达摩院提出更鲁棒的框架,解决低质量图像干扰视觉识别问题。
大家好,今天本人给大家带来文章《达摩院提出更鲁棒的框架,解决低质量图像干扰视觉识别问题。》,文中内容主要涉及到,如果你对科技周边方面的知识点感兴趣,那就请各位朋友继续看下去吧~希望能真正帮到你们,谢谢!
本文介绍被机器学习顶级国际会议 AAAI 2023 接收的论文 《Improving Training and Inference of Face Recognition Models via Random Temperature Scaling》。论文创新性地从概率视角出发,对分类损失函数中的温度调节参数和分类不确定度的内在关系进行分析,揭示了分类损失函数的温度调节因子是服从 Gumbel 分布的不确定度变量的尺度系数。从而提出一个新的被叫做 RTS 的训练框架对特征抽取的可靠性进行建模。基于 RTS 训练框架来训练更可靠的识别模型,使训练过程更加稳定,并在部署时提供一个对样本不确定度的度量分值,以拒识高不确定的样本,帮助建立更鲁棒的视觉识别系统。大量的实验表明 RTS 可以稳定训练并输出不确定度度量值来建立鲁棒的视觉识别系统。

- 论文地址:https://arxiv.org/abs/2212.01015
- 开源模型:https://modelscope.cn/models/damo/cv_ir_face-recognition-ood_rts/summary
背景
不确定性问题:视觉识别系统在真实场景中通常会遇到多种干扰。例如:遮挡(装饰物或者复杂的前景),成像模糊(焦点模糊或者运动模糊),极端光照(过曝或者曝光不足等)。可以把这些干扰都归纳为噪声的影响,此外还有误检图片,通常有猫脸或狗脸等,这些误检测的数据被称作 out-of-distribution(OOD)数据。对于视觉识别来说,上述的噪声和 OOD 数据都构成了不确定性的来源,受到影响的样本会在基于深度模型提取的特征上叠加不确定性,给视觉识别系统带来干扰。例如若底库图被不确定干扰的样本污染,会形成 “特征黑洞”,给视觉识别系统带来隐患。因此需要对表征可靠性进行建模。
表征可靠性建模相关工作
传统多模型解法
传统的在视觉识别链路中对可靠性进行控制的方法是通过一个独立的质量模型完成的。典型的图像质量建模的方式如下:
1、收集标注数据进行具体影响质量因素的标注,比如清晰度如何,有无遮挡以及姿态如何。
2、根据影响因素的标注 label 进行和 1~10 质量分的映射,分数越高对应的质量越好,具体示例可以参考下图左侧示例。
3、由前两步操作得到质量分的标注后进行有序回归训练,从而在部署阶段对质量分进行预测,如下图右侧示例。

独立质量模型的方案在视觉识别的链路中需引入新的模型,且训练依赖标注信息。
DUL
不确定度建模的方法有「Data Uncertainty Learning in Face Recognition」,把特征建模为高斯分布均值和方差的加和,把包含不确定性的特征送入之后的分类器进行训练。从而可以在部署阶段得到和图像质量相关的不确定度的分值。

DUL 用加和的方式描述不确定度,噪声估计值的尺度也和某一类数据的特征分布紧密程度相关。如果数据分布是比较紧密的,那么 DUL 估计出的噪声的尺度也是比较小的。在 OOD 领域的工作指出,数据分布的密度对于 OOD 识别来说不是一个好的度量方式。
GODIN
OOD 领域的工作「Generalized odin: Detecting out-of-distribution image without learning from out-of-distribution data」用联合概率分布的形式处理 OOD 数据,分别用两个独立的分支 h(x) 和 g(x) 估计分类概率值和温度调节值。

由于温度值被建模为概率值,范围被限制在 0-1 之间,对温度没有进行更好的建模。
方法
针对上述问题和相关工作,本文从概率视角出发,对分类损失函数中的温度调节因子和不确定度之间的关联进行分析,提出了 RTS 训练框架。

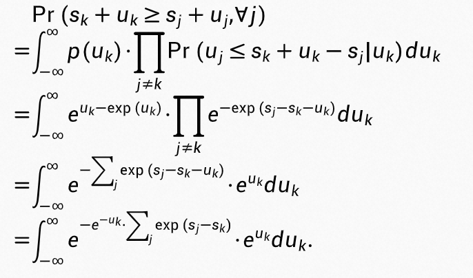
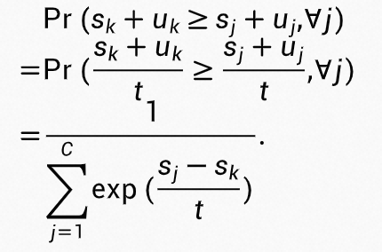
基于概率视角对温度调节因子进行分析
首先对温度调节因子和不确定度之间的关联进行分析。设不确定度
是符合标准 Gumbel 分布的随机变量,则概率密度函数可以写为
,累积分布函数为
,分类为 k 类的概率值为:

将
带入上式可以得到:

可以看到,分类为 k 类的概率值就是符合 softmax 函数的分值,同时我们可以用一个 t 来调节不确定度的尺度,即,则符合标准 Gumbel 分布:

可以看到,此时分类为 k 类的概率值就是符合带温度调节值为 t 的 softmax 函数的分值。
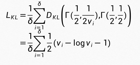
对温度进行建模
为了减少不确定度估计对分类的影响,温度 t 需要在 1 附近,因此我们把温度 t 建模为
个独立 gamma 分布变量的和:
式中
,这样 t 服从
,beta = frac {alpha - 1}{v})$ 分布。v 和
对分布的影响如下图。

对温度建模的约束在训练中用下述的正则项实现

训练方式
整体的算法整理为:

更多详细的分析和理论证明请参见论文。
结果
在训练阶段,训练数据只包含 face 训练数据的。误检测的猫脸和狗脸的 OOD 数据,用来在测试时验证对 OOD 数据的识别效果和测试说明 OOD 样本不确定度在训练过程中不同阶段的动态过程。
训练阶段
我们画出了 in-distribution 数据(face)和 out-of-distribution 数据(误检测为 face 的猫脸和狗脸)在不同 epoch 数的不确定度分值,从下图可以看到初始阶段所有样本的不确定度分值都分布在较大值的附近,随着训练的进行,OOD 样本的不确定性逐渐升高,face 数据的不确定度逐渐降低,且 face 质量越好,不确定度就越低。通过设置阈值可以区分 ID 数据和 OOD 数据,且通过不确定度的分值反应图像质量。

为了说明在训练阶段对噪声训练数据的鲁棒性。本文对训练集施加不同比例的噪声,基于不同比例噪声训练数据的模型识别效果如下表,可以看到 RTS 对基于噪声数据的训练也能得到较好的识别效果。

部署阶段
下图表明在部署阶段 RTS 框架得到的不确定度分值和 face 质量呈现高相关性

同时在 benchmark 上绘制了去掉低质量样本之后的错误匹配曲线。根据得到的不确定度分值,按照不确定度从高到底的顺序把 benchmark 中不确定度较高的样本去除,然后绘制剩下样本的错误匹配曲线。从下图可以看到,随着过滤的不确定性较高的样本越多,错误匹配是越少的,而去掉相同数量的不确定性样本时,RTS 的错误匹配更少。

为了验证不确定度分值对 OOD 样本的识别效果,在测试时构建 in-distribution 数据集(face)和 out-of-distribution 数据集(误检测为 face 的猫脸和狗脸)。数据样例如下。

我们从两个方面来说明 RTS 的效果。首先绘制不确定度的分布图,从下图可以看到,RTS 方法对 OOD 数据具有较强的区分能力。

同时还绘制了 OOD 测试集上的 ROC 曲线,计算了 ROC 权限的 AUC 值,可以看到 RTS 的不确定度分值对 OOD 数据可以较好的识别。


通用识别能力
在 benchmark 上测试通用识别能力,RTS 在不影响 face 识别能力的基础上增加了对 OOD 数据的识别能力。使用 RTS 算法可以在识别和 OOD 数据识别上取得一个均衡的结果。


应用
本文模型已在 modelscope 开源。另外给大家介绍下 CV 域上的开源免费模型,欢迎大家体验、下载(大部分手机端即可体验):
1.https://modelscope.cn/models/damo/cv_resnet50_face-detection_retinaface/summary
2.https://modelscope.cn/models/damo/cv_resnet101_face-detection_cvpr22papermogface/summary
3.https://modelscope.cn/models/damo/cv_manual_face-detection_tinymog/summary
4.https://modelscope.cn/models/damo/cv_manual_face-detection_ulfd/summary
5.https://modelscope.cn/models/damo/cv_manual_face-detection_mtcnn/summary
6.https://modelscope.cn/models/damo/cv_resnet_face-recognition_facemask/summary
7.https://modelscope.cn/models/damo/cv_ir50_face-recognition_arcface/summary
8. https://modelscope.cn/models/damo/cv_manual_face-liveness_flir/summary
9.https://modelscope.cn/models/damo/cv_manual_face-liveness_flrgb/summary
10.https://modelscope.cn/models/damo/cv_manual_facial-landmark-confidence_flcm/summary
11.https://modelscope.cn/models/damo/cv_vgg19_facial-expression-recognition_fer/summary
12.https://modelscope.cn/models/damo/cv_resnet34_face-attribute-recognition_fairface/summary
终于介绍完啦!小伙伴们,这篇关于《达摩院提出更鲁棒的框架,解决低质量图像干扰视觉识别问题。》的介绍应该让你收获多多了吧!欢迎大家收藏或分享给更多需要学习的朋友吧~golang学习网公众号也会发布科技周边相关知识,快来关注吧!
MySQL内连接查询实例分析
- 上一篇
- MySQL内连接查询实例分析
- 下一篇
- 如何清除 Windows 11 文件资源管理器中的快速访问历史记录?
-
- 科技周边 · 人工智能 | 4分钟前 | AI视频生成 AI视频软件
- AI视频生成快速上手教程
- 201浏览 收藏
-
- 科技周边 · 人工智能 | 5分钟前 | AI人工智能 AI赚钱
- AI赚钱妙招:三步提升收益方法
- 470浏览 收藏
-
- 科技周边 · 人工智能 | 9分钟前 |
- 无界AI速绘插画技巧全解析
- 111浏览 收藏
-
- 科技周边 · 人工智能 | 21分钟前 |
- BlueWillow头像适配与插画教程
- 139浏览 收藏
-
- 科技周边 · 人工智能 | 23分钟前 |
- Canva文生图模板使用技巧教程
- 113浏览 收藏
-
- 科技周边 · 人工智能 | 25分钟前 |
- 荣耀复旦联手推出MagicAgent智能体模型
- 322浏览 收藏
-
- 科技周边 · 人工智能 | 34分钟前 | QClaw
- QClaw系统安装步骤有区别吗
- 353浏览 收藏
-
- 科技周边 · 人工智能 | 1小时前 |
- Runway文生视频教程|文本生成视频方法
- 210浏览 收藏
-
- 科技周边 · 人工智能 | 1小时前 |
- ChatGPT识别流程图难?图文转换攻略全解析
- 345浏览 收藏
-
- 科技周边 · 人工智能 | 1小时前 |
- MuleRun打卡提醒设置与习惯配置教程
- 178浏览 收藏
-
- 科技周边 · 人工智能 | 1小时前 |
- CanvaAI打造高质感杂志排版教程
- 332浏览 收藏
-
- 科技周边 · 人工智能 | 2小时前 |
- 即梦AI视频清晰度提升技巧
- 417浏览 收藏
-
- 前端进阶之JavaScript设计模式
- 设计模式是开发人员在软件开发过程中面临一般问题时的解决方案,代表了最佳的实践。本课程的主打内容包括JS常见设计模式以及具体应用场景,打造一站式知识长龙服务,适合有JS基础的同学学习。
- 543次学习
-
- GO语言核心编程课程
- 本课程采用真实案例,全面具体可落地,从理论到实践,一步一步将GO核心编程技术、编程思想、底层实现融会贯通,使学习者贴近时代脉搏,做IT互联网时代的弄潮儿。
- 516次学习
-
- 简单聊聊mysql8与网络通信
- 如有问题加微信:Le-studyg;在课程中,我们将首先介绍MySQL8的新特性,包括性能优化、安全增强、新数据类型等,帮助学生快速熟悉MySQL8的最新功能。接着,我们将深入解析MySQL的网络通信机制,包括协议、连接管理、数据传输等,让
- 500次学习
-
- JavaScript正则表达式基础与实战
- 在任何一门编程语言中,正则表达式,都是一项重要的知识,它提供了高效的字符串匹配与捕获机制,可以极大的简化程序设计。
- 487次学习
-
- 从零制作响应式网站—Grid布局
- 本系列教程将展示从零制作一个假想的网络科技公司官网,分为导航,轮播,关于我们,成功案例,服务流程,团队介绍,数据部分,公司动态,底部信息等内容区块。网站整体采用CSSGrid布局,支持响应式,有流畅过渡和展现动画。
- 485次学习
-
- ChatExcel酷表
- ChatExcel酷表是由北京大学团队打造的Excel聊天机器人,用自然语言操控表格,简化数据处理,告别繁琐操作,提升工作效率!适用于学生、上班族及政府人员。
- 4221次使用
-
- Any绘本
- 探索Any绘本(anypicturebook.com/zh),一款开源免费的AI绘本创作工具,基于Google Gemini与Flux AI模型,让您轻松创作个性化绘本。适用于家庭、教育、创作等多种场景,零门槛,高自由度,技术透明,本地可控。
- 4577次使用
-
- 可赞AI
- 可赞AI,AI驱动的办公可视化智能工具,助您轻松实现文本与可视化元素高效转化。无论是智能文档生成、多格式文本解析,还是一键生成专业图表、脑图、知识卡片,可赞AI都能让信息处理更清晰高效。覆盖数据汇报、会议纪要、内容营销等全场景,大幅提升办公效率,降低专业门槛,是您提升工作效率的得力助手。
- 4460次使用
-
- 星月写作
- 星月写作是国内首款聚焦中文网络小说创作的AI辅助工具,解决网文作者从构思到变现的全流程痛点。AI扫榜、专属模板、全链路适配,助力新人快速上手,资深作者效率倍增。
- 6109次使用
-
- MagicLight
- MagicLight.ai是全球首款叙事驱动型AI动画视频创作平台,专注于解决从故事想法到完整动画的全流程痛点。它通过自研AI模型,保障角色、风格、场景高度一致性,让零动画经验者也能高效产出专业级叙事内容。广泛适用于独立创作者、动画工作室、教育机构及企业营销,助您轻松实现创意落地与商业化。
- 4827次使用
-
- GPT-4王者加冕!读图做题性能炸天,凭自己就能考上斯坦福
- 2023-04-25 501浏览
-
- 单块V100训练模型提速72倍!尤洋团队新成果获AAAI 2023杰出论文奖
- 2023-04-24 501浏览
-
- ChatGPT 真的会接管世界吗?
- 2023-04-13 501浏览
-
- VR的终极形态是「假眼」?Neuralink前联合创始人掏出新产品:科学之眼!
- 2023-04-30 501浏览
-
- 实现实时制造可视性优势有哪些?
- 2023-04-15 501浏览

