要涉及到,若是你正在学习科技周边,千万别错过这篇文章~希望能帮助到你!
两年前,当 MeliusNet 问世时,机器之心曾发表过一篇技术文章《第一次胜过 MobileNet 的二值神经网络,-1 与 + 1 的三年艰苦跋涉》,回顾了 BNN 的发展历程。彼时,依靠早期 BNN 工作 XNOR-Net 起家的 XNOR.AI 被苹果公司收购,大家曾畅想过这种低功耗、高效能的二值神经网络技术会不会即将开启广阔的应用前景。
然而,过去的两年时间,我们很难从对技术严格保密的苹果公司获得关于 BNN 技术应用的更多信息,而不论是学界和业界也未出现其他特别亮眼的应用案例。另一方面,随着终端设备数量的暴涨,边缘 AI 应用和市场正在迅速增长: 预计到 2030 年将产生 500 到 1250 亿台边缘设备,边缘计算市场将暴涨到 600 亿美元规模。这其中有几个目前热门的应用领域:AIoT、元宇宙和机器人终端设备。相关业界正在加速发力技术落地,与此同时 AI 能力已经嵌入到以上领域的诸多核心技术环节中,如 AI 技术在三维重建、视频压缩以及机器人实时感知场景中的广泛应用。在这样的背景下,业界对基于边缘的高能效、低功耗 AI 技术、软件工具以及硬件加速的需求变的日益迫切。
目前,制约 BNN 应用的瓶颈主要有两方面:首先,无法有效缩小和传统 32-bit 深度学习模型的精度差距;第二则是缺乏在不同硬件上的高性能算法实现。机器学习论文上的加速比通常无法体现在你正在使用的 GPU 或 CPU 上。第二个原因的产生可能正是来自于第一个原因,BNN 无法达到令人满意的精度,因此无法吸引来自系统和硬件加速、优化领域的从业者的广泛关注。而机器学习算法社区通常无法自己开发高性能的硬件代码。因此,想要同时获得高精度和强加速效果,BNN 应用或加速器无疑需要来自这两个不同领域的开发者进行协作。
BNN 为什么对于计算和内存高效
举个例子,Meta 推荐系统模型 DLRM 使用 32-bit 浮点数来储存权重和激活参数,它的模型大小约为 2.2GB。而一个少量精度下降 (
BNN 的第二个显著的优势是计算方式极度高效。它只用 1bit 也就是两种 state 来表示变量。这意味着所有运算只靠位运算就能完成,借助与门、异或门等运算,可以替代传统乘加运算。位运算是电路中的基础单元,熟悉电路设计的同学应该明白,有效减小乘加计算单元的面积以及减少片外访存是降低功耗的最有效手段,而 BNN 从内存和计算两个方面都具备得天独厚的优势,WRPN[1]展示了在定制化 FPGA 和 ASIC 上,BNN 对比全精度可获得 1000 倍的功耗节省。更近期的工作 BoolNet [2]展示了一种 BNN 结构设计可以几乎不使用浮点运算并保持纯 binary 的信息流,它在 ASIC 仿真中获得极佳的功耗、精度权衡。
第一个精度上 80% 的 BNN 是什么样子的?
来自德国 Hasso Plattner 计算机系统工程研究院的 Nianhui Guo 和 Haojin Yang 等研究者提出了 BNext 模型,成为第一个在 ImageNet 数据集上 top1 分类准确率突破 80% 的 BNN:

图 1 基于 ImageNet 的 SOTA BNN 性能对比

论文地址:https://arxiv.org/pdf/2211.12933.pdf
作者首先基于 Loss Landscape 可视化的形式深入对比了当前主流 BNN 模型同 32-bit 模型在优化友好度方面的巨大差异 (图 2),提出 BNN 的粗糙 Loss Landscape 是阻碍当前研究社区进一步探索 BNN 性能边界的的主要原因之一。
基于这一假设,作者尝试利用新颖的结构设计对 BNN 模型优化友好度进行提升,通过构造具备更平滑 Loss Landscape 的二值神经网络架构以降低对高精度 BNN 模型的优化难度。具体而言,作者强调模型二值化大幅度限制了可用于前向传播的特征模式,促使二值卷积仅能在有限的特征空间进行信息提取与处理,而这种受限前馈传播模式带来的优化困难可以通过两个层面的结构设计得到有效缓解:(1) 构造灵活的邻接卷积特征校准模块以提高模型对二值表征的适应性;(2) 探索高效的旁路结构以缓解前馈传播中由于特征二值化带来的信息瓶颈问题。

图 2 针对流行 BNN 架构的 Loss Landscape 可视化对比(2D 等高线视角)
基于上述分析,作者提出了 BNext,首个在 ImageNe 图像分类任务达到 > 80% 准确率的二值神经网络架构,具体的网络架构设计如图 4 所示。作者首先设计了基于 Info-Recoupling (Info-RCP) 模块的基础二值处理单元。针对邻接卷积间的信息瓶颈问题,通过引入额外的 Batch Normalization 层与 PReLU 层完成对二值卷积输出分布的初步校准设计。接着作者构造了基于逆向残差结构与 Squeeze-And-Expand 分支结构的二次动态分布校准设计。如图 3 所示,相比传统的 Real2Binary 校准结构,额外的逆向残差结构充分考虑了二值单元输入与输出间的特征差距,避免了完全基于输入信息的次优分布校准。这种双阶段的动态分布校准可以有效降低后续邻接二值卷积层的特征提取难度。

图 3 卷积模块设计对比图
其次,作者提出结合 Element-wise Attention (ELM-Attention) 的增强二值 Basic Block 模块。作者通过堆叠多个 Info-RCP 模块完成 Basic Block 的基础搭建,并对每个 Info-RCP 模块引入额外的 Batch Normalization 和连续的残差连接以进一步缓解不同 Info-RCP 模块间的信息瓶颈问题。基于旁路结构对二值模型优化影响的分析, 作者提出使用 Element-wise 矩阵乘法分支对每个 Basic Block 的首个 3x3 Info-RCP 模块输出进行分布校准。额外的空域注意力加权机制可以帮助 Basic Block 以更灵活的机制进行前向信息融合与分发,改善模型 Loss Landscape 平滑度。如图 2.e 和图 2.f 所示,所提出的模块设计可以显著改善模型 Loss Landscape 平滑度。

图 4 BNext 架构设计。"Processor 代表 Info-RCP 模块,"BN "代表 Batch Normalization 层,"C "表示模型基本宽度,"N "和"M " 表示模型不同阶段的深度比例参数。

Table 1 BNext 系列。“Q”表示输入层、SEbranch以及输出层量化设置。
作者将以上结构设计同流行的MoboleNetv1基准模型结合,并通过改变模型深度与宽度的比例系数构建了四种不同复杂度的 BNext 模型系列 (Table 1):BNex-Tiny,BNext-Small,BNext-Middle,BNext-Large。
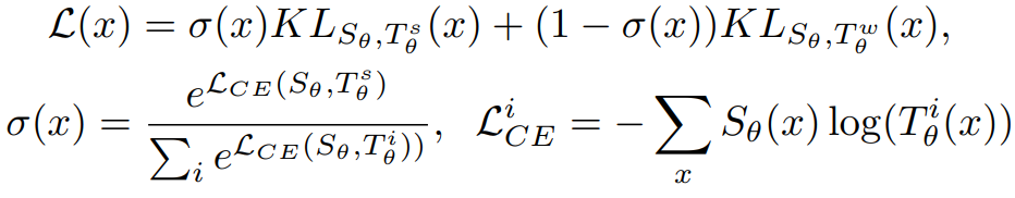
由于相对粗糙的 Loss Landscape,当前二值模型优化普遍依赖于 knowledge distillation 等方法提供的更精细监督信息,以此摆脱广泛存在的次优收敛。BNext作者首次考虑了优化过程中teache模型与二值student模型预测分布巨大差距可能带来的影响,,指出单纯基于模型精度进行的 teacher 选择会带来反直觉的 student 过拟合结果。为解决这一问题,作者提出了 knowledge-complexity (KC) 作为新的 teacher-selection 度量标准,同时考虑 teacher 模型的输出软标签有效性与 teacher 模型参数复杂度之间的关联性。

如图 5 所示,基于 knowledge complexity,作者对流行全精度模型系列如 ResNet、EfficientNet、ConvNext 进行了复杂度度量与排序,结合 BNext-T 作为 student 模型初步验证了该度量标准的有效性,并基于排序结果用于后续实验中的 knowledge distillation 模型选择。

图 5 反直觉的过拟合效应和不同教师选择下的知识复杂性影响
在此基础上,论文作者进一步考虑了强 teacher 优化过程中由于早期预测分布差距造成的优化问题,提出 Diversified Consecutive KD。如下所示,作者通过强弱 teachers 组合的知识集成方法对优化过程中的目标函数进行调制。在此基础上,进一步引入 knowledge-boosting 策略,利用多个预定义候选 teachers 在训练过程中对弱 teacher 进行均匀切换,将组合知识复杂度按照从弱到强的顺序进行课程式引导,降低预测分布差异性带来的优化干扰。

在优化技巧方面,BNext 作者充分考虑了现代高精度模型优化中数据增强可能带来的增益,并提供了首个针对现有流行数据增强策略在二值模型优化中可能带来影响的分析结果,实验结果表明,现有数据增强方法并不完全适用于二值模型优化,这为后续研究中特定于二值模型优化的数据增强策略设计提供了思路。
基于所提出架构设计与优化方法,作者在大规模图像分类任务 ImageNet-1k 进行方法验证。实验结果如图 6 所示。

图 6 基于 ImageNet-1k 的 SOTA BNN 方法比较。
相比于现有方法,BNext-L 在 ImageNet-1k 上首次将二值模型的性能边界推动至 80.57%,对大多数现有方法实现了 10%+ 的精度超越。相比于来自 Google 的 PokeBNN, BNext-M 在相近参数量前提下要高出 0.7%,作者同时强调,PokeBNN 的优化依赖于更高的计算资源,如高达 8192 的 Bacth Size 以及 720 个 Epoch 的 TPU 计算优化,而 BNext-L 仅仅以常规 Batch Size 512 迭代了 512 个 Epoch,这反映了 BNext 结构设计与优化方法的有效性。在基于相同基准模型的比较中,BNext-T 与 BNext-18 都有着大幅度的精度提升。在同全精度模型如 RegNetY-4G (80.0%)等的对比中,BNext-L 在展现相匹配的视觉表征学习能力同时,仅仅使用了有限的参数空间与计算复杂度,这为在边缘端部署基于二值模型特征提取器的下游视觉任务模型提供了丰富想象空间。
What next?
BNext 作者在论文中提到的,他们和合作者们正积极在 GPU 硬件上实现并验证这个高精度 BNN 架构的运行效率,未来计划扩展到其他更广泛的硬件平台上。然而在编者看来,让社区对 BNN 重拾信心,被更多系统和硬件领域的极客关注到,也许这个工作更重要的意义在于重塑了 BNN 应用潜力的想象空间。从长远来看,随着越来越多的应用从以云为中心的计算范式向去中心化的边缘计算迁移,未来海量的边缘设备需要更加高效的 AI 技术、软件框架和硬件计算平台。而目前最主流的 AI 模型和计算架构都不是为边缘场景设计、优化的。因此,在找到边缘 AI 的答案之前,相信 BNN 始终都会是一个充满技术挑战又蕴涵巨大潜力的重要选项。
本篇关于《首个在ImageNet上精度超过80%的二值神经网络BNext问世,-1与+1的五年辛路历程》的介绍就到此结束啦,但是学无止境,想要了解学习更多关于科技周边的相关知识,请关注golang学习网公众号!
Windows 11:重新设计的本机应用程序现在可供更多用户使用
- 上一篇
- Windows 11:重新设计的本机应用程序现在可供更多用户使用
- 下一篇
- Windows 11 可选更新 (KB5014019) 将 Windows Spotlight 带到桌面
-
- 科技周边 · 人工智能 | 9分钟前 | 人工智能
- 微信情感陪伴:OpenClaw人设聊天体验
- 420浏览 收藏
-
- 科技周边 · 人工智能 | 33分钟前 |
- 月之暗面申请KimiClaw商标,或推硬件新品
- 431浏览 收藏
-
- 科技周边 · 人工智能 | 33分钟前 |
- 一键直达ChatGPT官网入口
- 330浏览 收藏
-
- 科技周边 · 人工智能 | 39分钟前 | 骡子快跑
- 骡子快跑能打卡吗_行为追踪设置方法
- 224浏览 收藏
-
- 科技周边 · 人工智能 | 8小时前 |
- 高效短视频脚本创作:通义千问打造多版本创意大纲
- 152浏览 收藏
-
- 科技周边 · 人工智能 | 8小时前 | Midjourney
- Midjourney生成校园恋爱樱花特效场景
- 435浏览 收藏
-
- 科技周边 · 人工智能 | 8小时前 |
- Minimax视频违规申诉指南
- 394浏览 收藏
-
- 科技周边 · 人工智能 | 9小时前 |
- Figma AI重命名需联网?揭秘云端数据处理流程
- 479浏览 收藏
-
- 科技周边 · 人工智能 | 9小时前 |
- Recraft AI 如何批量生成图标?设计师必备效率神器
- 232浏览 收藏
-
- 科技周边 · 人工智能 | 9小时前 | 千问AI购物助手
- 千问AI购物助手秒杀攻略
- 407浏览 收藏
-
- 科技周边 · 人工智能 | 9小时前 | 豆包AI
- 豆包AI助你规划播客选题与内容结构
- 482浏览 收藏
-
- 前端进阶之JavaScript设计模式
- 设计模式是开发人员在软件开发过程中面临一般问题时的解决方案,代表了最佳的实践。本课程的主打内容包括JS常见设计模式以及具体应用场景,打造一站式知识长龙服务,适合有JS基础的同学学习。
- 543次学习
-
- GO语言核心编程课程
- 本课程采用真实案例,全面具体可落地,从理论到实践,一步一步将GO核心编程技术、编程思想、底层实现融会贯通,使学习者贴近时代脉搏,做IT互联网时代的弄潮儿。
- 516次学习
-
- 简单聊聊mysql8与网络通信
- 如有问题加微信:Le-studyg;在课程中,我们将首先介绍MySQL8的新特性,包括性能优化、安全增强、新数据类型等,帮助学生快速熟悉MySQL8的最新功能。接着,我们将深入解析MySQL的网络通信机制,包括协议、连接管理、数据传输等,让
- 500次学习
-
- JavaScript正则表达式基础与实战
- 在任何一门编程语言中,正则表达式,都是一项重要的知识,它提供了高效的字符串匹配与捕获机制,可以极大的简化程序设计。
- 487次学习
-
- 从零制作响应式网站—Grid布局
- 本系列教程将展示从零制作一个假想的网络科技公司官网,分为导航,轮播,关于我们,成功案例,服务流程,团队介绍,数据部分,公司动态,底部信息等内容区块。网站整体采用CSSGrid布局,支持响应式,有流畅过渡和展现动画。
- 485次学习
-
- ChatExcel酷表
- ChatExcel酷表是由北京大学团队打造的Excel聊天机器人,用自然语言操控表格,简化数据处理,告别繁琐操作,提升工作效率!适用于学生、上班族及政府人员。
- 4524次使用
-
- Any绘本
- 探索Any绘本(anypicturebook.com/zh),一款开源免费的AI绘本创作工具,基于Google Gemini与Flux AI模型,让您轻松创作个性化绘本。适用于家庭、教育、创作等多种场景,零门槛,高自由度,技术透明,本地可控。
- 4875次使用
-
- 可赞AI
- 可赞AI,AI驱动的办公可视化智能工具,助您轻松实现文本与可视化元素高效转化。无论是智能文档生成、多格式文本解析,还是一键生成专业图表、脑图、知识卡片,可赞AI都能让信息处理更清晰高效。覆盖数据汇报、会议纪要、内容营销等全场景,大幅提升办公效率,降低专业门槛,是您提升工作效率的得力助手。
- 4749次使用
-
- 星月写作
- 星月写作是国内首款聚焦中文网络小说创作的AI辅助工具,解决网文作者从构思到变现的全流程痛点。AI扫榜、专属模板、全链路适配,助力新人快速上手,资深作者效率倍增。
- 6624次使用
-
- MagicLight
- MagicLight.ai是全球首款叙事驱动型AI动画视频创作平台,专注于解决从故事想法到完整动画的全流程痛点。它通过自研AI模型,保障角色、风格、场景高度一致性,让零动画经验者也能高效产出专业级叙事内容。广泛适用于独立创作者、动画工作室、教育机构及企业营销,助您轻松实现创意落地与商业化。
- 5113次使用
-
- GPT-4王者加冕!读图做题性能炸天,凭自己就能考上斯坦福
- 2023-04-25 501浏览
-
- 单块V100训练模型提速72倍!尤洋团队新成果获AAAI 2023杰出论文奖
- 2023-04-24 501浏览
-
- ChatGPT 真的会接管世界吗?
- 2023-04-13 501浏览
-
- VR的终极形态是「假眼」?Neuralink前联合创始人掏出新产品:科学之眼!
- 2023-04-30 501浏览
-
- 实现实时制造可视性优势有哪些?
- 2023-04-15 501浏览

