如何在 Excel 中创建随机数生成器
来源:云东方
2023-04-22 13:21:24
0浏览
收藏
大家好,我们又见面了啊~本文《如何在 Excel 中创建随机数生成器》的内容中将会涉及到等等。如果你正在学习文章相关知识,欢迎关注我,以后会给大家带来更多文章相关文章,希望我们能一起进步!下面就开始本文的正式内容~
如何使用 RANDBETWEEN 在 Excel 中生成随机数
如果要生成特定范围内的随机数,RANDBETWEEN 函数是一种快速简便的方法。这允许您在您选择的任何两个值之间生成随机整数。
使用 RANDBETWEEN 在 Excel 中生成随机数:
- 单击您希望出现第一个随机数的单元格。
- 键入=RANDBETWEEN(1,500)将“1”替换为您要生成的最低随机数,将“500”替换为最高随机数。

- 按Enter 键,将生成该范围内的随机数。

- 单击并按住单元格右下角的小方块,然后向下拖动以使用相同的公式填充任意数量的单元格。

- 每次您在 Excel 中进行更改时,这些数字都会重新生成。如果要保持它们相同,请将公式复制并粘贴为 values。

如何使用 RAND 在 Excel 中生成随机数
您也可以使用RAND 函数来获得相同的结果,尽管如果您想生成整数,这需要更多的努力。
使用 RAND 在 Excel 中生成随机数:
- 单击要显示第一个数字的单元格。
- 键入=RAND()。

- 按Enter 键,生成一个介于 0 和 1 之间的随机小数。

- 如果要将其转换为整数,请将公式更改为=ROUND(RAND()*100,0)。

- 这将通过将小数乘以 100 并将其四舍五入到最接近的整数来生成 1 到 100 之间的随机数。您可以将“100”更改为您希望的任何值。

- 要以相同的方式创建更多随机数,请单击并按住单元格右下角的小方块并将其向下拖动。

- 每当在 Excel 中处理新公式时,都会重新计算随机数。要保留一组特定的值,请将公式复制并粘贴为 values。

如何在 Excel 中生成唯一的随机数
由于 RAND 和 RANDBETWEEN 生成数字的方式,您可能会发现在随机数列表中多次获得相同的值。这是可以预料的;如果这些数字是真正随机的,那么如果您生成了足够多的值,则可能会出现重复的值。
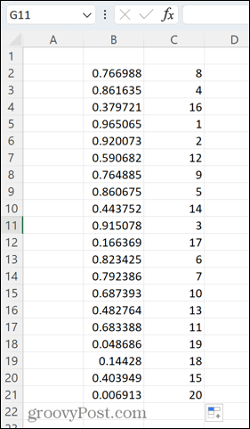
但是,如果您想随机化一组特定的值,则可以这样做。例如,您可能希望将数字 1 到 20 随机排列。
在 Excel 中生成唯一的随机数:
- 单击要生成第一个随机数的单元格。
- 键入=RAND()并按Enter。

- 单击并按住单元格右下角的小方块。

- 向下拖动以创建 20 个随机值。

- 在第一个随机值旁边的单元格中,键入=RANK(B2, B$2:B$21)其中“B”是您创建随机值的列,“2”是第一个值的行,“21”是最后一个值的行。

- 按Enter 键,将生成 1 到 20 之间的值。
- 单击并按住单元格右下角的正方形并将其向下拖动以创建 20 个值。

- Excel 将按随机顺序创建 1 到 20 之间的一系列随机数。

- 万一您在第一行中获得重复的随机小数,请在任何空单元格中键入=并按Enter。值将重新生成。
利用 Excel 的力量
学习如何在 Excel 中创建随机数生成器只是您可以使用 Excel 的众多方法之一,而不仅仅是存储数据表。
理论要掌握,实操不能落!以上关于《如何在 Excel 中创建随机数生成器》的详细介绍,大家都掌握了吧!如果想要继续提升自己的能力,那么就来关注golang学习网公众号吧!
版本声明
本文转载于:云东方 如有侵犯,请联系study_golang@163.com删除
mysql怎么保证消息的顺序性
- 上一篇
- mysql怎么保证消息的顺序性
- 下一篇
- mysql多表查询怎么实现
查看更多
最新文章
-
- 文章 · 软件教程 | 6小时前 |
- 途虎养车怎么设置收货地址_途虎商品配送地址管理
- 403浏览 收藏
-
- 文章 · 软件教程 | 6小时前 |
- QQ怎么设置个性签名_QQ历史签名查看与删除
- 321浏览 收藏
-
- 文章 · 软件教程 | 6小时前 |
- 动漫之家个人中心登录教程 轻松管理你的账号与书架同步
- 229浏览 收藏
-
- 文章 · 软件教程 | 6小时前 |
- 汽车之家app如何设置自己所在的城市?汽车之家app切换城市定位【方法】
- 436浏览 收藏
-
- 文章 · 软件教程 | 6小时前 |
- Word表格怎么跨页显示时保持边框完整_Word表格属性设置跨页断行
- 397浏览 收藏
-
- 文章 · 软件教程 | 6小时前 | 动漫资源 妖精动漫
- 妖精动漫资源官网 妖精资源网正版动漫观看网址
- 178浏览 收藏
-
- 文章 · 软件教程 | 6小时前 |
- Win11系统声音有杂音怎么办 Windows11声卡驱动修复教程
- 102浏览 收藏
-
- 文章 · 软件教程 | 6小时前 |
- 中国知网核心期刊入口 知网核心文献检索官网入口
- 249浏览 收藏
-
- 文章 · 软件教程 | 6小时前 |
- excel怎么去掉公式只保留数值_excel将公式结果转换为数值的快捷方法
- 432浏览 收藏
-
- 文章 · 软件教程 | 6小时前 |
- 网易大神逆水寒手游攻略在哪看_网易大神逆水寒攻略查看指南
- 211浏览 收藏
-
- 文章 · 软件教程 | 6小时前 |
- 今日头条可以同时登录几个设备_今日头条多设备登录说明
- 332浏览 收藏
-
- 文章 · 软件教程 | 6小时前 |
- 国家中小学智慧教育平台视频播放失败 课程视频看不了是什么原因
- 289浏览 收藏
查看更多
课程推荐
-
- 前端进阶之JavaScript设计模式
- 设计模式是开发人员在软件开发过程中面临一般问题时的解决方案,代表了最佳的实践。本课程的主打内容包括JS常见设计模式以及具体应用场景,打造一站式知识长龙服务,适合有JS基础的同学学习。
- 543次学习
-
- GO语言核心编程课程
- 本课程采用真实案例,全面具体可落地,从理论到实践,一步一步将GO核心编程技术、编程思想、底层实现融会贯通,使学习者贴近时代脉搏,做IT互联网时代的弄潮儿。
- 516次学习
-
- 简单聊聊mysql8与网络通信
- 如有问题加微信:Le-studyg;在课程中,我们将首先介绍MySQL8的新特性,包括性能优化、安全增强、新数据类型等,帮助学生快速熟悉MySQL8的最新功能。接着,我们将深入解析MySQL的网络通信机制,包括协议、连接管理、数据传输等,让
- 500次学习
-
- JavaScript正则表达式基础与实战
- 在任何一门编程语言中,正则表达式,都是一项重要的知识,它提供了高效的字符串匹配与捕获机制,可以极大的简化程序设计。
- 487次学习
-
- 从零制作响应式网站—Grid布局
- 本系列教程将展示从零制作一个假想的网络科技公司官网,分为导航,轮播,关于我们,成功案例,服务流程,团队介绍,数据部分,公司动态,底部信息等内容区块。网站整体采用CSSGrid布局,支持响应式,有流畅过渡和展现动画。
- 485次学习
查看更多
AI推荐
-
- ChatExcel酷表
- ChatExcel酷表是由北京大学团队打造的Excel聊天机器人,用自然语言操控表格,简化数据处理,告别繁琐操作,提升工作效率!适用于学生、上班族及政府人员。
- 4465次使用
-
- Any绘本
- 探索Any绘本(anypicturebook.com/zh),一款开源免费的AI绘本创作工具,基于Google Gemini与Flux AI模型,让您轻松创作个性化绘本。适用于家庭、教育、创作等多种场景,零门槛,高自由度,技术透明,本地可控。
- 4810次使用
-
- 可赞AI
- 可赞AI,AI驱动的办公可视化智能工具,助您轻松实现文本与可视化元素高效转化。无论是智能文档生成、多格式文本解析,还是一键生成专业图表、脑图、知识卡片,可赞AI都能让信息处理更清晰高效。覆盖数据汇报、会议纪要、内容营销等全场景,大幅提升办公效率,降低专业门槛,是您提升工作效率的得力助手。
- 4690次使用
-
- 星月写作
- 星月写作是国内首款聚焦中文网络小说创作的AI辅助工具,解决网文作者从构思到变现的全流程痛点。AI扫榜、专属模板、全链路适配,助力新人快速上手,资深作者效率倍增。
- 6485次使用
-
- MagicLight
- MagicLight.ai是全球首款叙事驱动型AI动画视频创作平台,专注于解决从故事想法到完整动画的全流程痛点。它通过自研AI模型,保障角色、风格、场景高度一致性,让零动画经验者也能高效产出专业级叙事内容。广泛适用于独立创作者、动画工作室、教育机构及企业营销,助您轻松实现创意落地与商业化。
- 5061次使用
查看更多
相关文章
-
- pe系统下载好如何重装的具体教程
- 2023-05-01 501浏览
-
- qq游戏大厅怎么开启蓝钻提醒功能-qq游戏大厅开启蓝钻提醒功能教程
- 2023-04-29 501浏览
-
- 吉吉影音怎样播放网络视频 吉吉影音播放网络视频的操作步骤
- 2023-04-09 501浏览
-
- 腾讯会议怎么使用电脑音频 腾讯会议播放电脑音频的方法
- 2023-04-04 501浏览
-
- PPT制作图片滚动效果的简单方法
- 2023-04-26 501浏览

