快手:通过强化学习提升用户留存
从现在开始,我们要努力学习啦!今天我给大家带来《快手:通过强化学习提升用户留存》,感兴趣的朋友请继续看下去吧!下文中的内容我们主要会涉及到等等知识点,如果在阅读本文过程中有遇到不清楚的地方,欢迎留言呀!我们一起讨论,一起学习!
短视频推荐系统的核心目标是通过提升用户留存,牵引 DAU 增长。因此留存是各APP的核心业务优化指标之一。然而留存是用户和系统多次交互后的长期反馈,很难分解到单个 item 或者单个 list,因此传统的 point-wise 和 list-wise 模型难以直接优化留存。
强化学习(RL)方法通过和环境交互的方式优化长期奖励,适合直接优化用户留存。该工作将留存优化问题建模成一个无穷视野请求粒度的马尔科夫决策过程(MDP),用户每次请求推荐系统决策一个动作(action),用于聚合多个不同的短期反馈预估(观看时长、点赞、关注、评论、转发等)的排序模型打分。该工作目标是学习策略(policy),最小化用户多个会话的累计时间间隔,提升 App 打开频次进而提升用户留存。
然而由于留存信号的特性,现有 RL 算法直接应用存在以下挑战:1)不确定性:留存信号不只由推荐算法决定,还受到许多外部因素干扰;2)偏差:留存信号在不同时间段、不同活跃度用户群体存在偏差;3)不稳定性:与游戏环境立即返回奖励不同,留存信号通常在数小时至几天返回,这会导致 RL 算法在线训练的不稳定问题。
该工作提出 Reinforcement Learning for User Retention algorithm(RLUR)算法解决以上挑战并直接优化留存。通过离线和在线验证,RLUR 算法相比 State of Art 基线能够显著地提升次留指标。RLUR 算法已经在快手 App 全量,并且能够持续地拿到显著的次留和 DAU 收益,是业内首次通过 RL 技术在真实生产环境提升用户留存。该工作已被 WWW 2023 Industry Track 接收。

作者:蔡庆芃,刘殊畅,王学良,左天佑,谢文涛,杨斌,郑东,江鹏
论文地址:https://arxiv.org/pdf/2302.01724.pdf
问题建模
如图 1(a)所示,该工作把留存优化问题建模成一个无穷视野请求粒度马尔科夫决策过程(infinite horizon request-based Markov Decision Process),其中推荐系统是 agent,用户是环境。用户每次打开 App,开启一个新的 session i。如图 1(b),用户每次请求
推荐系统根据用户状态
决策一个参数向量
,同时 n 个预估不同短期指标(观看时长、点赞、关注等)的排序模型对每个候选视频 j 进行打分
。然后排序函数输入 action 以及每个视频的打分向量,得到每个视频的最终打分,并选出得分最高的 6 个视频展示给用户,用户返回 immediate feedback
。 当用户离开 App 时本 session 结束,用户下一次打开 App session i+1 开启,上一个 session 结尾和下一个 session 开始的时间间隔被称为回访时间(Returning time),
。 该研究的目标是训练策略最小化多个 session 的回访时间之和。

RLUR 算法
该工作首先讨论怎么预估累计回访时间,然后提出方法解决留存信号的几个关键挑战。这些方法汇总成 Reinforcement Learning for User Retention algorithm,简写为 RLUR。
回访时间预估
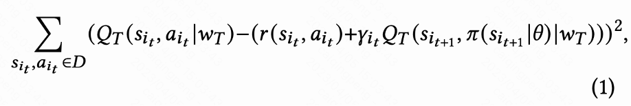
如图 1(d)所示,由于动作是连续的,该工作采取 DDPG 算法的 temporal difference(TD)学习方式预估回访时间。

由于每个 session 最后一次请求才有回访时间 reward,中间 reward 为 0,作者设置折扣因子
在每个 session 最后一次请求取值为
,其他请求为 1。这样的设定能够避免回访时间指数衰减。并且从理论上可以证明当 loss(1)为 0 时,Q 实际上预估多个 session 的累计回访时间,
。
解决延迟奖励问题
由于回访时间只发生在每个 session 结束,这会带来学习效率低的问题。因而作者运用启发式奖励来增强策略学习。由于短期反馈和留存是正相关关系,因而作者把短期反馈作为第一种启发式奖励。并且作者采用 Random Network Distillation(RND)网络来计算每个样本的内在奖励作为第二种启发式奖励。具体而言 RND 网络采用 2 个相同的网络结构,一个网络随机初始化 fixed,另外一个网络拟合这个固定网络,拟合 loss 作为内在奖励。如图 1(e)所示,为了减少启发式奖励对留存奖励的干扰,该工作学习一个单独的 Critic 网络,用来估计短期反馈和内在奖励之和。即
。
解决不确定性问题
由于回访时间受到很多推荐之外的因素影响,不确定度高,这会影响学习效果。该工作提出一个正则化方法来减少方差:首先预估一个分类模型
来预估回访时间概率,即预估回访时间是否短于
;然后用马尔可夫不等式得到回访时间下界,
; 最后用真实回访时间 / 预估回访时间下界作为正则化的回访 reward。
解决偏差问题
由于不同活跃度群体的行为习惯差异大,高活用户留存率高并且训练样本数量也显著多于低活用户,这会导致模型学习被高活用户主导。为解决这个问题,该工作对高活和低活不同群体学习 2 个独立策略,采用不同的数据流进行训练,Actor 最小化回访时间同时最大化辅助奖励。如图 1(c),以高活群体为例,Actor loss 为:

解决不稳定性问题
由于回访时间信号延迟,一般在几个小时到数天内返回,这会导致 RL 在线训练不稳定。而直接使用现有的 behavior cloning 的方式要么极大限制学习速度要么不能保证稳定学习。因而该工作提出一个新的软正则化方法,即在 actor loss 乘上一个软正则化系数:

这个正则化方法本质上是一种制动效应:如果当前学习策略和样本策略偏差很大,这个 loss 会变小,学习会趋于稳定;如果学习速度趋于稳定,这个 loss 重新变大,学习速度加快。当
,代表着对学习过程不加任何约束。
离线实验
该工作把 RLUR 和 State of the Art 的强化学习算法 TD3,以及黑盒优化方法 Cross Entropy Method (CEM) 在公开数据集 KuaiRand 进行对比。该工作首先基于 KuaiRand 数据集搭建一个留存模拟器:包含用户立即反馈,用户离开 Session 以及用户回访 App 三个模块,然后在这个留存模拟器评测方法。

表 1 说明 RLUR 在回访时间和次留指标显著优于 CEM 和 TD3。该研究进行消融实验,对比 RLUR 和只保留留存学习部分 (RLUR (naive)),可以说明该研究针对留存挑战解决方法的有效性。并且通过
和
对比,说明最小化多个 session 的回访时间的算法效果优于只最小化单个 session 的回访时间。
在线实验

该工作在快手短视频推荐系统进行 A/B 测试对比 RLUR 和 CEM 方法。图 2 分别显示 RLUR 对比 CEM 的 App 打开频次、DAU、次留、7 留的提升百分比。可以发现 App 打开频次在 0-100 天逐渐提升乃至收敛。并且也拉动次留、7 留以及 DAU 指标的提升(0.1% 的 DAU 以及 0.01% 的次留提升视为统计显著)。
总结与未来工作
本文研究如何通过 RL 技术提升推荐系统用户留存,该工作将留存优化建模成一个无穷视野请求粒度的马尔可夫决策过程,该工作提出 RLUR 算法直接优化留存并有效地应对留存信号的几个关键挑战。RLUR 算法已在快手 App 全量,能够拿到显著的次留和 DAU 收益。关于未来工作,如何采用离线强化学习、Decision Transformer 等方法更有效地提升用户留存是一个很有前景的方向。
今天带大家了解了的相关知识,希望对你有所帮助;关于科技周边的技术知识我们会一点点深入介绍,欢迎大家关注golang学习网公众号,一起学习编程~
OpenAI竟诞生于这个饭局!38岁ChatGPT之父还想让两个男人怀上孩子
- 上一篇
- OpenAI竟诞生于这个饭局!38岁ChatGPT之父还想让两个男人怀上孩子
- 下一篇
- ChatGPT对算力存在双重影响
-
- 科技周边 · 人工智能 | 6分钟前 |
- DeepSeek V4怎么回答价格异议_比价话术与价值塑造【议价】
- 256浏览 收藏
-
- 科技周边 · 人工智能 | 6分钟前 | Hermes Agent HermesAgent
- HermesAgent数据清洗:Pipeline集成实战指南
- 463浏览 收藏
-
- 科技周边 · 人工智能 | 13分钟前 |
- 千问如何写小说人物设定提示词_千问人物设定提示词细节【攻略】
- 387浏览 收藏
-
- 科技周边 · 人工智能 | 28分钟前 |
- Perplexity Pro值得订阅吗_对比免费版与Pro版的功能差异
- 496浏览 收藏
-
- 科技周边 · 人工智能 | 37分钟前 |
- Claude API 价格计算器及省钱攻略
- 384浏览 收藏
-
- 科技周边 · 人工智能 | 1小时前 |
- Claude官网地址怎么找?Claude官方网站定位说明
- 256浏览 收藏
-
- 科技周边 · 人工智能 | 1小时前 |
- CodeGeeX怎么写Commit信息_CodeGeeX提交规范自动生成【Git】
- 338浏览 收藏
-
- 科技周边 · 人工智能 | 9小时前 |
- 本地大模型微调入门_LoRA低显存训练指南
- 117浏览 收藏
-
- 科技周边 · 人工智能 | 9小时前 | Hermes Agent HermesAgent
- Hermes Agent是开源的吗_Hermes Agent开源协议与代码说明【开源】
- 498浏览 收藏
-
- 科技周边 · 人工智能 | 9小时前 |
- 如何在Perplexity中切换GPT-4o模型_进入Settings页面手动选择AI模型
- 438浏览 收藏
-
- 科技周边 · 人工智能 | 9小时前 | openclaw
- OpenClawAI运行慢怎么优化_OpenClawAI提升大模型响应速度技巧【技巧】
- 425浏览 收藏
-
- 科技周边 · 人工智能 | 10小时前 |
- 如何提升代码运行效率并降低功耗 利用DeepSeek Coder优化算法时间复杂度
- 254浏览 收藏
-
- 前端进阶之JavaScript设计模式
- 设计模式是开发人员在软件开发过程中面临一般问题时的解决方案,代表了最佳的实践。本课程的主打内容包括JS常见设计模式以及具体应用场景,打造一站式知识长龙服务,适合有JS基础的同学学习。
- 543次学习
-
- GO语言核心编程课程
- 本课程采用真实案例,全面具体可落地,从理论到实践,一步一步将GO核心编程技术、编程思想、底层实现融会贯通,使学习者贴近时代脉搏,做IT互联网时代的弄潮儿。
- 516次学习
-
- 简单聊聊mysql8与网络通信
- 如有问题加微信:Le-studyg;在课程中,我们将首先介绍MySQL8的新特性,包括性能优化、安全增强、新数据类型等,帮助学生快速熟悉MySQL8的最新功能。接着,我们将深入解析MySQL的网络通信机制,包括协议、连接管理、数据传输等,让
- 500次学习
-
- JavaScript正则表达式基础与实战
- 在任何一门编程语言中,正则表达式,都是一项重要的知识,它提供了高效的字符串匹配与捕获机制,可以极大的简化程序设计。
- 487次学习
-
- 从零制作响应式网站—Grid布局
- 本系列教程将展示从零制作一个假想的网络科技公司官网,分为导航,轮播,关于我们,成功案例,服务流程,团队介绍,数据部分,公司动态,底部信息等内容区块。网站整体采用CSSGrid布局,支持响应式,有流畅过渡和展现动画。
- 485次学习
-
- ChatExcel酷表
- ChatExcel酷表是由北京大学团队打造的Excel聊天机器人,用自然语言操控表格,简化数据处理,告别繁琐操作,提升工作效率!适用于学生、上班族及政府人员。
- 4472次使用
-
- Any绘本
- 探索Any绘本(anypicturebook.com/zh),一款开源免费的AI绘本创作工具,基于Google Gemini与Flux AI模型,让您轻松创作个性化绘本。适用于家庭、教育、创作等多种场景,零门槛,高自由度,技术透明,本地可控。
- 4818次使用
-
- 可赞AI
- 可赞AI,AI驱动的办公可视化智能工具,助您轻松实现文本与可视化元素高效转化。无论是智能文档生成、多格式文本解析,还是一键生成专业图表、脑图、知识卡片,可赞AI都能让信息处理更清晰高效。覆盖数据汇报、会议纪要、内容营销等全场景,大幅提升办公效率,降低专业门槛,是您提升工作效率的得力助手。
- 4702次使用
-
- 星月写作
- 星月写作是国内首款聚焦中文网络小说创作的AI辅助工具,解决网文作者从构思到变现的全流程痛点。AI扫榜、专属模板、全链路适配,助力新人快速上手,资深作者效率倍增。
- 6492次使用
-
- MagicLight
- MagicLight.ai是全球首款叙事驱动型AI动画视频创作平台,专注于解决从故事想法到完整动画的全流程痛点。它通过自研AI模型,保障角色、风格、场景高度一致性,让零动画经验者也能高效产出专业级叙事内容。广泛适用于独立创作者、动画工作室、教育机构及企业营销,助您轻松实现创意落地与商业化。
- 5067次使用
-
- GPT-4王者加冕!读图做题性能炸天,凭自己就能考上斯坦福
- 2023-04-25 501浏览
-
- 单块V100训练模型提速72倍!尤洋团队新成果获AAAI 2023杰出论文奖
- 2023-04-24 501浏览
-
- ChatGPT 真的会接管世界吗?
- 2023-04-13 501浏览
-
- VR的终极形态是「假眼」?Neuralink前联合创始人掏出新产品:科学之眼!
- 2023-04-30 501浏览
-
- 实现实时制造可视性优势有哪些?
- 2023-04-15 501浏览

