如何在GPU资源受限情况下微调超大模型
在科技周边实战开发的过程中,我们经常会遇到一些这样那样的问题,然后要卡好半天,等问题解决了才发现原来一些细节知识点还是没有掌握好。今天golang学习网就整理分享《如何在GPU资源受限情况下微调超大模型》,聊聊,希望可以帮助到正在努力赚钱的你。

提问:模型大小超过GPU 容量怎么办?
本文的灵感来自于Yandex数据分析学院教授的“高效深度学习系统”课程。
预备知识:假设读者已经了解神经网络的前传递和后向传递的工作原理,这对理解本文内容至关重要。文中使用PyTorch作为框架。
开始吧!
当试图使用大型模型(即aka gpt-2-xl),它带有 5亿多个参数,而你的GPU 资源受限,无法将它安装到GPU上运行,或者在模型训练期间无法实现论文中定义的批大小,此时该怎么办?也许可以选择放弃,使用一个更轻量级版本的模型,或者减小训练的批大小,这样的话,便无法获得论文中描述的训练结果。
但是,有一些技术可以帮助解决上述问题。
下面来讨论一些方法,即如何利用这些方法来微调带有15亿个参数的GPT-2-XL模型。
问题的核心
首先,来了解一下将模型加载到GPU中所需GPU内存问题的实质。
假设模型具有 个FP32(32位浮点)参数,需要在GPU上训练这个模型,例如,运行Adam优化器。
通过计算,结果令人震惊。

假设已有一块带有12 GB内存的NVIDIA GeForce RTX 3060。首先, 1e9个FP32参数约占4 GB的GPU内存。
同样,对于梯度,也将保留相同数量的内存。所以,总共已经保留了8 GB的内存,由于还没有开始训练,也没有加载优化器,加载优化器也同样需要一定数量的内存。Adam优化器需要为每个参数存储第一备份和第二备份,即需要8 GB额外内存。算下来,必须有大约16 GB的GPU内存,才能正确地将模型加载到GPU上,在本文的例子中,GPU只有12 GB的空闲内存。看起来很不妙,对吧?
然而,可以通过一些方法来尝试解决这个问题,以下是相关内容:
- 梯度积累/微批量;
- 梯度检查点;
- 模型并行训练;
- 管道作业;
- 张量并行化
- 混合精度训练;
- 内存卸载;
- 优化器8位量化。
接下来,将详细解读这些技术。
开始

提问:模型比GPU容量大,怎么办?
- 简单模式:无法适配批大小为1
- 专业模式:参数也没办法适配
概述
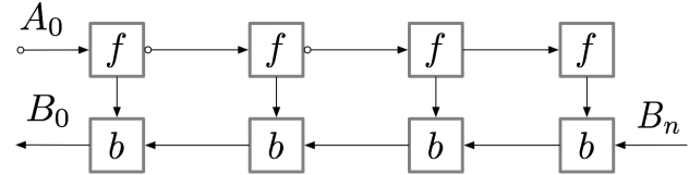
如果模型大于GPU容量,即便将批大小设为1都不够,那该怎么办呢?有一个解决方案,即设置梯度检查点,下面来看看这个概念。对于一个简单的包含n层的前馈神经网络来说,梯度的计算图如下:

神经网络层的激活对应于用f标记的节点,在正向传递期间,按顺序对所有这些节点进行计算。对应于这些层的激活和参数的损失梯度用b标记的节点表示。在反向传递期间,所有这些节点都以相反的顺序进行计算。f个节点的计算结果用于计算b个节点,因此所有f个节点在向前传递后都保存在内存中。只有当反向传播进展到足够计算出f节点的所有依赖关系时,它才能从内存中擦除。这意味着:简单的反向传播所需的内存随神经网络层数n的变化呈线性增长。
下面是这些节点的计算顺序,紫色阴影圆圈表示在给定时间里需要将哪个节点保存到内存之中。

梯度检查点
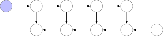
如上所述的简单反向传播在计算方面是最优的:它只计算每个节点一次。但是,如果重新计算节点,可能会节省大量内存。例如,可以简单地重新计算每个节点。执行的顺序和所使用的内存如下图所示:

这种策略在内存方面是最优的。但是,请注意,节点计算的数量进行了n²次缩放,而先前的缩放系数为n:每个n个节点都按n次顺序重新计算。由于计算速度较慢,这种方法并不适用于深度学习。
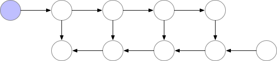
为了在内存和计算之间取得平衡,需要提出一种策略,允许重新计算节点,但次数不要太频繁。在这里使用这样一种策略:将神经网络激活的一个子集标记为检查点节点。

在本示例中,选择将第sqrt(n)个节点标记为检查点。这样,检查点节点的数量和检查点之间的节点数量都在sqrt(n)之间,这意味着:所需的内存量也按n的顺序进行了缩放。该策略所需的额外计算量相当于网络单次前向传递所需的计算量。
例程:
在学习了梯度检查点的细节之后,来看看如何在PyTorch中应用这个概念,看起来并不太难:

梯度累积/微批次

概述
深度学习模型正在越变越大,很难在GPU内存中安装这样大型的神经网络。因此,被迫在训练时选用较小的批大小,它可能导致较慢的收敛和较低的准确性。
什么是梯度累积?
在训练神经网络时,通常会将数据分批量处理,神经网络预测批处理标签,用于计算相对于实际目标的损失。接下来,执行反向传递计算出梯度,更新模型权值。梯度累积对训练过程的最后一步进行了修正:在继续下一个小批之前,保存梯度值,并将新的梯度添加到之前保存的梯度中,用这种方法取代更新每个小批的网络权重。只有在模型处理了几个小批次后,才会更新权重。梯度积累模拟了一个更大的批大小,如果想在一个小批中使用64张图像,如果批大小超过了8,则会报“CUDA内存出错…”。在这种情况下,可以使用8批图像,并在模型处理64/8=8批后更新一次权重。如果你从这8个批次中积累每一个梯度,结果将是(几乎)相同的,这样便能够执行训练啦!
例程:
没有梯度累积的标准训练环通常为:

在PyTorch中,梯度累积可以很容易地完成。模型利用accumulation_steps处理完成小批之后,便可以执行优化。还可以利用accumulation_steps根据损失函数的性质来划分运行损失:

真漂亮,对吗?当调用loss.backward() 时计算梯度,并由PyTorch累积,直到调用optimizer.zero_grad()时停止。
重点
某些网络体系结构使用专用的批处理操作,如BatchNorm,当使用相同的批大小时,结果可能会略有不同。
混合精度训练
概述
混合精度训练是指将部分或全部FP32参数转换为更小的格式,如FP16、TF16(浮点张量)或BF16(浮点字节)。
主要优势
混合精度训练的主要优势是:
- 减少内存使用;
- 性能提速(更高的算术强度或更小的通信占用);
- 使用专用硬件进行更快地计算。
目前只对第一个优势感兴趣——减少内存的使用量,来看看如何使用PyTorch模型实现它。
例程:

结果,在完成.half()操作之后,模型变小了2倍。将模型转换为不同的格式(即BF16,TF16)后的缩放损失,将在后续的文章中讨论。有些操作在FP16中是无法完成的,如Softmax。PyTorch可利用torch.autocast 来处理这些特殊情况。
8位优化器
增加模型尺寸是获得更佳性能的有效途径。然而,训练大模型时需要存储模型、梯度和优化器的状态(例如,Adam的指数平滑和及先前梯度的平方和),所有这些都存储在数量有限的可用内存之中。
将32位优化器降到8位优化器,将数值的范围从2³²减少到仅2⁸=256,会对优化器预留的内存数量产生巨大的影响。
研究人员提出了一种新的8位Adam优化器,论文作者在文中这么说: “它将32位的性能维持到部分原始内存中”。
8位优化器有三个组成部分:(1)块级量化,隔离异常值,将误差均匀地分配给每一个比特;(2)动态量化,高精度地量化小值和大值;(3)稳定的嵌入层,以提高词嵌入优化模型的稳定性。
有了这些组件,可直接使用8位状态执行优化。将8位优化器状态量化为32位,执行更新,然后再将状态量化为8位进行存储。在寄存器中逐元素进行8位到32位的转换,无需慢速复制到GPU内存或额外的临时内存中执行量化和去量化。对于GPU来说,这意味着8位优化器要快于常规的32位优化器。
来看看使用8位Adam之后,鼓舞人心的结果:

可以看出,使用量化的Adam可以节省大约8.5 GB的GPU内存,看起来相当棒!
理解了它的可用性之后,再来看看如何用python实现它。
由Facebook提供的Bitsandbytes 包是一个围绕CUDA自定义函数的轻量级包装器,封装了 8位优化器和量化函数,利用它可以实现8位Adam的使用。
例程:

如上所述,量化优化器的使用非常简单,结果也不错。
综合上述全部方法,对GPU上的GPT-2-XL进行微调。
最后,在掌握了上述方法之后,利用这些方法来解决实际问题,对拥有15亿个参数的GPT-2-XL模型进行微调。显然,无法将它加载到12 GB内存的NVIDIA GeForce RTX 3060 GPU之上。列出可以使用的全部方法:
- 梯度检查点;
- 混合精度训练(我设了一个技巧:使用相同模型的两个样本。首先,用.half将它加载到GPU上,将其命名为gpu_model;其次,在CPU上,将其命名为cpu_model。评估好GPU模型之后,将 gpu_model的梯度加载到cpu_model中,运行optimizer.step(),将更新后的参数加载到gpu_model上);
- 使用batch_size=64,minibatch_size=4的梯度累积,需要通过 accumulation_steps来缩放损失;
- 8位Adam优化器。
把以上方法全部利用起来,查看一下代码:

利用上述所有方法之后,在GPU上实现了对16GB的GPT-2-XL模型微调,绝了!
结论
在本博中,给出了高效使用内存的关键概念,它适用于多种艰巨的任务,如上文所述。将在后续的文章中讨论其他概念。衷心感谢,拨冗阅读本文!
文中关于模型,数据,技术的知识介绍,希望对你的学习有所帮助!若是受益匪浅,那就动动鼠标收藏这篇《如何在GPU资源受限情况下微调超大模型》文章吧,也可关注golang学习网公众号了解相关技术文章。
如何在 Windows 上使用批处理脚本一次性取消固定所有任务栏图标
- 上一篇
- 如何在 Windows 上使用批处理脚本一次性取消固定所有任务栏图标
- 下一篇
- 如何修复卡在iPhone上的WhatsApp备份
-
- 科技周边 · 人工智能 | 3小时前 |
- ClaudeMythos参数量及技术解析
- 188浏览 收藏
-
- 科技周边 · 人工智能 | 3小时前 |
- Kimi总结长文档技巧分享
- 155浏览 收藏
-
- 科技周边 · 人工智能 | 3小时前 |
- FigmaAI生成界面方法全解析
- 218浏览 收藏
-
- 科技周边 · 人工智能 | 3小时前 | Workbuddy
- WorkBuddy离线任务操作指南
- 115浏览 收藏
-
- 科技周边 · 人工智能 | 3小时前 | Workbuddy
- Workbuddy提升效率技巧与常用功能详解
- 282浏览 收藏
-
- 科技周边 · 人工智能 | 4小时前 | 骡子快跑
- 骡子快跑新闻摘要生成指南
- 419浏览 收藏
-
- 科技周边 · 人工智能 | 4小时前 |
- GeminiAPI跨国加速方法解析
- 170浏览 收藏
-
- 科技周边 · 人工智能 | 4小时前 |
- 新手必看:AI视频制作全流程解析
- 262浏览 收藏
-
- 科技周边 · 人工智能 | 4小时前 |
- Gemini万能模板10个,直接可用!
- 467浏览 收藏
-
- 科技周边 · 人工智能 | 4小时前 |
- 豆包2025新Prompt:生成带情绪短剧剧本攻略
- 443浏览 收藏
-
- 科技周边 · 人工智能 | 4小时前 |
- Gemini脚本怎么写?流程详解!
- 383浏览 收藏
-
- 科技周边 · 人工智能 | 5小时前 |
- AI自动生成单元测试方法详解
- 488浏览 收藏
-
- 前端进阶之JavaScript设计模式
- 设计模式是开发人员在软件开发过程中面临一般问题时的解决方案,代表了最佳的实践。本课程的主打内容包括JS常见设计模式以及具体应用场景,打造一站式知识长龙服务,适合有JS基础的同学学习。
- 543次学习
-
- GO语言核心编程课程
- 本课程采用真实案例,全面具体可落地,从理论到实践,一步一步将GO核心编程技术、编程思想、底层实现融会贯通,使学习者贴近时代脉搏,做IT互联网时代的弄潮儿。
- 516次学习
-
- 简单聊聊mysql8与网络通信
- 如有问题加微信:Le-studyg;在课程中,我们将首先介绍MySQL8的新特性,包括性能优化、安全增强、新数据类型等,帮助学生快速熟悉MySQL8的最新功能。接着,我们将深入解析MySQL的网络通信机制,包括协议、连接管理、数据传输等,让
- 500次学习
-
- JavaScript正则表达式基础与实战
- 在任何一门编程语言中,正则表达式,都是一项重要的知识,它提供了高效的字符串匹配与捕获机制,可以极大的简化程序设计。
- 487次学习
-
- 从零制作响应式网站—Grid布局
- 本系列教程将展示从零制作一个假想的网络科技公司官网,分为导航,轮播,关于我们,成功案例,服务流程,团队介绍,数据部分,公司动态,底部信息等内容区块。网站整体采用CSSGrid布局,支持响应式,有流畅过渡和展现动画。
- 485次学习
-
- ChatExcel酷表
- ChatExcel酷表是由北京大学团队打造的Excel聊天机器人,用自然语言操控表格,简化数据处理,告别繁琐操作,提升工作效率!适用于学生、上班族及政府人员。
- 4264次使用
-
- Any绘本
- 探索Any绘本(anypicturebook.com/zh),一款开源免费的AI绘本创作工具,基于Google Gemini与Flux AI模型,让您轻松创作个性化绘本。适用于家庭、教育、创作等多种场景,零门槛,高自由度,技术透明,本地可控。
- 4614次使用
-
- 可赞AI
- 可赞AI,AI驱动的办公可视化智能工具,助您轻松实现文本与可视化元素高效转化。无论是智能文档生成、多格式文本解析,还是一键生成专业图表、脑图、知识卡片,可赞AI都能让信息处理更清晰高效。覆盖数据汇报、会议纪要、内容营销等全场景,大幅提升办公效率,降低专业门槛,是您提升工作效率的得力助手。
- 4499次使用
-
- 星月写作
- 星月写作是国内首款聚焦中文网络小说创作的AI辅助工具,解决网文作者从构思到变现的全流程痛点。AI扫榜、专属模板、全链路适配,助力新人快速上手,资深作者效率倍增。
- 6194次使用
-
- MagicLight
- MagicLight.ai是全球首款叙事驱动型AI动画视频创作平台,专注于解决从故事想法到完整动画的全流程痛点。它通过自研AI模型,保障角色、风格、场景高度一致性,让零动画经验者也能高效产出专业级叙事内容。广泛适用于独立创作者、动画工作室、教育机构及企业营销,助您轻松实现创意落地与商业化。
- 4873次使用
-
- GPT-4王者加冕!读图做题性能炸天,凭自己就能考上斯坦福
- 2023-04-25 501浏览
-
- 单块V100训练模型提速72倍!尤洋团队新成果获AAAI 2023杰出论文奖
- 2023-04-24 501浏览
-
- ChatGPT 真的会接管世界吗?
- 2023-04-13 501浏览
-
- VR的终极形态是「假眼」?Neuralink前联合创始人掏出新产品:科学之眼!
- 2023-04-30 501浏览
-
- 实现实时制造可视性优势有哪些?
- 2023-04-15 501浏览

